Una formulación para calcular cargas atómicas en moléculas

Julio Andrade-Gamboa[a]


Resumen

Las cargas atómicas dentro de una molécula son frecuentemente referidas en libros de texto de química y representan la versión más simplificada de la distribución de carga en moléculas. Estas distribuciones de carga dan una visión acerca de la polaridad molecular, de la que dependen muchas propiedades moleculares de las sustancias. El acceso a valores de cargas atómicas necesita del empleo de métodos computacionales sofisticados basados en la química cuántica, qué de ser accesibles, están por encima del nivel conceptual para cursos básicos de química (y por ende serían valores de “caja negra”). En el presente trabajo se propone un método conceptualmente simple para el cálculo de cargas atómicas que requiere del conocimiento de temas corrientes de química, tales como representaciones de Lewis, orbitales y electronegatividad. Con base en la formulación para el cálculo de cargas atómicas se presentan algunas aplicaciones vinculadas a momentos dipolares, efectos inductivo y mesomérico, estabilidad de carbocationes, acidez de ácidos carboxílicos halogenados, acción catalítica de ácidos de Lewis y contribución de pares de electrones libres al momento dipolar.

Palabras clave:

química general, química orgánica, enlace químico, enseñanza universitaria, cargas atómicas, potencial electrostático molecular.


A formulation for calculating atomic charges in molecules

Abstract

Atomic charges within a molecule are frequently referred to in chemistry textbooks and represent the most simplified version of the molecular charge distribution. These charge distributions give insight into molecular polarity, on which many molecular properties of substances depend. Access to atomic charge values requires the use of sophisticated computational methods based on quantum chemistry, which, if accessible, are above the conceptual level for basic chemistry courses (and therefore they would be black box values). In the present work, a conceptually simple method for the calculation of atomic charges that requires knowledge of common topics in chemistry, such as Lewis representations, orbitals and electronegativity, is proposed. Based on the formulation for the calculation of atomic charges, some applications linked to dipole moments, inductive and mesomeric effects, stability of carbocations, acidity of halogenated carboxylic acids, catalytic action of Lewis acids and contribution of lone pairs of electrons to the dipole moment.

Keywords:

general chemistry, chemical bonding, university teaching, atomic charges, molecular electrostatic potential.




Introducción

A raíz de la distribución asimétrica de electrones en una molécula, surge la concepción de carga atómica (también llamada carga parcial o carga fraccionaria). Las cargas atómicas no pueden ser medidas directamente1 y, además, no es obvio cómo definir de manera única un entorno en el cual sumar carga nuclear y carga electrónica. No obstante, desde un principio se buscaron modos para calcular valores que representen de alguna manera a una carga atómica. Existen métodos de cálculo simples (de escritorio a partir de electronegatividades) y en las últimas décadas, también se derivan de cálculos computacionales complejos (llamados ab initio) basados en la aplicación de la química cuántica y que dan otros resultados, tales como los niveles energéticos moleculares.2 Pero la arbitrariedad de cada tipo de cálculo (tanto dentro de los de escritorio como entre los métodos computacionales complejos) se refleja en la disparidad de valores de cargas para una dada molécula, incluso con diferencias en el signo de las mismas.

En cursos elementales de química las cargas atómicas se mencionan, pero se emplean de manera cualitativa. La utilidad de un valor de carga atómica (sin importar la idealización que suponga) reside en ser la descripción más simple para el potencial electrostático molecular que, en los cálculos computacionales complejos, se muestran a través de los mapas de potencial electrostático (MPE) para una dada superficie de igual densidad electrónica (se emplea un código de colores para señalar con azul superficies electrostáticamente positivas, con rojo las negativas y el orden del espectro visible para estados intermedios). Si bien los MPE son muy instructivos (Shusterman y Shusterman, 1997; Shusterman y Hoistad, 2001) y ya figuran en libros de texto (Hinze et al, 2013), solo se pueden derivar empleando costosos programas de computación (el programa de código libre Avogadro; Hanwell et al., 2012), permite ver MPE generados por otros programas).

El presente artículo propone un método de escritorio simple para el cálculo de cargas atómicas que permite poner un contexto cuantitativo para interpretar diversos aspectos de química que suelen ser descritos cualitativamente en cursos iniciales de química.

Revisión de los métodos de escritorio para calcular cargas atómicas

El concepto central asociado a las cargas atómicas es el de la electronegatividad. Esta cantidad fue formalizada por Pauling (1932; 1965), quien la definió como la tendencia de un átomo a atraer los electrones compartidos en un enlace. Si bien los cálculos de Pauling fueron de naturaleza termoquímica (a partir de energías de enlace), la definición dada por él no restringe el tipo de magnitud involucrada, lo que dio lugar a muchas maneras de calcularla. Existen buenos artículos que describen la evolución histórica que llevó a concebir la electronegatividad (Jensen, 1996, 2003) y que muestran un conjunto completo de definiciones para la misma (Salas-Banuet, Ramírez-Vieyra y Noguez-Amaya, 2011). A nivel inicial, la electronegatividad es presentada como una propiedad atómica estática del átomo libre. Pero también existe una visión dinámica para un átomo dentro de una molécula que es de interés particular en este trabajo. En ella la electronegatividad se concibe como un potencial conceptualmente similar al potencial químico. De alguna manera esta fue la visión de Sanderson (1976, p. 76) quien enunció su principio de igualación de electronegatividades del siguiente modo: “Cuando dos o más átomos inicialmente diferentes en electronegatividad se combinan químicamente, dentro del compuesto ajustan sus electronegatividades al mismo valor intermedio”.

Todos los métodos de cálculo de escritorio se basan (directa o indirectamente) en el principio de Sanderson. Dentro de los más simples, adecuados a la enseñanza básica, se pueden mencionar los métodos de Bratsch y Allen.

El método de Bratsch (1984, 1985) se basa en considerar que la electronegatividad X varía linealmente con la carga atómica Q (Huhey, 1965), según

X = X(0) + X(0)Q

(1)

y considera que las electronegatividades atómicas se igualan a un valor de electronegatividad molecular, X´, que es el promedio armónico de las electronegatividades atómicas. Esto es,

(2)

donde n es el número de átomos de un dado elemento i en la molécula, cuya electronegatividad es Xi, y N = Σn, es el número total de átomos (también es aplicable a iones y en ese caso se reemplaza el numerador por N + q, donde q es la carga del ion). Luego, las cargas atómicas de cada átomo i (en unidades del valor absoluto de la carga del electrón), se calculan como

(3)

Por ejemplo, si aplicamos este método a la molécula de metanol (CH3OH), obtendremos (empleando los valores corrientes de electronegatividad, en escala de Pauling, para C, H y O, de 2.55, 2.20 y 3.44)3

X´= 6/[(½.55) + (4/2.20) + 1(3.44)] = 2.40

Q(C) = (2.40 – 2.55)/2.55 = –0.059

Q(H) = (2.40 – 2.20)/2.20 = +0.091

Q(O) = (2.40 – 3.44)/3.44 = –0.302

Estos valores de cargas atómicas cumplen con el principio de electroneutralidad (– 0.059 + 4 × 0.091 – 0.302 ≅ 0), pero dan el mismo valor de carga atómica al H metílico que al hidrógeno hidroxílico. Es de esperar que este último sea más positivo. Si bien se ha propuesto una modificación (Huai, Qingwei, Lixin, 1992) para evitar este tipo de anomalías, y también para contemplar efectos inductivos más allá de primeros vecinos, el método de Bratsch (modificado o no) no contempla enlaces por separado, por ende, no permite diferenciar enlaces sigma (σ), pi (π) y enlaces dativos lo cual amplía la descripción y evita ciertas inconsistencias (Andrade-Gamboa, 2004).

Por su parte, el método de Allen (1989) considera un reparto de los pares compartidos de cada enlace proporcional al factor dado por la fracción de la electronegatividad respecto de la suma de las electronegatividades del par de átomos enlazados. Para una molécula poliatómica, la carga de un átomo A estará dada por

(4)

donde VA y LA y XA son los electrones de valencia, los electrones libres y la electronegatividad de A que está unido a i átomos de electronegatividades Xi. Para una molécula diatómica con un enlace simple, la ecuación 4 respeta el principio de Sanderson y la formulación converge a la del método de Bratsch (ver Apéndice 1). La formulación de Allen, que desde hace años ha sido incorporada en algunos libros de texto (Bodner, Richard y Spencer, 1996; Moog y Farrel, 1996) tiene la virtud conceptual de vincularse con las definiciones de carga formal y estado de oxidación. Si XA >> Xi, la ecuación 4 converge al valor del estado de oxidación de A; y si XA = Xi, la ecuación 4 converge al valor de la carga formal de A (Spencer, Moog y Gillespie, 1996).

Si aplicamos la fórmula de Allen al metanol, tendremos

Q(H hidroxílico) = 1–2 (2.20/2.20 + 3.44) = +0.220

Q(H metílico) = 1–2 (2.20/2.20 + 2.55) = +0.074

Q(C) = 4–2 [2.55/(2.55 + 3.44) + 3 × 2.55/(2.55 + 2.20) = –0.072

Q(O) = 6–4–2 [3.44/(3.44 + 2.55) + (3.44/3.44 + 2.20) = –0.368

estos valores también cumplen con la electroneutralidad molecular y, además, las cargas para los átomos de hidrógeno se diferencian debido a su entorno siendo acordes a la intuición química (lo cual es una mejora en relación con el método de Bratsch).

A continuación, se presenta la propuesta de un método de cálculo de cargas atómicas, para lo cual es necesario aclarar que no se pretende encontrar un procedimiento para obtener valores con algún significado absoluto, sino un conjunto de valores que, de acuerdo a las características moleculares, puedan reflejar de manera relativa las propiedades que usualmente son descritas de manera cualitativa en los libros de texto.

Un modelo heurístico para el enlace químico como base para un método de cálculo de cargas atómicas

Si bien un enlace químico no es un proceso, con el fin de diseñar un método de cálculo se va a considerar un proceso imaginario de transferencia de carga, luego del cual todos los átomos que componen la molécula adquieren sus respectivas cargas atómicas. En este modelo, se considera que la fuerza impulsora para la formación de un enlace es la deslocalización electrónica, mientras que las diferencias de electronegatividades representan una resistencia a dicha deslocalización electrónica. El proceso imaginario es: se parte del estado de deslocalización electrónica total (el par electrónico del enlace se comparte por igual) y luego el sistema se relaja por intervención de una fuerza de recuperación debido a las diferencias de electronegatividades que permite alcanzar un estado final de equilibrio. El proceso involucra la variación de los valores de las electronegatividades.

