De los saberes tradicionales a los medicamentos: el caso de Psidium guajava

Berenice Martínez Cuatepotzo[a] y Adriana Jaramillo Alcantar[a]


Resumen

En el presente artículo se propone una secuencia didáctica para la asignatura de Química II en el Colegio de Ciencias y Humanidades (CCH) de la UNAM, orientada a mostrar al estudiantado cómo los saberes tradicionales sobre plantas medicinales mexicanas han evolucionado hacia aplicaciones farmacéuticas modernas, específicamente mediante el estudio del guayabo (Psidium guajava). Se resalta el valor histórico y cultural del uso medicinal tradicional de esta planta, especialmente sus propiedades digestivas reconocidas desde la época prehispánica, confirmadas por la investigación científica contemporánea que identifica compuestos activos como la quercetina. La propuesta didáctica incluye actividades prácticas de laboratorio (extracción, separación y análisis de principios activos), investigación documental y entrevistas, lo que puede permitir al alumnado relacionar el conocimiento empírico con el conocimiento científico.

Palabras clave:

Química orgánica, bachillerato, enseñanza, saberes tradicionales, principios activos, Psidium guajava.


From traditional knowledge to medicines: the case of Psidium guajava

Abstract

This article proposes a teaching sequence for the Chemistry II course at the College of Sciences and Humanities. It aims to demonstrate to students how traditional knowledge about Mexican medicinal plants has evolved into modern pharmaceutical applications, specifically through the study of guava (Psidium guajava). The historical and cultural value of this plant’s traditional medicinal use is highlighted, especially its digestive properties, recognized since pre-Hispanic times and confirmed by contemporary scientific research that identifies active compounds such as quercetin. The teaching approach includes practical laboratory activities (extraction, separation, and analysis of active ingredients), documentary research, and interviews, allowing students to connect empirical knowledge with scientific knowledge.

Keywords:

Organic chemistry, high school, teaching, traditional knowledge, active ingredients, Psidium guajava.




Introducción

La educación química a nivel bachillerato debe ser integral, de tal forma que el estudiantado logre vincular contextos de su vida cotidiana con la ciencia actual, ello incluye el conocer la importancia de los saberes tradicionales, como son los remedios herbolarios (Silva y col., 2024). Integrar el estudio de plantas medicinales como casos de aprendizaje en el aula puede permitir desarrollar habilidades de indagación científica, relacionando conceptos clave como los compuestos activos, técnicas de extracción y separación, así como con propiedades de la molécula (polaridad, solubilidad) generando una integración de otros aprendizajes y conceptos previos. Además, integrar la perspectiva histórica y etnobotánica en la enseñanza de la química enriquece, primero el contenido científico, y segundo la apreciación cultural y el pensamiento crítico del alumnado.

En México existe una larga tradición de uso del guayabo (Psidium guajava) para tratar afecciones digestivas, respiratorias y cutáneas, ejemplo de ello es en el Códice Florentino del siglo XVI donde se registra su aplicación por la población náhuatl bajo el término “Xalxocotl” (Ortiz de Montellano, 1975), mientras que estudios etnobotánicos recientes confirman prácticas análogas entre comunidades mixtecas y totonacas, en particular con aquellas que tienen que ver con sus propiedades curativas digestivas, ya que en documentos históricos (Gutiérrez et al., 2008; Arévalo-Marín et al., 2021) reportan que las infusiones de hojas de guayabo se empleaban para aliviar el dolor de estómago, tratar la diarrea y la disentería (infecciones intestinales severas). Esta aplicación contra trastornos gastrointestinales era tan común que continuó en la medicina tradicional tras la Conquista: frailes y médicos novohispanos observaron que los indígenas preparaban tés o cocciones de hojas. Además, en la medicina azteca se usaban emplastos de hojas para enfermedades de la piel como la sarna (cuaxalxócotl), mostrando un conocimiento empírico de sus efectos antimicrobianos y astringentes (Ortiz de Montellano, B., 1975).