La definición de Mulliken (1934) para electronegatividad (ver Apéndice 2), permite obtener valores para diferentes tipos de orbitales simplemente ocupados (incluyendo orbitales σ y π), orbitales doblemente ocupados y orbitales vacíos (ver Apéndice 2). De modo que pueden obtenerse electronegatividades de orbitales asociadas a enlaces σ, aquellas asociadas a enlaces π, como así también electronegatividades aceptoras (correspondientes orbitales vacíos) y electronegatividades dadoras (correspondientes a orbitales doblemente ocupados). Estas últimas solo intervienen en el caso de enlaces dativos (Andrade-Gamboa, 2004).

La Tabla 1 (ver también Apéndice 2) da las expresiones de variación con la carga eléctrica de las electronegatividades para orbitales σ y π (en unidades de la escala de Pauling). Con X identificamos las electronegatividades de orbitales simplemente ocupados, con Xd las electronegatividades dadoras y Xa las electronegatividades aceptoras. Las X(Q = 0) para orbitales σ, son las electronegatividades corrientes que figuran en libros de texto y tablas periódicas, y que se corresponden a los valores termoquímicos de Pauling (1932; 1965).

Tabla 1. Electronegatividades (unidades de Pauling) para algunos elementos (ver Apéndice 2). Nota. *Ec. A2.1, ** Ec. A2.2 (para H, ec. A2.5 , *** Ec. A2.3 (para H+, ec. A2.6)

Orbital

X(Q)*

Xd(Q)**

Xa(Q)***

H

σ

2.20(1 + Q)

2.20 + 1.97 Q

2.20 + 1.97 Q

B

σ

2.04(1 + Q)

-

0.51(2 + Q)

Al

σ

1.61(1 + Q)

-

0.53(2 + Q)

C

σ

2.55(1 + Q)

3.69 + 2.43 Q

-

C

π

1.81(1 + Q)

3.14 + 2.02 Q

0.19(2 + Q)

N

σ

3.04(1 + Q)

4.75 + 2.95 Q

1.28(2 + Q)

N

π

2.60(1 + Q)

3.64 + 2.53 Q

0.50(2 + Q)

P

σ

2.19(1 + Q)

3.96 + 1.88 Q

0.61(2 + Q)

P

π

2.07(1 + Q)

3.29 + 1.48 Q

0.38(2 + Q)

As

σ

2.18(1 + Q)

-

-

Sb

σ

2.05(1 + Q)

-

-

Bi

σ

2.02(1 + Q)

-

-

O

σ

3.44(1 + Q)

5.88 + 3.34 Q

1.52(2 + Q)

O

π

3.15(1 + Q)

4.63 + 2.86 Q

-

S

σ

2.58(1 + Q)

4.24 + 2.18 Q

0.99(2 + Q)

S

π

2.37(1 + Q)

3.51 + 1.85 Q

-

Se

σ

2.55(1 + Q)

-

-

Te

σ

2.1(1 + Q)

-

-

F

σ

3.98(1 + Q)

7.91 + 3.39 Q

-

F

π

-

5.49 + 3.26 Q

-

Cl

σ

3.16(1 + Q)

5.39 + 1.78 Q

-

Cl

π

-

4.04 + 1.88 Q

-

Br

σ

2.96(1 + Q)

-

-

I

σ

2.66(1 + Q)

-

-

Para enlaces no dativos, el equilibrio significa la igualdad total o parcial (solo entre primeros vecinos) de las electronegatividades atómicas. Para enlaces dativos, y para todo valor de carga, las Xd son mayores que las Xa (Tabla 1), incluso entre átomos del mismo elemento (Andrade-Gamboa, 2004), de modo que no hay posibilidad de hacer valer un principio de igualación de esas electronegatividades.

Requerimientos para un nuevo método de cálculo de cargas atómicas

Bajo el modelo de enlaces propuesto, el método de cálculo para cargas atómicas dentro de una molécula o ion, requiere considerar las transferencias de carga en todos los enlaces, teniendo en cuenta:

Bajo estos lineamientos, se presenta a continuación el método propuesto para calcular cargas atómicas.

Metodo propuesto

Dado que la sumatoria del tercer término del segundo miembro de la formulación de Allen (ecuación 4) es sobre todos los enlaces del átomo A con el átomo i-ésimo, cada término de la sumatoria se puede interpretar como una transferencia de carga a través de cada enlace. Esto permitiría que la ecuación 4 sea la base para proponer un método de cálculo sencillo que se adecue al modelo heurístico de enlace propuesto. Pero, a diferencia de las moléculas con solo un enlace simple (ver Apéndice 1), para moléculas poliatómicas, la ecuación 4 no conduce a valores de cargas parciales para las que las electronegatividades de los diferentes átomos se igualen. Por ejemplo, la Tabla 2 muestra los resultados de la aplicación de la ecuación 4 para H2O, NH3 y CH4, CCl4 y CH3OH.

Tabla 2. Aplicación del método de Allen a algunas moléculas poliatómicas. Nota. * Ecuación 4. ** Ecuación 1 y Tabla 1.

X(0)

Q*

X(Q)**

H2O

H

O

2.20

3.44

+0.220

–0.440

2.68

1.93

NH3

H

N

2.20

3.04

+0.160

–0.481

2.55

1.58

CH4

H

C

2.20

2.55

+0.074

–0.295

2.35

2.01

CCl4

Cl

C

3.16

2.55

–0.107

+0.427

2.81

3.67

CH3OH

O–H

C–H

O

C

2.20

2.20

3.44

2.55

+0.220

+0.074

–0.368

–0.072

2.68

2.36

2.17

2.37

En la Tabla 2 no solo se observa que las electronegatividades no se igualan, sino que se revierten. De esta manera habría una sobreestimación de la transferencia electrónica del átomo menos electronegativo al más electronegativo.

Para subsanar este inconveniente, de nuevo con un matiz totalmente heurístico y aun manteniendo la sencillez de la formulación de Allen, se propone para un nuevo modelo imaginar el proceso de transferencia electrónica en dos etapas, cada una dada por la ecuación 4, pero afectada de un factor ½. En la primera, la transferencia de electrónica genera sobre el átomo A la carga QA<1> dada por (las electronegatividades iniciales se corresponden con la carga Q<0> = 0)

(5)

Luego, la segunda etapa de transferencia electrónica está controlada por nuevos valores de electronegatividades correspondientes a las cargas adquiridas en la primera etapa, Xi(Qi<1>), que da lugar a una carga adicional sobre el átomo A, QA<2>, de acuerdo con

(6)

Finalmente, la carga parcial sobre el átomo A será la suma de las contribuciones de las dos etapas de transferencia electrónica, es decir

QA = QA<1> + QA<2>

(7)

El método de cálculo propuesto, entonces, es el representado por la secuencia de ecuaciones 5-7 (y constituye una mejora al tratamiento presentado anteriormente; Andrade-Gamboa, 2004).

La Tabla 3 muestra los resultados de esta nueva formulación sobre los compuestos de la Tabla 2. En la Tabla 3 se observa que el estado final se corresponde, dentro de algunas centésimas, con el principio de igualación de electronegatividades. La transferencia electrónica total (y por ende, la polaridad de los enlaces) es aproximadamente la mitad que la calculada a través de la ecuación 4.

Para moléculas más complejas, la igualación de electronegatividades se ve contrarrestada por los efectos de los entornos atómicos, lo cual no permite que la carga sea la misma para dos átomos del mismo elemento en diferentes entornos. De este modo, a través de la segunda etapa de transferencia de carga (ecuación 6), se da la oportunidad de que se transmita información a segundos vecinos para dar cuenta de efectos inductivos a lo largo de la molécula. Es decir, el método propuesto aquí contempla la igualación de electronegatividades para moléculas poliatómicas en los que los átomos de un dado elemento poseen el mismo entorno, a la vez que permite diferenciar los entornos moleculares de átomos de un dado elemento, como en el caso del CH3OH. Esto equivale la igualdad parcial de electronegatividades, enfoque que han adoptado los métodos de cálculo más sofisticados (Mortier, 1987). Para moléculas diatómicas, para las que el método de Allen da lugar a la igualación de electronegatividades, en lugar del procedimiento en dos etapas de transferencia se acepta directamente el empleo de la ecuación 4.

Tabla 3. Cargas atómicas mediante la nueva formulación para las moléculas de la Tabla 2.

X(0)

Q<1>

X(Q<1>)

Q<2>

Q = Q<1> + Q<2>

X(Q)

H2O

H

O

2.20

3.44

+0.110

–0.220

2.44

2.68

+0.024

–0.047

+0.134

–0.268

2.49

2.52

NH3

H

N

2.20

3.04

+0.080

–0.240

2.38

2.31

–0.007

+0.021

+0.073

–0.219

2.36

2.37

CH4

H

C

2.20

2.55

+0.037

–0.147

2.29

2.14

–0.012

+0.048

+0.025

–0.099

2.26

2.30

CCl4

Cl

C

3.16

2.55

–0.053

+0.212

2.99

3.09

+0.008

–0.033

–0.045

+0.179

3.02

3.00

CH3OH

O–H

C–H

O

C

2.20

2.20

3.44

2.55

+0.110

+0.037

–0.184

–0.036

2.44

2.28

2.81

2.46

+0.035

+0.019

–0.068

–0.024

+0.145

+0.056

–0.252

–0.060

2.52

2.32

2.57

2.40

Enlaces múltiples

En los ejemplos anteriores todas las moléculas poseen únicamente enlaces σ. En el caso de haber enlaces múltiples se deben considerar, además de las electronegatividades σ, las electronegatividades π (Andrade-Gamboa, 2004). Luego, si la molécula requiere de una representación mediante resonancia entre varios contribuyentes, se podrán calcular las cargas atómicas para cada uno de ellos y luego, con base en el aporte o peso de cada contribuyente, se podrá arribar a un único conjunto de valores de cargas atómicas (Andrade-Gamboa y Donati, 2006). Como ejemplo de molécula con enlaces múltiples, en la Tabla 4, se presentan los valores de cargas atómicas en el formaldehído.

Tabla 4. Cálculo de cargas atómicas para el formaldehído.

X(0)

Q<1>

X(Q<1>)

Q<2>

Q = Q<1> + Q<2>

H2CO

H

O

C

2.20

σ: 3.44, π: 3.15

σ: 2.55, π: 1.81

+0.037

–0.209

+0.136

2.28

σ: 2.72, π: 2.49

σ: 2.90, π: 2.06

+0.060

–0.031

–0.088

+0.097

–0.240

+0.048

Enlaces dativos

Ya anteriormente (Andrade-Gamboa, 2004), se propuso el empleo de la ecuación 4 para poder incluir los enlaces dativos. Para la presente propuesta (ecuaciones 5-7), y bajo el modelo de enlace presentado, el proceso para un enlace dativo involucra un estado inicial (total deslocalización de los electrones) en los que lo átomos dador y aceptor posen como cargas atómicas sus cargas formales (positiva y negativa respectivamente). Si bien, tal como se mencionó más arriba, para electronegatividades dadoras y aceptoras no es aplicable un principio de igualación, todavía puede considerarse una transferencia de carga que se opone a la deslocalización electrónica. Pero en este caso, además de la fuerza impulsora debida a la diferencia de electronegatividades, se deberá tener en cuenta una fuerza adicional dada por la atracción/repulsión electrostática del par de electrones compartido debido a las cargas de los átomos. Por ende, el término de transferencia que incluye ambos efectos podría (arbitrariamente) ser 2Xd/(2Xd + ½Xa) y ½Xa/(2Xd + ½Xa) para los átomos dador y aceptor, respectivamente. Entonces, la resistencia adicional a la deslocalización electrónica debida a la separación de cargas se da cuenta corrigiendo las electronegatividades para aumentar la importancia del átomo dador y disminuir la del aceptor. Esto evita que las polaridades de los enlaces dativos sean anormalmente elevadas (Andrade-Gamboa, 2004). Por lo tanto, en la ecuación 5, las electronegatividades a considerar para los átomos dador y aceptor serán, respectivamente, Xd(+1) y Xa(–1) (es decir Q<0>(dador) = +1, y Q<0>(aceptor) = –1 (excepto para H+ para el que Q<0>(aceptor) = 0). Luego, para la segunda etapa de transferencia (ecuación 6), deberán considerarse Xd(Q<1>) y Xa(Q<1>) para cada átomo.

Electronegatividad de grupos

El concepto de electronegatividad suele aplicarse, no solo a átomos individuales, sino también a grupos de átomos (Huheey, 1965). Si reparamos en los valores finales de las electronegatividades de la Tabla 3, parecería que para moléculas con más de dos átomos, que a lo sumo aparecen como primeros vecinos, la electronegatividad se iguala aproximadamente al valor del promedio pesado de las electronegatividades individuales (por ejemplo, CH4 ⟹ [X(C) + 4X(H)]/5 = 2.27). De este modo, podemos definir electronegatividad de un grupo como el promedio pesado de las electronegatividades de todos los componentes (que a su vez podrán también ser grupos). Por ejemplo –CH3 tendrá una electronegatividad X(CH3) = (3×2.2 + 2.55)/4 = 2.29 y –CCl3 tendrá una electronegatividad X(CCl3) = (3×3.16 + 2.55)/4 = 3.01. En el caso de enlaces múltiples a un dado elemento, el promedio se hace sobre enlaces, es decir, tomando tantas veces dicho elemento como el número de enlaces a los que está vinculado y considerando en cada caso la electronegatividad correspondiente (σ o π). Por ejemplo al
–COO– le corresponderá X(COO) = [Xσ(C) + Xπ(C) + 2Xσ(O) + Xπ(O)]/5 = [2.55 + 1.81 + 2×3.44 + 3.15]/5 = 2.88. El empleo de electronegatividades de grupos simplifica los cálculos en los casos en los que no se esté interesado en calcular las cargas parciales de todos los átomos en una molécula compleja.

Está claro que existirá más de una manera de calcular lo mismo y no necesariamente los resultados concuerden exactamente. Si se calcula la carga parcial del H en el CH4 como CH3-H, usando la electronegatividad del grupo metilo (y empleando la ecuación 4, que es la que se adapta a moléculas con solo un enlace simple), el valor obtenido es +0,020, que no concuerda exactamente con el valor de la Tabla 3 (+0.025) pero es muy similar. A los efectos de comparar moléculas análogas se debe emplear el mismo modo de cálculo para todas (para calcular la carga del grupo, en la formulación se considera VA – LA = 1).

Aniones y cationes

En algunos casos el ion involucra la participación de enlaces dativos, como en H3O+, +NH4 y BF4. En los dos primeros casos, el H+ actúa como aceptor (ver ecuación A2.6 y el texto relacionado) y en el último caso, es el B quien actúa como átomo aceptor. Los resultados (ver Figura 1), permiten mostrar que una carga formal positiva sobre un átomo electronegativo no necesariamente significa que el mismo posea una carga parcial positiva, ni que una carga formal negativa sobre un átomo electropositivo corresponda a una carga parcial negativa (Gillespie y Popelier, 2001, p. 17). De este modo la carga formal indica la contribución de un enlace dativo que provoca una disminución de carga del átomo dador respecto de moléculas en los que no existe dicho enlace dativo.

Figura 1. Cargas atómicas parciales para los iones hidronio, amonio y tetrafluorborato.

En la Figura 1, también se observa que debido a que XOd > XNd (ver Tabla 1) la transferencia de carga O ➞ H+ es menor que para N ➞ H+, lo cual está de acuerdo con la mayor basicidad del NH3 respecto del H2O. Es necesario aclarar que la distribución de cargas de la Figura 1 representa uno de los tres contribuyentes del H3O+, uno de los cuatro contribuyentes del NH4+ y uno de los cuatro contribuyentes del BF4. Así, los híbridos de resonancia de estos iones implican que, en cada caso, los átomos unidos al átomo central posean la misma carga parcial (todos son equivalentes). Es decir, para H3O+, QH = ⅓(2×0.151 + 0.818) = +0.376, para NH4+, QH = ¼ (3×0.094 + 0.781) = +0.266 y para BF4, QF = ¼ [3×(–0.189) – 0.936] = –0.371.

Para iones que no involucran enlaces dativos, se aplica la formulación en dos etapas considerando las cargas formales como cargas iniciales. La Tabla 5 da los resultados de casos simples y la Figura 2 muestra la variación de la carga atómica del oxígeno en función de su carga formal (para comparación se agregaron los resultados para el agua y el ion hidronio, de la Tabla 2 y Figura 1, respectivamente).

Tabla 5. Cargas atómicas en aniones y cationes simples.

Carga formal de O

Q

O=

–2

O: –2

HO

–1

O: –0.758; H: –0.243

H2O

0

O: –0.267; H: +0.134

HO+

+1

O: +0.635; H: +0.365

H3O+

+1

O: –0.120; H: +0.373

Figura 2. Variación de la carga formal del átomo de oxígeno para diferentes entornos (los valores corresponden a la Tabla 5).

Etano, eteno y etino

Dado que las electronegatividades de la Tabla 1 son valores promedio sobre hibridaciones y configuraciones electrónicas, algunos casos especiales para las cargas parciales pueden no reflejarse de manera correcta. Por ejemplo, para las moléculas de los hidrocarburos etano, eteno y etino, no se obtienen valores de carga parcial negativa de los carbonos que sean crecientes en valor absoluto en el orden indicado (tal como sugiere la intuición química). Para obtener resultados apropiados se debe considerar que la electronegatividad depende de la hibridación, siendo tanto mayor a mayor carácter s del híbrido. Así, para el carbono, para las hibridaciones sp3, sp2, y sp los valores de electronegatividad son (Bergmann y Hinze, 1987) 2.5 (casi idéntico al valor promedio de la Tabla 1), 2.77 y 3.31, respectivamente. La aplicación del método propuesto en este trabajo permite calcular los valores para las cargas atómicas, presentados en la Tabla 6, y cuya variación está de acuerdo con lo esperado.

Tabla 6. Cargas parciales de H y C en etano, eteno y etino.

Molécula

Hibridación del C

QC

QH

Etano, CH3CH3

sp3

-0.106

+0.035

Eteno, CH2CH2

sp2

-0.141

+0.070

Etino, CHCH

sp

-0.152

+0.152

Resumen de los procedimientos de cálculo

En el Apéndice 3 se muestran ejemplos detallados de cálculos empleando una selección de casos entre los presentados.

Aplicaciones. Algunas vinculaciones entre cargas parciales y propiedades

Las cargas deben reflejarse en las propiedades moleculares y macroscópicas. No obstante, la contribución de otros factores puede alterar y hasta contrarrestar el efecto esperado de la distribución de cargas. Toda correlación que quiera encontrarse entre cargas atómicas y comportamiento de las sustancias debe tener esa precaución. De esta manera, la presente propuesta no pretende constituirse en un procedimiento predictivo sino como una herramienta simple para dar algún sustento, a comportamientos que figuran descritos en la bibliografía de manera cualitativa.

Momentos dipolares eléctricos

Una de las propiedades moleculares relacionadas directamente con las cargas atómicas es el momento dipolar (de ahora en adelante se considera que se refiere a momentos dipolares eléctricos). Las cargas atómicas resultan ser una versión simplificada del potencial electrostático de una molécula, por lo que no es de esperar que los momentos dipolares calculados a partir de ellas tengan un acuerdo muy bueno con los valores experimentales.4 También hay efectos de polarización intramolecular, que distorsionan las nubes electrónicas que no está tenido en cuenta en la visión basada exclusivamente en electronegatividades. Incluso, los métodos sofisticados de cálculo ab initio pueden exhibir discrepancias grandes con los valores medidos.5 No obstante, es posible hallar tendencias que se correspondan con los valores medidos. Para el cálculo, es una práctica corriente racionalizar el momento dipolar molecular (μM) como la suma vectorial de los momentos dipolares asociados a los enlaces (μE). Existen tablas de momentos de enlace promedio, pero el método propuesto aquí, permite calcularlos (ver apéndice 4). La Figura 3 muestra los valores calculados de los momentos dipolares de moléculas sencillas con base en las cargas atómicas y las geometrías moleculares correspondientes (Lide, 2016-2017a), en comparación con los valores experimentales (Lide, 2016-2017b). En la Figura 3 la recta corresponde al acuerdo perfecto. El ajuste lineal de esos datos posee una pendiente mayor, y resulta aceptable a un nivel semicuantitativo (hay correlación con dispersión variable).

Figura 3. Momentos dipolares calculados y experimentales para algunas moléculas sencillas.