En la actualidad, el uso tradicional de Psidium guajava sigue vigente, pero ha trascendido al mercado comercial; en farmacias herbolarias existen diversos suplementos y extractos de guayaba recomendados como antidiarreicos y antioxidantes, llegando hasta medicamentos registrados para aliviar los síntomas de colitis. Estudios químicos (Ntoumba, A. et al., 2020), han demostrado que su efecto benéfico se atribuye principalmente a la presencia de quercetina (figura 1), un compuesto flavonoide abundante en las hojas de guayabo.

Figura 1. Estructura molecular de la quercetina, un flavonoide tipo flavonol presente en las hojas de guayabo. Los grupos hidroxilo (-OH) en su estructura, le confieren alta polaridad, contribuyendo a sus propiedades antioxidantes y solubilidad en solventes polares. Crédito. Instituto de Química, 2017.

No obstante, a pesar de su importancia ancestral, son aún escasos los trabajos que articulen de manera sistemática el proceso completo —desde la recolección y extracción de principios activos, hasta su caracterización, síntesis y formulación farmacéutica— dentro de un marco educativo. En este contexto, el presente trabajo tiene como objetivo proponer una secuencia didáctica para la asignatura de Química II dentro del Colegio de Ciencias y Humanidades (CCH-UNAM), fundamentada en el enfoque del Proceso de Aprendizaje por Indagación Guiada (POGIL, por sus siglas en inglés). Esta metodología promueve la participación del estudiantado mediante el trabajo colaborativo en grupos pequeños, favoreciendo la construcción significativa del conocimiento (Royal y Hanieh, 2025); la propuesta considera:

1. Reconocer la relevancia histórica y etnobotánica de P. guajava en la medicina tradicional mexicana.

2. Aplicar técnicas de extracción y separación de mezclas (infusión, extracción con solventes, cromatografía).

3. Analizar la relación estructura-propiedad-aplicación de los compuestos bioactivos.

4. Valorar el proceso de transformación de un remedio tradicional en un producto farmacéutico estandarizado.

Propuesta de estrategia didáctica

A continuación, se presenta el esquema general de la secuencia didáctica (figura 2), en el cual se integran las actividades correspondientes a cada fase. La propuesta se organiza en cuatro etapas: la primera permite al estudiante relacionar los conocimientos o saberes vivenciales del uso cotidiano de las hojas de guayaba; la segunda, permite que el estudiante indague documentalmente las estructuras con efectos farmacológicos, y con ello también el reconocimiento de grupos funcionales; la tercera etapa implica trabajo experimental por el cual se puede reconocer de forma cualitativa la presencia de principios activos; finalmente, en la cuarta etapa, el estudiante relaciona la estructura-función el principio activo más importante y reflexiona sobre la relación entre los saberes tradicionales y la ciencia actual, que articulan las experiencias y saberes previos del estudiantado con los procesos de identificación química, favoreciendo la construcción significativa del conocimiento.

Figura 2. Estructura general de la secuencia didáctica De los saberes tradicionales a los medicamentos: el caso de Psidium guajava.

Identificación de los saberes desde la vivencia

La primera parte de la secuencia tiene como propósito identificar y valorar los saber tradicionales desde la vivencia del estudiantado, así como desarrollar habilidades de investigación y análisis de información. Se les propone a los estudiantes realizar entrevistas a personas cercanas indagando acerca de las plantas medicinales que conoce, así como sus usos. Los estudiantes también hacen una indagación documental, acerca del uso casero de algunas plantas medicinales con su forma de consumo, la tabla 1 indica las acciones realizadas dentro de la primera sesión para lograrlo.

Tabla 1. Identificación de los saberes desde la vivencia, actividades realizadas en la primera sesión.

Estudiante

Profesor

Investiga de forma documental y entrevistando a familiares las plantas medicinales que conoce y sus usos.