Efectos electrónicos: inductivo y mesomérico

Es bien sabido que un átomo marcadamente más electronegativo o más electropositivo que el carbono unido a una cadena hidrocarbonada ejerce un efecto inductivo cuya fuerza decae con la distancia a lo largo de la cadena. La Figura 4 muestra los resultados de los cálculos de cargas atómicas parciales para las moléculas de propano y 1-cloropropano. Las cargas atómicas muestran el efecto inductivo del cloro (convencionalmente denominado –I) y, tal como suele aceptarse (Sykes, 1973, p.35), generalmente decae rápidamente más allá del segundo carbono.6

Figura 4. Cargas atómicas en propano y 1-cloropropano. En este último se da cuenta del efecto inductivo del átomo de cloro que, a su vez, ya no opera en el extremo opuesto.

Si se cuenta con los MPE (mapas de potencial electrostático) de ambas moléculas, claramente se observará la diferente distribución de carga, con superficies de hidrógenos celeste-azules, cadena de carbonos verdosa en el propano, y un entorno rojizo para el cloro y una cadena hidrocarbonada más azul, para el caso del 1-cloropropano.

Además del efecto inductivo, se reconoce como argumento para explicar la polaridad de las moléculas la eventual contribución del denominado efecto mesomérico (Sykes, 1973, p. 36), a raíz de las estructuras resonantes que involucran transferencia de electrones π. Los de momentos dipolares entre el cloruro de etilo (CH3H2Cl, μ = 2.05 D) y el cloruro de vinilo (CH2=CHCl, μ = 1,44 D), se suelen interpretar (Agronomov et. al, 1977) en el primer caso como resultado del efecto inductivo –I del átomo de cloro, mientras que, en el segundo caso, a partir de su híbrido de resonancia (Figura 5). Para este último caso, el contribuyente II da cuenta de una transferencia de carga negativa en sentido inverso a la asociada al efecto inductivo, que suele describirse como un efecto mesomérico +M, que interpreta la disminución del momento dipolar en relación con el del cloruro de etilo para el que el único efecto es de tipo inductivo. Los MPE de cloruro de etilo7 y cloruro de vinilo8 permiten apreciar que la superficie alrededor del cloro presenta un potencial menos negativo en el cloruro de vinilo, lo cual está en línea con lo mostrado en la Figura 5. El cálculo de cargas atómicas de la molécula de cloruro de vinilo se puede realizar a partir de las cargas en los contribuyentes I y II y el conocimiento del aporte de cada uno de ellos (Andrade-Gamboa y Donati, 2006).

Figura 5. Cargas parciales en cloruro de etilo y para los contribuyentes del cloruro de vinilo.

Acidez de ácidos carboxílicos sustituidos

Los efectos inductivos suelen reflejarse en propiedades moleculares, tal como la acidez de ácidos carboxílicos halógeno-sustituidos. Como se mencionó, se pueden emplear electronegatividades de grupos a los efectos de simplificar algunos cálculos y extender el efecto inductivo más allá de segundos vecinos. Así, si se quiere calcular las cargas parciales del H en CH3COOH, CH2χCOOH, CHχ2COOH y Cχ3COOH (χ = halógeno); se podría proceder como para casos binarios A-H. La electronegatividad de A se puede calcular como electronegatividad promedio del grupo A. Los valores de X(A) para χ = Cl, F y de las cargas del hidrógeno ácido (empleando la ecuación 4), se muestran en la Tabla 7 junto con los valores de pKa de cada ácido. En la Figura 6 se grafican las últimas columnas de la Tabla 7.

Tabla 7. Electronegatividades de los radicales carboxilo, carga del hidrógeno ácido y valores de pKa a temperatura ambiente. Nota. * Lide, 2016-2017c; # Elliot, 2000.

AcO

XAcO

Q(H)

pKa

CH3COO

2.62

+0.087

4.76*

CH2ClCOO

2.72

+0.106

2.87*

CHCl2COO

2.83

+0.125

1.35*

CCl3COO

2.94

+0.144

0.66*

CH2FCOO

2.81

+0.122

2.50*

CHF2COO

3.01

+0.155

1.4#

CF3COO

3.21

+0.187

0.52*

Los valores de la Tabla 7, tomando como referencia el ácido acético, muestran el efecto de uno de los factores (Sykes, 1973, p. 74) que influyen sobre la acidez (la electronegatividad de A). En la Figura 6 también se debe considerar la participación de los otros factores (la fuerza del enlace A-H y los factores de estabilización de A) que, harían la diferencia para cada halógeno. Por ejemplo, a igualdad de carga para el H la deslocalización de la carga negativa en el anión depende, no solamente de la electronegatividad del halógeno, sino de la cantidad de ellos que dan lugar a una mayor distribución (deslocalización) de la densidad de carga que, a su vez, permite una mayor hidratación y la consecuente mayor estabilización del anión (Sykes p. 79). Por lo tanto, para una misma carga del H habría mayor deslocalización generada por dos Cl en el Cl2COOH que un solo F en el FCH2COOH y la acidez relativa es mayor en el primer caso.

Figura 6. Correlación entre carga atómica del H ácido y la acidez.

Estabilidad de carbocationes

La estabilidad de carbocationes es un aspecto relevante en la interpretación de mecanismos de reacción como por ejemplo en reacciones orgánicas de adición electrofílica, sustitución aromática electrofílica, y sustitución nucleofílica (Yurkanis Bruice, 2007, caps. 5, 7 y 10). La estabilidad aumenta en el orden: metilo < primario < secundario < terciario. Esto se ejemplifica en la Figura 7 con los cationes metilo, etilo, isopropilo y terbutilo (de izquierda a derecha). La explicación corriente de dicho orden en libros de texto básicos (entre muchos otros, Yurkanis Bruice, 2007, p. 105; McMurry, 2008, p. 195) se realiza a base del efecto inductivo +I (equivalente al de un átomo electropositivo) de los radicales metilo ligados al carbono que lleva la carga formal positiva. Estos favorecerían la deslocalización de la carga del catión, lo cual significaría que en el orden creciente de la Figura 7, el carbono de carga formal positiva debería llevar una carga atómica positiva decreciente en ese orden. Pero el aceptado efecto inductivo +I de los radicales alquilo no se puede explicar con las electronegatividades (tal como se ha hecho en el caso de la Figura 4 respecto del efecto inductivo –I del cloro), de modo que la estabilidad de los carbocationes quedaría fuera de la discusión del presente trabajo. Si calculamos las cargas atómicas de los carbonos que llevan la carga formal positiva para los dos primeros carbocationes de la Figura 7, se obtienen los valores +0.507 (catión metilo) y +0,515 (catión etilo), lo cual va en contra de lo esperado. No obstante, es de vieja data la argumentación complementaria mediante un tipo de efecto mesomérico denominado hiperconjugación (McMurry, 2008, p. 196). Este efecto se refiere a la contribución de estructuras resonantes en los que los átomos de hidrógeno ligados a carbonos vecinos del carbono que lleva la carga formal positiva permiten la donación del par de enlace y formar un enlace adicional π C-C. Por ende, se trataría de un efecto mesomérico (Sykes, 1973, p. 36) de tipo +M. En la Figura 8 se muestran las tres estructuras contribuyentes para el catión etilo que dan cuenta del efecto de hiperconjugación y para las que el carbono que en el contribuyente de la Figura 7 lleva la carga formal positiva, la carga atómica calculada es –0.150.

Figura 7. Orden de estabilidad de carbocationes

Figura 8. Efecto de hiperconjugación para el catión etilo.

Para una pequeña contribución (mayor al 3 %) de la hiperconjugación (Figura 8), la carga parcial del carbono que lleva la carga formal positiva resultaría menor que la carga del carbono del catión metilo, indicando mayor deslocalización de carga en el catión etilo, que da motivo para argumentar en favor de su mayor estabilidad. Para los cationes isopropilo y terbutilo, el número de estructuras contribuyentes de hiperconjugaciónes, respectivamente, nueve y veintisiete. Cuanto mayor es el número de estructuras contribuyentes de igual energía, mayor es el peso de dicho conjunto de contribuyentes (Andrade-Gamboa y Donati, 2006), por lo que mayor será la deslocalización de carga por efecto de hiperconjugación (y, en el ejemplo de la Figura 7, el máximo correspondería al catión terbutilo que es el de mayor estabilidad).

Efecto catalítico del AlCl3 para la adición o sustitución electrofílicas.

Es muy conocida la acción del AlCl3 (u otros haluros de aluminio) como ácido de Lewis para catalizar la disociación heterolítica del Cl2 o de R-Cl (R: radical alquilo) en reacciones electrofílicas de adición o sustitución. La teoría (Sykes, 1973, p. 154) propone que la coordinación entre ambas moléculas con el AlCl3 deja el átomo de cloro (cuya carga parcial obviamente es cero en la molécula halógena), con densidad de carga positiva, lo cual induce un aumento de la electrofilicidad en la otra mitad molecular (Cl o R). La Figura 9 muestra las cargas atómicas para los complejos Cl2➞AlCl3 y CH3Cl➞AlCl3. La carga parcial del Cl electrofílico (+0.005) y del radical metilo (3 ×0.05 – 0.036 = +0.114) comparada con la carga –0.024 en el CH4 (ver Tabla 3), reflejan lo mencionado y, además, la polaridad Cl-Cl o C-Cl es 6 % y 5 % de carácter iónico, respectivamente, lo cual favorece la ruptura heterolítica de esos enlaces para que transcurran las reacciones que son catalizadas por estos ácidos de Lewis (Sykes, 1973, pp. 154 y 157).

Figura 9. Efecto catalítico del AlCl3 como ácido de Lewis.

Contribución de los pares libres al momento dipolar

Para las moléculas NF3 y NH3, de geometría similar, dado que la electronegatividad del flúor es mucho mayor que la del hidrógeno, sería esperable que el momento dipolar de la primera molécula sea mayor. Sin embargo, los valores son, respectivamente 0.24 D y 1.47 D (Lide, 2016-2017b). En los textos básicos de química suele justificarse el inesperado bajo valor del momento dipolar del NF3 en relación con el del NH3 con base en la contribución del momento dipolar del par libre de electrones sobre el átomo de nitrógeno (μL). Para el NH3, μL está en la misma dirección y sentido que μE, mientras para el NF3, μL se opone a μE (Figura 10). Resulta interesante ver la posibilidad de calcular un valor para μL, para justificar cuantitativamente este tipo de argumentaciones. Pero esto no es posible de hacer, por ejemplo, a partir de valores promedio tabulados de los momentos dipolares de enlaces ya que llevan implícitas las contribuciones de los pares de electrones libres, debido a que se han calculado fijando el μ(C-H) = 0.4 D (Smyth, 1955) y compatibilizando con valores experimentales de μM para un conjunto completo de moléculas. Así el μ(N-H) = 1.31 D y μ(N-F) = 0.17 D (Smyth, 1955); luego teniendo en cuenta los ángulos de enlaces (H-N-H: 106.7o; F-N-F: 102.1o; ver más adelante Tabla 8), si se efectúa en cada caso la suma de los tres vectores de momentos de enlace (ver apéndice 4), se obtiene μE(NH3) = 1.48 D y μE(NF3) = 0.22 D, que al dar los valores experimentales corrobora lo dicho respecto de la imposibilidad de dar cuenta del aporte de los pares libres a partir de momentos de enlace promedio. Resulta obvio que un enlace N-F, que es más polar y más largo que un enlace N-H (ver más adelante Tabla 8), no puede tener un momento dipolar menor que el enlace N-H (Cotton y Wilkinson, 1975). Los momentos de enlace calculados, como en este trabajo, a partir de cargas atómicas y longitudes de enlace permiten despojar esos valores de las contribuciones de los momentos dipolares asociados a los pares de electrones libres y, por ende, evaluar las magnitudes de estos últimos.

Figura 10. Contribución de pares libres al momento dipolar molecular.

Las columnas segunda y tercera de la Tabla 8 contienen los datos necesarios de longitudes y ángulos de enlace, que, junto con las cargas atómicas calculadas, permiten evaluar la magnitud de los momentos dipolares asociados a los pares libres de electrones de acuerdo con9

μL = μM ± μE

(8)

El signo negativo en la ecuación 8 corresponde al caso en los que μL y μE tienen el mismo sentido (tal como en la Figura 10 para NH3). En el caso en que dichos momentos tengan sentidos opuestos, queda la incerteza de saber si μL < μE (y el sentido de μM es opuesto al de μL) o μL > μE (y el sentido de μM es igual al de μL). Para los casos en los que hay que discernir entre ambas posibilidades, es necesario apelar a algún criterio adicional. El valor de μL puede deberse a la contribución de un par libre o dos pares libres y para diferenciar cada caso se representará como μL(1) y μL(2), respectivamente. La Tabla 8 también incluye los valores de carácter s y p de los orbitales que forman enlaces y los que alojan pares de electrones libres (ver Apéndice 5) a los efectos de una próxima discusión.

Tabla 8. Aporte de los pares de electrones libres μL al momento dipolar molecular, μM. Nota. Las flechas ↑ y ↓ hacen referencia al sentido vertical respecto de la Figura A4.1; ç Renard y Bolker (1976); * House y House, 2010; # calculado; & Greenwood y Ernshaw, 1998; § Jerzembeck et al., 2002; Lide (2016-2017d), salvo en los casos indicados); Lide (2016-2017b), salvo en los casos indicados. @ Calculado con ecuaciones A2.2, A2.5, A2.6 y A2.7 del Apéndice 2.

AB2 o AB3

Longitud dAB (Å)

θ (o)

%sE

%pE

QA

μM (D)

μE (D)

μL(1) (D)

μL(2) (D)

%sL

%pL

NH3

1.012

106.7

22

78

–0.219

1.47 ↑

0.40 ↑

1.07

-

33

67

NF3

1.37

102.1

17

83

+0.214

0.24 ↓

0.62 ↓

0.38

-

48

52

PH3

1.42

93.34

6

94

+0.003

0.57 ↑

0.01 ↓

0.56

-

83

17

AsH3

1.511

92.1

4

96

+0.006

0.22 ↑

0.02 ↓

0.20

-

89

11

SbH3

1.704

91.6

3

97

+0.055

0.12* ↓

0.25 ↓

0.13

-

92

8

BiH3

1.7759§

90.48§

1

99

+0.063

0.40#

0.31 ↓

0.09

-

97

3

H2O

0.9575

104.5

20

80

–0.268

1.85 ↑

0.76 ↑

1.01@

1.09

30

70

OCl2

1.700ç

110.9ç

26

74

–0.052

0.78ç

0.24 ↑

0.46@

0.54

24

76

OF2

1.85

103.1

18

82

+0.092

0.30 ↓

0.39 ↓

0.09@

0.09

32

68

H2S

1.3356

92.12

4

96

–0.098

0.97 ↑

0.44 ↑

0.96@

0.53

46

54

H2Se

1.46&

91&

2

98

–0.090

0.62* ↑

0.45 ↑

0.38@

0.17

48

52

H2Te

1.69&

90&

0

100

+0.032

0.2* ↓

0.18 ↓

~ 0

~ 0

50

50

Veamos los mencionados casos para NH3 y NF3. Mediante el cálculo de cargas y con la información de las distancias de enlace (dAB, en Tabla 8), se puede calcular μ(N🠔+H) = 0.355 D y μ(N+➞F) = 0.468 D (ver apéndice 1). Luego, de la suma vectorial en cada caso (ver apéndice 4), se obtiene μE(NH3) = 0.40 D y μE(NF3) = 0.62 D. De acuerdo con la Figura 8, μL(NH3) = 1.47 D – 0.40 D = 1.07 D y μL(NF3) = 0.62 D – 0.24 D = 0.38 D. Para el NF3, vale lo dicho en cuanto al doble signo en la ecuación 8: la otra opción es que μL > μE y μL(NF3) = 0.62 D + 0.24 D = 0.86 D (y μM lleve el sentido opuesto a lo señalado en la Figura 10, y se dirija según μL). A partir de los correspondientes MPE10, que muestran un átomo de nitrógeno rojizo en NH3 y azulado en NF3, se pueden confirmar los sentidos para μE indicadas en la Figura 10, de este modo la elección adecuada es μL(NF3) = 0.38 D, lo cual está de acuerdo con la manifestación del efecto inductivo del átomo de flúor sobre el par electrónico libre que explica que el μL(NF3) sea menor que μL(NH3). La Tabla 8, además de mostrar lo dicho para NH3 y NF3 también muestra los cálculos para otras sustancias. En la Tabla 8, para el OF2, de los dos posibles valores para μL, 0.09 D y 0.69, se eligió el primero a partir del MPE molecular11 que indica que el sentido del μM es ↑ respecto de la Figura A4.1.

Un factor adicional importante para la contribución de los pares libres al momento dipolar molecular, además de los inductivos, es el carácter de los orbitales híbridos que alojan los pares de electrones libres. Para aquellos casos donde dicho ángulo es cercano a 90o (PH3, AsH3, AsF3, SbH3, BiH3, H2S, H2Se), el carácter s de los orbitales de enlace (Tabla 8) es muy menor al esperado (Apéndice 5, Tabla A5.1), y prácticamente deben ser considerarlos como orbitales p puros. En todos estos casos, los pares libres quedarán alojados en orbitales que se acercan en mayor o menor media a orbitales puros, para los cuales el momento dipolar asociado será más o menos cercano a cero, respectivamente. Así, es de esperar que μL(BiH3) » 0 y μL(H2Se) » 0. Por lo tanto, en estos casos el μM solamente tendrá el aporte de los enlaces. Entonces, Las causas del valor de μL parecen ser, por un lado, el grado de carácter s del átomo poseedor del par libre y, por otro, su carga parcial. De la Tabla 8 se puede concluir que a menor carácter s y/o menor carga sobre el átomo que posee el/los par/es libre/s, el mL tiende a disminuir.

El ozono (O3)

El momento dipolar de la molécula del ozono es 0.53 D (Lide, 2016-2017b). Esta molécula admite una descripción mediante resonancia basada en los siguientes dos contribuyentes de igual aporte.

Si se calcularan las cargas atómicas mediante los métodos de Bratsh o Allen y sin considerar electronegatividades dadoras y aceptoras, para el híbrido de resonancia se obtendría un valor de +1 para el átomo central y –0.5 para los átomos terminales, lo cual significaría una polaridad anormalmente elevada (μE = 3.2 D, Andrade-Gamboa, 2004). Al aplicar el método propuesto aquí, las cargas calculadas promediadas por resonancia dan para O terminales –0.065 y para el O central +0.130, lo cual permite estimar (ver Apéndice 4), empleando los datos de la geometría molecular (θ = 117.5o; d(O-O) = 1.272 Å, Lide, 2016-2017d) un μE = 0.41 D, que es del orden del valor experimental. Por lo tanto, se concluye que en la molécula de ozono la contribución del par libre del átomo central sería despreciable. Sin pretender un carácter absoluto para esta afirmación, al menos dentro del formalismo del presente trabajo puede hacerse una evaluación si se analiza la dependencia de los valores para los μL(1) de átomos de oxígeno en función de su carga parcial, tal como se muestra en la Figura 11. Esta gráfica indica que la extrapolación para el valor de carga en el O3 (+0.130) μL es prácticamente cero, lo cual apoya la conclusión anticipada.

Figura 11. Variación del momento dipolar de un par libre sobre el átomo de oxígeno en función de su carga parcial.

Conclusiones

El método de cálculo de cargas atómicas en moléculas presentado aquí, contempla la mayoría de los aspectos importantes relacionados con la distribución de carga en una molécula y puede ser empleado en cursos básicos de química una vez que ya se han desarrollado los temas: enlace químico, electronegatividad y estructuras de electrón punto (estructuras de Lewis). Los valores de carga refuerzan las descripciones cualitativas que normalmente se encuentran en los libros de texto y, de este modo, facilitan la conceptualización de la característica que se quiera describir. Esto representa una revalorización cuantitativa de la electronegatividad y empleo activo de estructuras de Lewis.

Los ejemplos de aplicación mostrados agregan a los razonamientos que suelen realizarse en asignaturas de química básicas de manera cualitativa, una visión cuantitativa que permite un empleo más completo de las electronegatividades. Las cargas atómicas son cantidades útiles para encontrar correlaciones con algunos comportamientos moleculares. Cuanto menor dependencia de otros factores haya para una dada propiedad influida por las cargas atómicas, mejores correlaciones podrán hacerse. Por lo tanto, el carácter predictivo del presente modelo debe tomarse con precaución y en el mejor de los casos podrá sustentar las observaciones cualitativas que en los libros de texto suelen asignarse a las distribuciones de carga en moléculas.