Dentro de las plantas investigadas pone énfasis en la guayaba, investigando qué parte de la planta se usa y cómo se prepara, así como usos.

Elabora un organizador gráfico sobre los usos de las hojas del guayabo (Ver figura 3).

El docente apoya a los estudiantes a la investigación documental dando asesoría sobre el uso de bases de datos de la UNAM, como la de medicina tradicional herbolaria.

Se sugiere guiar la investigación mediante Garritz, A. (2010)

Con ello se obtiene un esquema como el siguiente, en donde el estudiante condensa la información recuperada:

Figura 3. Ejemplo de organizador gráfico realizado por estudiantes dentro de la sesión de identificación vivencia de usos y características de las hojas de guayabo.

Ello dará pauta para cuestionar al alumnado acerca de los principios activos presentes en las plantas, para después reconocer los métodos de extracción de éstos, en particular de la planta Psidium guajava. Por ejemplo, a través de separar los compuestos solubles en agua mediante remojo (infusión) o ebullición prolongada (decocción); principalmente los metabolitos polares (hidrofílicos) como taninos, flavonoides glucosídicos, y/o vitamina C. (figura 4) (Vargas-Álvarez, D., et al.; 2005). Este “té de guayaba” contiene así los principios activos en forma soluble en agua con un sabor astringente y coloración oscura (Huynh, H. D., et al.; 2025).

Figura 4. A la izquierda estructura de taninos, a la derecha estructura química de la vitamina C, en ambos casos se observa la cantidad de grupos hidroxilo que permiten su solubilidad en sustancias polares y por lo tanto su extracción a partir de las hojas de guayabo por infusión.

Reconocimiento de los principios activos y su estructura

Posteriormente, los estudiantes realizan en equipo una investigación documental que se encamina a relacionar los saberes tradicionales con la evidencia científica sobre los compuestos activos de Psidium guajava y sus efectos farmacológicos. El docente puede proponer el uso de Reaserch Rabbit, aplicación que permite la búsqueda de artículos usando como referencia autores, temas o artículos conocidos, generando una red de más información alrededor de él. Además, ante la cantidad de información que el estudiante puede encontrar, es necesario que el docente proporcione una guía para la selección de información confiable (Tabla 2).

Tabla 2. Actividades realizadas por estudiantes y docente para investigar el principio activo principal de las hojas de guayaba.

Estudiantes

Profesor

En equipo realizan una investigación sobre el compuesto activo principal identificado en las hojas de guayaba (estructura molecular, grupos funcionales, polaridad, respaldo de los usos tradicionales). Ver Tabla 3.

Retoma la información investigada sobre los saberes tradicionales para dar apoyo a los estudiantes para la investigación documental. Apoya a la reflexión de la importancia de la investigación en fuentes científicas.

Apoya a la construcción de una hipótesis sobre qué podría obtener al colocar las hojas de guayaba en una decocción, infusión o una extracción con alcohol.

Los artículos que los estudiantes encontrarán van desde recopilaciones de usos de la guayaba, hasta detección de los principios activos como quercetina usando diferentes metodologías; es necesario que se practique el reconocimiento de grupos funcionales dentro de estos compuestos, por ello dentro del mismo ejercicio se propone el reconocimiento de grupos funcionales (Tabla 3).

Tabla 3. Ejemplo del trabajo realizado por estudiantes en donde condensan la investigación y reconocimiento de grupos funcionales.