Dedicatoria

Dedico este artículo a la memoria del Profesor Dr. Andoni Garritz Ruiz (1948-2015).

Referencias

Agronomov, A. E., Bolesov, I. G., Potapov, V. M., Foss, V. L., Chiranov, S. S., & Shabarov, Y. S. (1977). Problems and exercises in organic chemistry (p. 88). Mir Publishers.

Allen, L. C. (1989). Lewis–Langmuir atomic charges. Journal of the American Chemical Society, 111(26), 9115. https://doi.org/10.1021/ja00207a026

Andrade-Gamboa, J. (2004). Polarity of a dative bond: Donor and acceptor electronegativities. Educación Química, 15(Número extraordinario), 335–341. https://doi.org/10.22201/fq.18708404e.2004.4e.66152

Andrade-Gamboa, J., & Donati, E. R. (2006). El concepto de resonancia: Confusiones ontológicas y epistemológicas. Educación Química, 17(2), 174–179. https://doi.org/10.22201/fq.18708404e.2006.2.66057

Bergmann, D., & Hinze, J. (1987). Electronegativity and charge distribution. En K. D. Sen & C. K. Jørgensen (Eds.), Electronegativity (pp. 145–190). Springer-Verlag.

Bodner, G. M., Rickard, L. H., & Spencer, J. N. (1996). Chemistry: Structure and dynamics (p. 141). Wiley.

Bratsch, S. G. (1984). Electronegativity equalization with Pauling units. Journal of Chemical Education, 61(7), 588–589. https://doi.org/10.1021/ed061p588

Bratsch, S. G. (1985). A group electronegativity method with Pauling units. Journal of Chemical Education, 62(2), 101–103. https://doi.org/10.1021/ed062p101

Cotton, F. A., & Wilkinson, G. (1975). Química inorgánica avanzada (p. 125). Editorial Limusa.

Elliot, A. J. (2000). Fluorinated acetic acids. En Kirk-Othmer Encyclopedia of Chemical Technology. Wiley.

Gillespie, R. J., & Popelier, P. L. A. (2001). Chemical bonding and molecular geometry: From Lewis to electron densities. Oxford University Press.

Greenwood, N. N., & Earnshaw, A. (1998). Chemistry of the elements (p. 767). Butterworth-Heinemann.

Hanwell, M. D., Curtis, D. E., Lonie, D. C., Vandermeersch, T., Zurek, E., & Hutchison, G. R. (2012). Avogadro: An advanced semantic chemical editor, visualization, and analysis platform. Journal of Cheminformatics, 4, 17. https://doi.org/10.1186/1758-2946-4-17

Hinze, S. R., Williamson, V. M., Deslongchamps, G., Shultz, M. J., Williamson, K. C., & Rapp, D. N. (2013). Textbook treatments of electrostatic potential maps in general and organic chemistry. Journal of Chemical Education, 90(10), 1275–1281. https://doi.org/10.1021/ed300395e

House, J. E., & House, K. A. (2010). Descriptive inorganic chemistry (p. 348). Elsevier.

Huai, L., Qingwei, W., & Lixin, L. (1992). An improvement on the formula for group electronegativity. Journal of Chemical Education, 69(10), 783–784. https://doi.org/10.1021/ed069p783

Huheey, J. E. (1965). The electronegativity of groups. Journal of Physical Chemistry, 69(10), 3284–3291. https://doi.org/10.1021/j100894a011

Jensen, W. B. (1996). Electronegativity from Avogadro to Pauling. Part I: Origins of the electronegativity concept. Journal of Chemical Education, 73(1), 11–20. https://doi.org/10.1021/ed073p11

Jensen, W. B. (2003). Electronegativity from Avogadro to Pauling. Part II: Late nineteenth- and early twentieth-century developments. Journal of Chemical Education, 80(3), 279–287. https://doi.org/10.1021/ed080p279

Jerzembeck, W., Bürger, H., Constantin, L., Margulès, L., Demaison, J., Breidung, J., & Thiel, W. (2002). Bismuthine BiH₃: Fact or fiction? High-resolution infrared, millimeter-wave, and ab initio studies. Angewandte Chemie International Edition, 41(14), 2250–2252. https://doi.org/10.1002/1521-3773(20020715)41:14<2550::AID-ANIE2550>3.0.CO;2-B

Levine, I. N. (2001). Química cuántica (5.ª ed.). Prentice Hall.

Lide, R. D. (2016–2017a). Structure of free molecules in the gas phase. En R. D. Lide, W. M. Haynes & J. T. Bruno (Eds.), CRC Handbook of Chemistry and Physics (97.ª ed., pp. 9-19–9-55). CRC Press.

Lide, R. D. (2016–2017b). Dipole moments. En R. D. Lide, W. M. Haynes & J. T. Bruno (Eds.), CRC Handbook of Chemistry and Physics (97.ª ed., pp. 9-59–9-67). CRC Press.

Lide, R. D. (2016–2017c). Dissociation constants of organic acids and bases. En R. D. Lide, W. M. Haynes & J. T. Bruno (Eds.), CRC Handbook of Chemistry and Physics (97.ª ed., pp. 5-88–5-97). CRC Press.

Lide, R. D. (2016–2017d). Structure of free molecules in gas phase. En R. D. Lide, W. M. Haynes & J. T. Bruno (Eds.), CRC Handbook of Chemistry and Physics (97.ª ed., pp. 9-19–9-67). CRC Press.

McMurry, J. (2008). Química orgánica. Cengage Learning.

Moog, R. S., & Farrell, J. J. (1996). Chemistry: A guided inquiry (p. 126). Wiley.

Mortier, W. J. (1987). Electronegativity equalization and its applications. En K. D. Sen & C. K. Jørgensen (Eds.), Electronegativity (pp. 125–143). Springer-Verlag.

Mulliken, R. S. (1934). A new electroaffinity scale; together with data on valence states and on valence ionization potentials and electron affinities. Journal of Chemical Physics, 2, 782–793. https://doi.org/10.1063/1.1749394

Pauling, L. (1932). The nature of the chemical bond. IV. The energy of single bonds and the relative electronegativity of atoms. Journal of the American Chemical Society, 54, 3570–3582. https://doi.org/10.1021/ja01348a011

Pauling, L. (1965). Uniones químicas y la estructura de las moléculas y cristales. Una introducción a la química estructural moderna. Editorial Kapelusz.

Renard, J. J., & Bolker, H. I. (1976). The chemistry of chlorine monoxide (dichlorine monoxide). Chemical Reviews, 76(4), 487–508. https://doi.org/10.1021/cr60302a004

Salas-Banuet, G., Ramírez-Vieyra, J., & Noguez-Amaya, M. E. (2011). La incomprendida electronegatividad (trilogía). Parte I. El pensamiento en la electronegatividad cualitativa. Educación Química, 22(1), 38–44. https://doi.org/10.1016/S0187-893X(18)30112-5
Parte II. Evolución en la cuantificación de la electronegatividad. Educación Química, 22(2), 155–161. https://doi.org/10.1016/S0187-893X(18)30127-7
Parte III. Comprendiendo la electronegatividad. Educación Química, 22(3), 224–231. https://doi.org/10.1016/S0187-893X(18)30138-1

Sanderson, R. T. (1976). Chemical bonds and bond energy. Academic Press.

Shusterman, A. J., & Hoistad, L. M. (2001). Teaching chemistry with electron density models. 2. Can atomic charges adequately explain electrostatic potential maps? The Chemical Educator, 6(1), 36–40. https://doi.org/10.1007/s00897000442a

Shusterman, G. P., & Shusterman, A. J. (1997). Teaching chemistry with electron density models. Journal of Chemical Education, 74(7), 771–776. https://doi.org/10.1021/ed074p771

Smyth, C. P. (1955). Dielectric behavior and structure: Dielectric constant and loss, dipole moment, and molecular structure (pp. 243–244). McGraw-Hill.

Spencer, N., Moog, R. S., & Gillespie, R. J. (1996). Desmytifying introductory chemistry. Part 3. Ionization energies, electronegativity, polar bonds and partial charges. Journal of Chemical Education, 77(7), 627–629. https://doi.org/10.1021/ed073p627

Sykes, P. (1973). Mecanismos de reacción en química orgánica. Martínez Roca.

Yurkanis Bruice, P. (2007). Fundamentos de química orgánica. Pearson Education.

Apéndice 1

En el presente texto se mencionó que para una molécula diatómica, la formulación de Allen (ecuación 1) se corresponde con el principio de igualación de electronegatividades de Sanderson. Para confirmarlo tomemos de ejemplo al HCl y planteemos la transferencia de carga electrónica desde el H al Cl. La igualación de electronegatividades del H y el Cl se dará para una dada carga parcial adquirida por cada uno de los átomos:

XH(QH) = XCl(QCl)

Luego empleando la ecuación 2, y teniendo en cuenta que QH = –QCl, se obtiene

XH(0)(1 + QH) = XCl(0)(1 + QCl) = XCl(0)(1 – QH)

Y, finalmente

Esta expresión es equivalente a

y corresponde al método de Allen (ecuación 4) para el HCl.

Apéndice 2

La formulación de Mulliken (1934) para calcular electronegatividades de orbitales simplemente ocupados (es decir, con solo un electrón) es X = (I0 + EA0)/2, donde I0 es la energía de ionización y EA0 es la afinidad electrónica para un orbital con carga cero. Esto es válido para todo tipo de orbital, incluyendo orbitales híbridos. Con datos de I0 y EA0 (Bergmann y Hinze, 1987), se pueden calcular electronegatividades de orbitales que participan en enlaces σ y enlaces π. La Tabla A2.1 muestra estos valores, en unidades de la escala de Pauling (1932), para algunos elementos (Andrade-Gamboa, 2004).

Tabla a2.1. Electronegatividades orbitales (unidades de Pauling).

Elemento

Orbital

X

Elemento

Orbital

X

Elemento

Orbital

X

H

s

2.20

P

s

2.19

S

p

2.37

B

s

2.04

P

p

2.07

Se

s

2.55

Al

s

1.61

As

s

2.18

Te

s

2.1

C

s

2.55

Sb

s

2.05

F

s

3.98

C

p

1.81

O

s

3.44

Cl

s

3.16

N

s

3.04

O

p

3.15

Br

s

2.96

N

p

2.60

S

s

2.58

I

s

2.66

Los valores correspondientes a los orbitales σ de la Tabla A2.1, son los valores corrientes de electronegatividad que se encuentran en los libros y tablas periódicas.