Ficha técnica del compuesto activo

Nombre del compuesto:

Quercetina- Taninos

Tipo de compuesto (taninos, fenoles, flavonoides, saponinas, alcaloides, terpenoides, carotenoides):

Flavonoide Polifenoles

Estructura molecular (dibújala):

Grupos funcionales presentes:

Hidroxilos (-OH), anillos aromáticos, cetonas

Hidroxilos (-OH), anillos aromáticos, éteres

Polaridad aproximada (alta/media/baja):

Alta

Usos medicinales respaldados por estudios:

  • Antioxidante
  • Antiinflamatorio
  • Antiviral y antibacteriano
  • Control de glucosa
  • Cardioprotector
  • Astringente (diarrea)
  • Antibacteriano y antifúngico
  • Antioxidante
  • Cicatrizante y antiinflamatorio tópico

Fuentes consultadas:

1. Manach et al., 2005 – AJCN DOI

2. Gutierrez et al., 2008 – Journal of Ethnopharmacology DOI

3. PubChem – Quercetin

4. Cowan, 1999 – Clin. Microbiol. Rev. DOI

En acompañamiento con el docente se debe promover en los estudiantes una reflexión crítica sobre cómo el conocimiento científico actual complementa los saberes tradicionales, reconociendo tanto el valor cultural como la importancia científica del uso medicinal de plantas, de tal manera que pueda propiciar un aprendizaje significativo y contextualizado.

La química de las hojas de guayaba

Durante la sesión experimental se aplican dos técnicas para la extracción de principios activos: una con agua, y la otra con etanol. Esta práctica permitirá desarrollar habilidades científicas clave, como el análisis de resultados, la formulación de deducciones y el trabajo colaborativo. Con los extractos obtenidos, y con el fin de detectar compuestos bioactivos, se lleva a cabo una cromatografía empleando como fase móvil una mezcla de alcohol con agua. Esta técnica permite hacer evidente la presencia, de manera cualitativa, de diferentes compuestos fenólicos identificados por las manchas separadas en la cromatografía, las cuales serán visibles debido a sus diferencias en polaridad y afinidad por el solvente empleado. De este modo, las bandas amarillas corresponden a flavonoides, el color marrón a terpenos, taninos o fenoles, mientras que las verdes o amarillas tienen relación con clorofila a y b (figura 5) (Larrea, C. 2023).

Esta actividad tiene como propósito fomentar el pensamiento científico mediante la interpretación y el análisis experimental de cómo distintas condiciones pueden influir en el resultado de una extracción, facilitando así la comprensión del concepto de polaridad molecular y desarrollo del pensamiento crítico. Es necesario considerar que al ser una secuencia con bases en POGIL es posible ajustar los grados apertura1 del experimento en función de las decisiones que tome el estudiantado en la modificación de variables, por ejemplo, la elección de la fase móvil en la cromatografía o del disolvente de extracción, esta flexibilidad permite adaptar la actividad a las necesidades del grupo, promoviendo el desarrollo de habilidades científicas y la construcción guiada del conocimiento. Según Caamaño (2003) los grados de apertura corresponden al grado de autonomía y toma de decisiones que se le otorgan al alumnado en las actividades científicas escolares, de acuerdo con los objetivos y habilidades a desarrollar. De este modo, el profesorado puede ajustar la práctica desde un nivel más estructurado, donde se plantea la pregunta y el procedimiento, hasta un nivel más abierto en el que los estudiantes formulan sus propias preguntas, deciden cómo resolverlas y reflexionan sobre los resultados obtenidos, ello trae con sigo ventajas como el ajuste de la secuencia acorde al grupo, la estimulación de la creatividad y el desarrollo de habilidades científicas.

Tabla 4. Actividades realizadas por estudiantes y docente para la extracción del principio activo.

Estudiante

Docente

Previo a la sesión los estudiantes realizan por equipo

Extracción por infusión (agua caliente), calentando entre 80-90 °C, añadiendo hojas de guayaba trituradas. Se deja reposar y se filtra.

Extracción por maceración (etanol), se colocan hojas trituradas en etanol, dejar reposar 2 días con agitación cada 12 horas. Se filtra posteriormente.

En clase se realiza las siguientes pruebas

Se colocar 2 mL de cada extracto en tubos separados, añadir 2 gotas de solución de cloruro férrico. Si se observa un cambio de color (verdeazulado indica presencia de fenoles).