Tal como se mencionó en el presente texto, la dependencia más sencilla de los valores de electronegatividad con la carga atómica fue indicada por Huyeey (1965) quien propuso que para un elemento la electronegatividad se duplica si adquiriese una carga +1 y se anula en el caso de adquirir una carga de –1. Esta propuesta es cualitativamente razonable, por cuanto una carga positiva va a aumentar la tendencia a atraer electrones, mientas que una carga negativa va a generar el efecto contrario. Para este trabajo aceptamos esta dependencia tanto para orbitales σ como para orbitales π. Entonces, la electronegatividad X(Q) dependerá con la carga orbital Q según la dependencia de la electronegatividad con la carga parcial estará dada por

X(Q) = X(0)[1+Q]

(A2.1)

donde X(0) es la electronegatividad para el átomo neutro (que son las electronegatividades corrientes).

Para el cálculo de las electronegatividades asociadas a orbitales llenos y totalmente vacíos, la aplicación de la definición de Mulliken requiere considerar los estados con estados de carga +1 y –1, respectivamente (de modo que las electronegatividades dadoras (Xd) y aceptoras (Xa) estarán dadas por: Xd(+1) = (I+ + EA+)/2 y Xa(–1)= (I + EA)/2 (Andrade-Gamboa, 2004), donde los signos positivo y negativo hacen referencia a la carga atómica del estado correspondiente. En la definición de Xa se considera que la afinidad electrónica de un orbital cargado negativamente es nula, es decir EA = 0.

Para establecer la dependencia de Xd y Xa con Q se necesita conocer los valores de electronegatividades para otros valores de Q. Para calcularlos no es posible aplicar estrictamente la definición de Mulliken ya que, tanto la afinidad electrónica para un orbital dador doblemente ocupado, como la energía de ionización de un orbital aceptor vacío, pierden su significado. Pero teniendo en cuenta que la definición de Mulliken equivale a ver la electronegatividad como la atracción promedio por un electrón, los valores buscados se corresponden con Xd(0) = I0, Xd(+2) = EA+2 = I+, Xa(0) = EA0 y Xa(-2) = EA = 0. Esto permite hallar las siguientes dependencias lineales y crecientes de Xd y Xa con Q

Xd(Q) = Xd(0) + [Xd(+1) – Xd(0)]Q

(A2.2)

Xa(Q) = Xa(-1)(2 + Q)

(A2.3)

La Tabla A2.2 da los valores de electronegatividades calculados a partir de las correspondientes de energías de ionización y afinidades electrónicas (Bergmann y Hinze, 1987; Andrade-Gamboa, 2004).

En las expresiones A2.2 y A2.3, la carga orbital coincide con la carga atómica. Esto no se cumple para los iones H+ e H-.

Para el caso del ion H- los estados de orbital dador doblemente ocupado y simplemente ocupado corresponden a cargas –1 y 0 (contrariamente a un átomo neutro, para el que las cargas son 0 y +1, respectivamente). De este modo, los puntos que se tienen son Xd(–1) = I–1 = EA0, Xd(0) = (I0 + EA0)/2 y Xd(+1) = EA+ = I0. Luego, el ajuste lineal es

H-: Xd(Q) = Xd(0) + y[Xd(+1) – Xd(-1)]Q

(A2.4)

Xd(Q) = 2.20 + 1.97 Q

(A2.5)

Para el caso del ion H+ los estados de orbital aceptor vacío y simplemente ocupado corresponden a cargas +1 y 0 (contrariamente a un átomo neutro, para el que las cargas son 0 y -1, respectivamente). De este modo, los puntos que se tienen son Xa(0) = (I0 + EA0)/2, Xa(+1) = EA+ = I0 y Xa(–1) = EA0. Se ve que los valores Xa(Q) son los mismos que para Xd(Q), por lo tanto, tendremos el mismo ajuste lineal anterior, esto es

H+: Xa(Q) = 2.20 + 1.97 Q

(A2.6)

Tabla A2.2. Electronegatividades dadoras y aceptoras (unidades de Pauling).

Elemento

Orbital

Xd(0)

Xd(+1)

Xa(-1)

Elemento

Orbital

Xd(0)

Xd(+1)

Xa(-1)

B

σ

-

-

0.51

O

σ

5.88

9.22

1.52

Al

σ

-

-

0.53

O

π

4.63

7.49

-

C

σ

3.69

6.12

-

S

σ

4.24

6.42

0.99

C

π

3.14

5.16

0.19

S

π

3.51

5.36

-

N

σ

4.75

7.70

1.28

F

σ

7.91

11.30

-

N

π

3.64

6.17

0.50

F

π

5.49

8.75

-

P

σ

3.96

5.84

0.61

Cl

σ

5.39

7.17

-

P

π

3.29

4.77

0.38

Cl

π

4.04

5.92

-

Apéndice 3

Seguidamente se muestran algunos ejemplos de cálculo de manera detallada

1) CH3OH (metanol). Claves: hidrógeno hidroxílico: H1; hidrógeno metílico: H2. Todos los enlaces son σ.

Cargas iniciales: QH1<0> = QH2<0> = QO<0> = QC<0> = 0

Electronegatividades iniciales (de Tabla 1 para Q = 0): XσH(0) = 2.20; XσO(0) = 3.44; XσC(0) = 2.55

Primera etapa de transferencia de carga (ecuación 5)

Nuevas electronegatividades al cabo de la primera etapa de transferencia de carga (Tabla 1 para las cargas adquiridas en la primera etapa): XσH1(+0.110) = 2.44; XσH2(+0.037) = 2.28; XσO(–0.184) = 2.81; XσC(–0.036) = 2.46.

Segunda etapa de transferencia de carga (ecuación 6)

Cálculo de cargas finales (ecuación 7)

QH1 = +0.110 + 0.035 = +0.145

QH2 = +0.037 + 0.019 = + 0.056

QO = –0.184 –0.068 = –0.252

QC = –0.036 – 0.024 = –0.060

Verificación de la electroneutralidad molecular

QH1 + 3 QH1 + QO + QC = +0.145 + 3×0.056 – 0.252 – 0.060 = 0.001 (≅ 0)

2) H2CO (formaldehído). Todos los enlaces son σ, excepto uno de los enlaces C-O que es π.

Cargas iniciales: QH<0> = QO<0> = QC<0> = 0

Electronegatividades iniciales (de Tabla 1 para Q = 0): XσH(0) = 2.20; XσO(0) = 3.44; XπO(0) = 3.15; XσC(0) = 2.55; XπC(0) = 1.81

Primera etapa de transferencia de carga (ecuación 5)

Nuevas electronegatividades al cabo de la primera etapa de transferencia de carga (Tabla 1 para las cargas adquiridas en la primera etapa): XσH(+0.037) = 2.28; XσO(–0.209) = 2.72; XπO(–0.209) = 2.49; XσC(+0.136) = 2.90; XπC(+0.136) = 2.06

Segunda etapa de transferencia de carga (ecuación 6)

Cálculo de cargas finales (ecuación 7)

QH = +0.037 + 0.060 = +0.097

QO = –0.209 – 0.031 = –0.240

QC = +0.136 – 0.088 = +0.048

Verificación de la electroneutralidad molecular

2 QH + QO + QC = 2×0.097 – 0.240 + 0.048 = +0.002 (≅ 0)

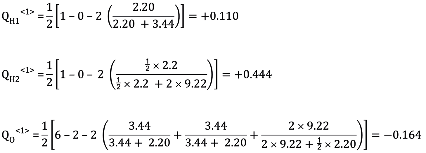
3) H3O+ (Ion hidronio). Claves: H: H1; H+: H2. El H2, se une el oxígeno mediante un enlace σ dativo H+ 🠔 O (H+ aceptor, O dador). Todos los enlaces son σ.

Cargas iniciales: QH1<0> = QO<0> = 0; QH2<0> = +1

Electronegatividades iniciales (de Tabla 1 para las cargas iniciales): XσH1(0) = 2.20; XH2σ,a(0) = 2.2; XσO(0) = 3.44; Xσ,dO(+1) = 9.22

Para enlaces dativos, en ecuaciones 5 y 6 las electronegatividades dadoras y aceptoras se consideran ½Xa y 2Xd (ver sección Enlaces dativos)

Primera etapa de transferencia de carga (ecuación 5)

Nuevas electronegatividades al cabo de la primera etapa de transferencia de carga (Tabla 1 para las cargas adquiridas en la primera etapa): XσH1(+0.110) = 2.44; XH2σ,a(+0.444) = 3.07; XσO(-0.164) = 2.88; Xσ,dO(-0.069) = 5.33.

Segunda etapa de transferencia de carga (ecuación 6)

Cálculo de cargas finales (ecuación 7)

QH1 = +0.110 + 0.041 = +0.151

QH2 = +0.444 + 0.374 = +0.818

QO = –0.164 + 0.043 = –0.121

Verificación de la carga catiónica

2 QH + QO + QC = 2×0.151+ 0.818 – 0.121 = +0.999 (≅ +1)

Estas cargas se asocian a cada uno de los tres contribuyentes (resonancia) de la molécula. Las cargas de la molécula corresponderán al promedio de acuerdo con el híbrido tal como se aclara en el texto.

4) OH (anión oxhidrilo). Un único enlace σ.

Cargas iniciales: QH<0> = 0; QO<0> = –1

Electronegatividades iniciales (de Tabla 1 para las cargas iniciales): XσH(0) = 2.20; XσO(–1) = 0

Primera etapa de transferencia de carga (ecuación 5)

Nuevas electronegatividades al cabo de la primera etapa de transferencia de carga (Tabla 1 para las cargas adquiridas en la primera etapa): XσH(–0.500) = 1.10; XσO(0) = 3.44.

Segunda etapa de transferencia de carga (ecuación 6)

Cálculo de cargas finales

QH = – 0.500 + 0.257 = – 0.243

QO = 0 – 0.758 = –0.758

Verificación de la carga aniónica

QH + QO = – 0.243 – 0.758 = -1.001 (≅ –1)

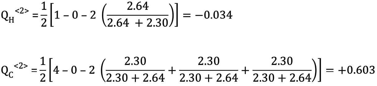
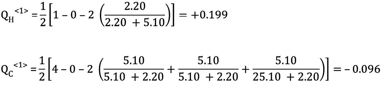
5) CH3+ (catión metilo). Todos enlaces σ.