Cromatografía en papel. Colocar gotas pequeñas de cada extracto en papel. Colocar papel en recipiente con pequeña cantidad de etanol-agua como solvente, dejar avanzar el solvente por el papel. Secar el papel y observar manchas.

El docente recuperará la información de la sesión anterior dando preguntas guía como: ¿En qué se diferencian los extractos obtenidos con agua y etanol? ¿Qué propiedades químicas explican estas diferencias? ¿Qué indica el cambio de color con cloruro férrico? ¿Cuál método es más eficiente para obtener los compuestos activos? Justifica tu respuesta en términos de polaridad y solubilidad.

Ayuda a comprender los resultados y relacionan con la investigación documental.

Figura 5. Ejemplo de cromatografía realizada por los estudiantes, en ella se observan patrones de carotenos, flavonoides, clorofila a y clorofila b.

Vinculando la química con la cultura

Por último, para comprender el desarrollo de medicamentos se propone guiar una reflexión a partir del análisis del principio activo para reconocer que pueden ser modificados químicamente para mejorar sus propiedades farmacológicas. Ello requiere que previamente se aborden reacciones de esterificación y casos como el del ácido acetil salicílico, evidenciando cómo las propiedades pueden cambiar.

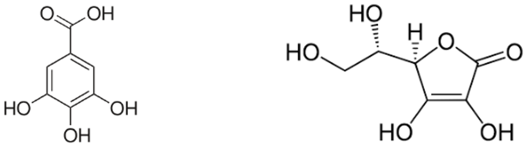
La etapa de análisis facilita en el estudiantado la comprensión sobre la importancia de las modificaciones químicas estratégicas, mostrando cómo la química medicinal permite optimizar compuestos naturales y adaptarlos a las necesidades farmacológicas modernas. Así, la reflexión se orienta hacia el entendimiento de que, aunque los compuestos naturales poseen propiedades biológicas, su potencial terapéutico puede ser incrementado mediante intervenciones químicas fundamentadas. En el caso de P. guajava, se conoce que sus principios activos poseen actividad biológica, pero con limitaciones en cuanto a estabilidad, solubilidad o potencia, por lo que se han efectuado modificaciones químicas en los flavonoides de la guayaba para potencializar su efecto medicinal. La quercetina, por ejemplo, presenta una baja solubilidad en agua y una absorción limitada en el organismo en su forma natural. Se conoce que una estrategia para mejorar su biodisponibilidad es derivarla a través de reacciones químicas sobre sus grupos funcionales disponibles; dado que la quercetina posee cinco grupos hidroxilo fenólicos (como se observó en su estructura figura 1), es posible convertirlos en ésteres o éteres para modificar sus propiedades (Carrillo-Martinez, E. J., et al..; 2024).

Otro caso estudiado recientemente por Kyriakou, E., y colaboradores (2018) fue la acetilación total de la quercetina, produciendo el derivado pentaacetato de quercetina, este compuesto se obtiene haciendo reaccionar quercetina pura con un agente acetilante, aplicándolo a cada grupo –OH disponible de la quercetina. El resultado es una molécula donde todos los hidroxilos han sido sustituidos por grupos acetato, volviéndola menos polar que la quercetina original (figura 6). Esta disminución de polaridad implica que el pentaacetato es más soluble en solventes orgánicos apolares y potencialmente más capaz de atravesar membranas celulares (que son lipofílicas), lo cual podría traducirse en una mejor absorción en el tracto digestivo si se usa como profármaco.

Figura 6. Estructuras químicas querecetina, (izquierda) y pentaacetato de quercetina (derecha). Recuperado de de National Center for Biotechnology Information, (2025).

Al finalizar los estudiantes realizan una actividad reflexiva sobre la relación de los saberes tradicionales con la ciencia actual (tabla 5).

Tabla 5. Sesión 4: Actividades de estudiantes y docentes para relacionar los saberes tradicionales con la ciencia actual.

Estudiantes

Docentes

Considerando la molécula de quercetina, responden en equipos: ¿Qué grupos funcionales tiene la quercetina que podrían modificarse? ¿por medio de qué reacción podrían modificarse los grupos funcionales de la molécula? ¿Qué propiedades consideras que cambiarían con esta modificación (solubilidad, absorción, actividad biológica)?

En plenaria cada equipo expone sus propuestas.

De forma individual realiza una reflexión: Con base en lo revisado, ¿Qué aprendiste sobre la importancia de integrar conocimiento tradicional con la ciencia actual? ¿Por qué creen que a veces es necesario modificar químicamente el principio activo de las plantas?

Retoma información de las tres sesiones anteriores realizando una síntesis.

Durante el trabajo en equipo apoya a los estudiantes para recordar aprendizajes previos sobre esterificación y características de los grupos funcionales.

Resume el trabajo realizado por los estudiantes para generar un posible flujo de cómo, a partir de los principios activos naturales, se puede llegar a medicamentos.

Conclusiones

La propuesta de secuencia didáctica basada en indagación guiada planteada en este artículo muestra cómo es posible integrar los saberes tradicionales relacionados con plantas medicinales en la enseñanza de la química, utilizando el caso específico del Psidium guajava. Mediante esta estrategia, los estudiantes retoman conceptos químicos como polaridad, solubilidad, métodos de extracción y modificaciones químicas de principios activos, y al mismo tiempo desarrollan habilidades de investigación documental, análisis crítico, manejo técnico de laboratorio y pensamiento reflexivo, alineándose con los enfoques metodológicos de Educación Química para propuestas innovadoras.

El análisis del uso tradicional y científico del guayabo permite articular un recorrido desde la herencia cultural mexicana hasta la química farmacéutica actual; de este modo, los estudiantes podrían valorar la importancia histórica y cultural del conocimiento empírico ancestral, reconociendo que dichos saberes no son ajenos al quehacer científico moderno, sino más bien complementarios e integrables. Además, la secuencia didáctica tiene la intención de facilitar la comprensión del proceso químico-farmacéutico, desde la identificación y extracción de compuestos activos hasta la optimización mediante modificaciones químicas estratégicas, enfatizando la relación estructura-propiedad-aplicación.

Finalmente, el enfoque metodológico empleado tiene la intención de fomentar el pensamiento crítico, la colaboración y la autonomía investigativa en los estudiantes, alineándose así con las directrices educativas del Colegio de Ciencias y Humanidades. Al vincular explícitamente el saber tradicional con la ciencia contemporánea, esta propuesta contribuye en integrar aspectos conceptuales, procedimentales y actitudinales de la Químicas. Esto último incide en la formación de ciudadanos conscientes del valor cultural, ético y social del conocimiento científico, a partir del reconocimiento del conocimiento tradicional como parte del patrimonio científico-cultural de México.

Referencias

Amineh, R. J. y Asl, H. D. Review of Constructivism and Social Constructivism. Journal of Social Sciences, Literature and Languages 2015, 1 (1), 9– 16

Arévalo-Marín, E., Casas, A., Landrum, L., Shock, M. P., Alvarado-Sizzo, H., Ruiz-Sánchez, E., y Clement, C. R. (2021). The taming of Psidium guajava: Natural and cultural history of a neotropical fruit. Frontiers in Plant Science, 12, 714763. https://doi.org/10.3389/fpls.2021.714763(frontiersin.org)

Caamaño, A. (2003) Los trabajos prácticos en ciencias, en M.P. Jiménez Aleixandre, (coord.) Enseñar ciencias (95-118), Grao

Caamaño, A. (2004). Experiencias, experimentos ilustrativos, ejercicios prácticos e investigaciones: ¿una clasificación útil de los trabajos prácticos. Alambique, 39(8), 19.