En este caso, primero se calcula la carga del radical metilo (CH3)

Cargas iniciales: QH<0> = 0, QC<0> = +1

Electronegatividades iniciales (de Tabla 1 para las cargas iniciales): XσH(0) = 2.20; XσC(0) = 5.10

Primera etapa de transferencia de carga (ecuación 5)

Nuevas electronegatividades al cabo de la primera etapa de transferencia de carga (Tabla 1 para las cargas adquiridas en la primera etapa): XσH(+0.199) = 2.64; XσC(–0.96) = 2.30

Segunda etapa de transferencia de carga (ecuación 6)

Cálculo de cargas finales (ecuación 7)

QH = +0.199 – 0.034 = +0.165

QC = –0.096 + 0.603 = +0.507

Verificación de la carga catiónica

3 × QH + QC = 3×(+0.165) + 0.507 = +1.002 (≅ +1)

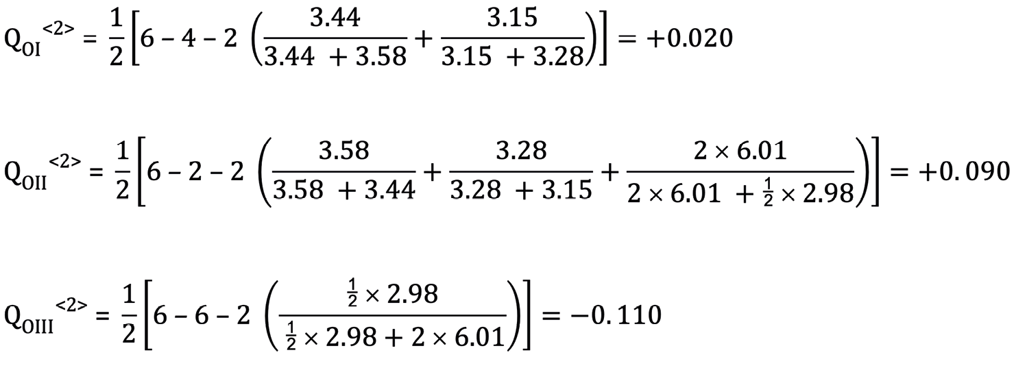
6) O3 (ozono).

Claves para una estructura contribuyente:

Un enlace σ, un enlace π y un enlace σ dativo (solo para este último enlace se consideran las cargas formales como cargas iniciales)

Cargas iniciales: QOI = 0; QOII = 0; QdOII = +1; QaOIII = –1

Electronegatividades iniciales (de Tabla 1 para las cargas iniciales): XσOI(0) = XσOII(0) = 3.44; XπOI(0) = XπOII(0) = 3.15; XOIIσ,d(+1) = 9.22; XOIIIσ,a(–1) = 1.52.

Primera etapa de transferencia de carga (ecuación 5)

Nuevas electronegatividades al cabo de la primera etapa de transferencia de carga (Tabla 1 para las cargas adquiridas en la primera etapa): XσOI(0) =3.44; XσOII(+0.040) = 3.58; XπOI(0) = 3.15; XπOII(+0.40) = 3.28; XOIIσ,d(+0.040) = 6.01; XOIIIσ,a(–0.040) = 2.98.

Segunda etapa de transferencia de carga (ecuación 6)

Cálculo de cargas finales (ecuación 7)

QOI = 0 + 0.020 = +0.020

QOII = +0.040 + 0.090 = +0.130

QOIII = –0.040 – 0.110 = –0.150

Verificación de la carga catiónica

QOI + QOII + QOIII = +0.020 + 0.130 – 0.150 = 0

Ver en el texto las cargas de la molécula de acuerdo con el híbrido de resonancia.

Apéndice 4

Dado un enlace AB de longitud dAB y cuya polaridad se puede asociar a las respectivas cargas atómicas Aq+ y Bq- (donde q se expresa en unidades del valor absoluto, e, de la carga del electrón), el momento dipolar (expresado en debyes, D) será m(A+➞B) = q×d/0.208 (expresión en la que se empleó la equivalencia e×Å = 0.208 D).

El momento dipolar (μE) resultante de la suma vectorial de los momentos dipolares de enlace, se calcula con base a la geometría molecular. Por ejemplo, para moléculas angulares AB2, y piramidales AB3 y tetraédricas (AB3E y AB2E2) la Figura A4.1 describe las relaciones angulares entre enlaces.

Para moléculas AB2,

μE = 2×μ(A-B)×cos θ

(A4.1)

Para moléculas AB3,

μE = 3×μ(A-B)×cos α

(A4.2)

donde

α = arcsen [sen (1/2 θ)/cos 30o)]

(A4.3)

Para moléculas AB3E,

μE = 3´×μ(A-B)×cos α ± μ(A-E)

donde el signo ± indica que la elección de suma o resta depende del sentido relativo de μ(A-E) y 3×μ(A-B).

Para moléculas AB2E2

μE = 2×μ(A-B)×cos θ ± 2×μ(A-E)×cos β

donde el signo ± indica que la elección de suma o resta depende del sentido relativo de 2×μ(A-B) y 2×μ(A-E).

Figura A4.1. Ángulos relevantes en moléculas AB2 y AB3, AB3E y AB2E2.

Apéndice 5

Los orbitales que son híbridos, h, de orbitales s y p, tienen la forma (adaptado de Pauling, 1965, pp. 122-124)

h = xs1/2 s + xp1/2 p

(A5.1)

donde xs da el carácter (fracción de contribución) s y xp da el carácter p del orbital híbrido (xs + xp = 1), y el cociente de ambos se relaciona con el ángulo q que forman los orbitales h de acuerdo con la ecuación

–cos θ = xs/xp = m

(A5.2)

de donde se puede deducir que

xs = m/(1 + m)

(A5.3)

xp = 1 – xs = 1/(1 + m)

(A5.4)

la Tabla A5.1 da los valores correspondientes a los híbridos spn (%s y %p son las contribuciones porcentuales de los orbitales s y p, respectivamente).

Tabla A5.1. Contribuciones de orbitales atómicos a los híbridos según los ángulos de enlace correspondientes a las hibridaciones spn.

orbital híbrido h

q (o)

xs

xp

%s = 100 xs

%p = 100 xp

sp3

109.471

1/4

3/4

25

75

sp2

120

1/3

2/3

33.3

66.7

sp

180

1/2

1/2

50

50

Cuando los ángulos de enlace se alejan de los valores estándar para el correspondiente orbital híbrido, el carácter s y p (ecuaciones A5.3 y A5.4) de los orbitales híbridos involucrados se apartan de los valores de la Tabla A5.1. Por ejemplo, si para una hibridación ideal sp3, el ángulo q disminuye, aumenta la contribución del orbital θ. En el caso límite dado por q = 90o, la contribución es 100 % del orbital p, lo cual equivale a orbitales p puros mutuamente ortogonales (los 4 híbridos sp3 se transforman en un orbital s y 3 orbitales p; lo que significa la intervención de orbitales atómicos puros y la ausencia de hibridación).

En caso de existir pares de electrones libres en un átomo que forma nE enlaces, el carácter s de los orbitales híbridos que alojan los pares libres (xsL) está dado por

xsL = (1 – nE xsE)/(4 – nE)

(A5.5)

y el carácter p (xpL) será

xpL = 1 – xsL = (3 – nE + nE xsE)/(4 – nE) = (3 – nE xpE)/(4 – nE)

(A5.6)

en donde xsE y xpE son las contribuciones de los orbitales s y p, respectivamente, a los orbitales que forman enlaces.

Finalmente, con la ecuación A5.2 es posible calcular el ángulo formado por los orbitales híbridos que alojan pares de electrones libres. Por ejemplo, para el caso del H2O (θ = 104.5o), con las ecuaciones A5.2-A5.4, se obtiene xsE = 0.20; xpE = 0.80; xsL = 0.30; xpL = 0.70. Con los dos últimos valores, aplicando la ecuación A5.2, se obtiene m = 0.30/0.70 = 0.43, lo que corresponde a un ángulo qL de 115o para los orbitales híbridos que alojan los pares de electrones (un cálculo sofisticado de la química cuántica –Levine, 2001, p. 501– arroja un valor de 114o). Este ángulo qL permite expresar el momento dipolar debido a dos pares libres, μL(2), en función del momento dipolar de uno de los pares libres, μL(1), según

μL(2) = 2μl(1)cos (1/2θL)

(A5.7)



Recepción: 2024-12-12. ▪ Aceptación: 2025-03-23.

Cómo citar:

Andrade-Gamboa, J. (2025, julio-septiembre). Una formulación para calcular cargas atómicas en moléculas. Educación Química, 36(3). https://doi.org/10.22201/fq.18708404e.2025.3.90523


[a] Centro Regional Universitario Bariloche. Universidad Nacional del Comahue, Argentina.

1 No hay propiedad observable asociada de manera directa a una carga parcial, por lo tanto, no hay valores experimentales absolutos con los cuales comparar.

2 Estos cálculos consisten en la minimización energética de funciones de onda moleculares que se construyen a partir de la combinación de orbitales atómicos.

3 En el presente trabajo se empleará el punto decimal en lugar de la coma decimal.

4 La definición rigurosa de momento dipolar molecular tiene en cuenta que la carga negativa no es un conjunto de cargas discretas sino una distribución continua (Levine, 2001, p. 413).

5 Más aún, los valores de cargas parciales derivados de estos métodos no suelen reproducir el valor del momento dipolar calculado por el mismo método.

6 Para dar chance de extender el efecto a distancias mayores dentro de una molécula se puede considerar más de las dos etapas de transferencia en la formulación dada por las ecuaciones 5-7, pero resulta más simple para un cálculo manual aplicar electronegatividades de grupos, como alternativa, tal como hace más adelante.

7 https://www.molinstincts.com/image/Chloroethane-img-CT1002269490.html (imagen inmediatamente después del título “3D Molecular Surface Images of Chloroethane”).

8 https://www.molinstincts.com/image/VINYL-CHLORIDE-img-CT1000723308.html (imagen inmediatamente después del título “3D Molecular Surface Images of VINYL CHLORIDE”).

9 Esta ecuación es solamente válida para moléculas en las que los átomos unidos al átomo central son idénticos.

10 http://mason.gmu.edu/~sslayden/lec/313/lessons/questions-chap-2.htm

11 Figura 1 en https://www.researchgate.net/figure/Electrostatic-potential-maps-for-the-electrostatic-positive-regions-of-monomers-on-the_fig1_308898191