Carrillo-Martinez, E. J., Flores-Hernández, F. Y., Salazar-Montes, A. M., Nario-Chaidez, H. F., y Hernández-Ortega, L. D. (2024). Quercetin, a Flavonoid with Great Pharmacological Capacity. Molecules (Basel, Switzerland), 29(5), 1000. https://doi.org/10.3390/molecules29051000

Flórez-Fernández, N., Ferreira-Anta, T., Torres, M. D., y Domínguez, H. (2021). Valorization of Arnica montana Wastes after Extraction of the Ethanol Tincture: Application in Polymer-Based Matrices. Polymers, 13(18), 3121. https://doi.org/10.3390/polym13183121

Garritz, A. (2010). Indagación: las habilidades para desarrollarla y promover el aprendizaje. Educación química, 21(2), 106-110. https://doi.org/10.1016/S0187-893X(18)30159-9

Gutierrez-Montiel, D., Guerrero-Barrera, A. L., Chávez-Vela, N. A., Avelar-Gonzalez, F. J., y Ornelas-García, I. G. (2023). Psidium guajava L.: From byproduct and use in traditional Mexican medicine to antimicrobial agent. Frontiers in nutrition, 10, 1108306. https://doi.org/10.3389/fnut.2023.11083066

Gutiérrez, R. M., Mitchell, S., y Solis, R. V. (2008). Psidium guajava: a review of its traditional uses, phytochemistry and pharmacology. Journal of ethnopharmacology, 117(1), 1–27. https://doi.org/10.1016/j.jep.2008.01.025

Guzmán Maldonado, S. H., Díaz Huacuz, R. S., y González Chavira, M. M. (2017). Plantas medicinales: La realidad de una tradición ancestral. Guanajuato, México, CIR Centro.

Guzzy Arredondo, M. T. (1986). Etnobotánica de Psidium guajava I. Guayaba (Tesis de licenciatura). Universidad Nacional Autónoma de México. Recuperado de https://repositorio.unam.mx/contenidos/362978

Huynh, H. D., Nargotra, P., Wang, H.-M. D., Shieh, C.-J., Liu, Y.-C., y Kuo, C.-H. (2025). Bioactive Compounds from Guava Leaves (Psidium guajava L.): Characterization, Biological Activity, Synergistic Effects, and Technological Applications. Molecules, 30(6), 1278. https://doi.org/10.3390/molecules300612788

Instituto de Química (2017). Quercetina. Unidad de Informática del Instituto de Química. https://uniiquim.iquimica.unam.mx/compuesto-item/quercetina-928/

Kyriakou, E., Kostagianni, A. D., Kellici, T. F., Giannopoulou, E., Siatis, K. E., Sayyad, N., ... y Tzakos, A. G. (2018). Three Regioselectively Acylated Flavonoid Aglycone Derivatives in Equimolar Yield at One Blow. ChemistrySelect, 3(18), 5207-5211. https://doi.org/10.1002/slct.201703002

Mesa Vanegas, A. M. (2017). Una visión histórica en el desarrollo de fármacos a partir de productos naturales. Revista Mexicana de Ciencias Farmacéuticas, 48(3), 16–27. Recuperado de http://www.redalyc.org/articulo.oa?id=57956616003

Mex Álvarez, R. M. de J., Alcocer Bastos, M. H., Sánchez Andrade, J. E., y Carreras Contreras, R. (2022). Uso etnobotánico de Psidium guajava en tres estados de México. RICS Revista Iberoamericana de las Ciencias de la Salud, 11(22).

National Center for Biotechnology Information (2025). PubChem Compound Summary for CID 14005, Quercetin pentaacetate. https://pubchem.ncbi.nlm.nih.gov/compound/Quercetin-pentaacetate

Ntoumba, A. , Meva, F. , Ekoko, W. , Foko, L. , Hondt, E. , Schlüsener, C. , Moll, B. , Loe, G., Kedi, P. , Fouda, J. , Janiak, C. and Lehman, L. (2020) Biogenic Synthesis of Silver Nanoparticles Using Guava (Psidium guajava) Leaf Extract and Its Larvicidal Action against Anopheles gambiae. Journal of Biomaterials and Nanobiotechnology, 11, 49-66. doi: 10.4236/jbnb.2020.111004.

Ortiz de Montellano, B. (1975). Medicina empírica azteca: Las plantas medicinales aztecas parecen ser eficaces si se juzgan según los estándares aztecas. Science, 188 (4185), 215-220. https://www.science.org/doi/abs/10.1126/science.1090996

Ortiz Fernández, W., Aguilera, Y., Rodríguez, J., Guzmán Mayancha, D. M., Cobo Salinas, H. M., y Bravo Sánchez, L. R. (2016). Desarrollo y validación de técnicas espectrofotométricas para la determinación de flavonoides totales, basada en quercetina, en las hojas de Psidium guajava L. Revista Amazónica. Ciencia y Tecnología, 5(3), 276–288. https://doi.org/10.59410/RACYT-v05n03ep06-0064(revistas.uea.edu.ec)

Sánchez-Chávez, E., y Zamudio, S. (2017). Psidium guajava L. eFloraMex - Flora de México en línea. https://efloramex.ib.unam.mx/cdm_dataportal/taxon/395fe2b5-2997-44b9-91da-2be4cc603526

Silva, M., Brito, J., y Sanzana, P. (2024). Saberes tradicionales y disciplinas STEM: Repensando el concepto de identidad étnica en la educación superior. Revista Electrónica de Investigación Educativa, 26. https://doi.org/10.5281/zenodo.4110902

Larrea C. (2023). Manual de prácticas de laboratorio: Química analítica de alimentos. Universidad Nacional Autónoma de Chota. https://www.portaluni.unach.edu.pe/images/documentos/Resoluciones/Resoluciones_comisi%C3%B3n_organizadora/2023/RESOLUCION-C.O.-N%C2%BA549.pdf(portaluni.unach.edu.pe)

Vargas-Álvarez, D., Soto-Hernández, M., González-Hernández, VA, Engleman, EM, y Martínez-Garza, Á. (2005). Variación del contenido de flavonoides en hojas de guayaba en condiciones de estrés. Revista Chapingo serie horticultura, 11 (1),89-92. ISSN: 1027-152X. https://www.redalyc.org/articulo.oa?id=60912502013

Zhang, C., Pan, X. Y., Yu, M. J., Jin, L., y Wu, G. (2012). An efficient method for preparation of propyl gallate using Brønsted acidic ionic liquid N-methyl pyrrolidonium hydrosulfate [Hnmp] HSO4. Chemical Engineering Journal, 209, 464-468. https://doi.org/10.1016/j.cej.2012.08.056



Recepción: 2025-07-09. Aceptación: 2025-10-03.


Cómo citar:

Martínez Cuatepotzo, B., y Jaramillo Alcantar, A. (2025, noviembre). De los saberes tradicionales a los medicamentos: el caso de Psidium guajava. Educación Química, 36(Número especial). https://doi.org/10.22201/fq.18708404e.2025.4.91790e.



Este es un artículo de acceso abierto bajo la licencia de Creative Commons 4.0.


[a] Colegio de Ciencias y Humanidades, Universidad Nacional Autónoma de México, México.

1 Se relaciona con el grado de autonomía que tiene el estudiantado para tomar decisiones en el diseño y desarrollo del experimento, desde seguir instrucciones prediseñadas hasta plantear sus propias condiciones o hipótesis. A mayor apertura, más oportunidades se generan para la construcción activa del conocimiento, la autorregulación y la transferencia de aprendizajes a situaciones nuevas (Caamaño, 2003 ).