Enlazando escalas en un reactor químico: de la microescala a la simulación global

Sergio Antonio Baz-Rodríguez[a], Ángel Zitlalpopoca-Soriano[a] y Julio Sacramento-Rivero[a]


Resumen

Este artículo discute los elementos, la descripción matemática y las herramientas de cómputo empleadas para el estudio y diseño de reactores químicos, haciendo énfasis en reactores agitados continuos. Se describen cinco escalas jerárquicas: microescala, mesoescala, macroescala, escalas simplificadas y planta de proceso. En las tres primeras escalas (nivel de fluidos), el análisis suele realizarse con dinámica de fluidos computacional, lo que permite obtener información sobre la influencia de la geometría del equipo, la distribución del mezclado, el intercambio de calor y las pérdidas de energía mecánica en superficies fijas o móviles. En cambio, para las escalas simplificadas y la planta de proceso se emplean simuladores de procesos químicos (nivel de unidad o módulo), útiles para el dimensionamiento general desde la ingeniería de procesos. El tránsito entre ambos enfoques puede implicar la pérdida de información relevante; por ello, se discuten alternativas para su integración. Este panorama integral, concebido como un “zoom inverso”, ofrece una visión completa de los fenómenos de transporte, la simulación computacional y la ingeniería de procesos en el análisis de reactores químicos.

Palabras clave:

reactores, simulación, fluidos, ingeniería, procesos.


Linking Scales in a Chemical Reactor: From the Microscale to Global Simulation

Abstract

This article discusses the elements, mathematical description, and computational tools used for the study and design of chemical reactors, with an emphasis on continuous stirred reactors. Five hierarchical scales are described: microscale, mesoscale, macroscale, simplified scales, and process plant. At the first three scales (fluid level), analysis is usually carried out through computational fluid dynamics, providing insights into the influence of equipment geometry, mixing distribution, heat transfer, and mechanical energy losses on fixed or moving surfaces. In contrast, for simplified scales and the process plant, chemical process simulators are employed (unit or module level), which are useful for general sizing from a process engineering standpoint. The transition between these two approaches may entail the loss of relevant information; therefore, alternatives for their integration are discussed. This comprehensive overview, conceived as a “reverse zoom,” offers an integrated vision of transport phenomena, computational simulation, and process engineering in the analysis of chemical reactors.

Keywords:

reactors, simulation, fluids, engineering, processes.




Reactores químicos y paradigmas en ingeniería química

Los reactores químicos son equipos fundamentales para la industria de la transformación de la materia, ya que se emplean para producir diversas sustancias de interés para la humanidad a partir de la transformación química de otras sustancias, llamadas reactivos. Se trata de «recipientes» instrumentados que deben contener la mezcla de reactivos, facilitar la disponibilidad y el contacto molecular de las especies químicas que conforman dicha mezcla, y mantener las condiciones de mezclado y operación (temperatura y/o presión) en su interior. El cumplimiento de estas funciones favorece los cambios energéticos en las moléculas de reactivos que llevan a la generación de productos.

Más allá de que las funciones de un reactor sean conceptualmente claras, la ingeniería química debe describirlas cuantitativamente. Para ello se sirve de la modelación matemática, la cual, a grandes rasgos, implica: i) definir el problema, ii) identificar los factores y mecanismos implicados, iii) desarrollar un conjunto de ecuaciones descriptivas (modelo), iv) encontrar e implementar un procedimiento de solución y v) validar el modelo con datos conocidos del problema (Jaworski y Zakrzewska, 2011). Los primeros tres pasos están ligados a las propiedades y la escala del problema, en tanto que los últimos dos se relacionan con la capacidad de cálculo y la viabilidad del modelo.

A lo largo del desarrollo de la ingeniería química, la modelación matemática, el análisis y el diseño de reactores químicos han estado inscritos en sus dos paradigmas históricos dominantes:

a. Modelos simplificados (1960-1980). Las ecuaciones de conservación para el transporte de calor y especies químicas, consistentes en ecuaciones diferenciales parciales no lineales con dependencia del tiempo y la posición espacial, se reducen a formas sencillas (véase la Tabla 1). Para ello se hacen consideraciones de flujo unidireccional, mezclado perfecto o disparidad de escalas en los equipos de proceso, entre otras. Como resultado, la descripción matemática queda en forma de ecuaciones algebraicas o ecuaciones diferenciales ordinarias de primer orden, solucionables analítica o numéricamente sin altos requerimientos computacionales. Este enfoque también facilita el planteamiento y análisis de interconexiones entre múltiples equipos en la escala de la planta.

b. Modelos computacionales (1990-actualidad). El incremento de las capacidades de cómputo y el desarrollo de métodos numéricos avanzados abren la posibilidad de resolver sistemas tridimensionales complejos y realistas representados por ecuaciones de conservación para transporte de momentum, calor, especies químicas, turbulencia y/o flujo multifásico. Para el caso de los reactores químicos es viable el estudio detallado de patrones no ideales de flujo, así como los efectos de la geometría y la agitación en el reactor. Por otra parte, tratándose de los modelos simplificados mencionados en el inciso anterior, se ha extendido la capacidad de cómputo numérico, ahora involucrando propiedades termodinámicas variables de sustancias reales, múltiples reacciones, cinéticas complejas, reacción y separación simultáneas, integración de calor en la escala de planta u otras fuentes de complejidad.

Las dos etapas por las que pasa el paradigma vigente de la ingeniería química facilitan el diseño y análisis de reactores químicos desde dos perspectivas: 1) las diferentes escalas espaciales asociadas a los procesos que se llevan a cabo en ellos y 2) la capacidad de cálculo y el grado de detalle requerido para estudiarlos. En la siguiente sección se expone con mayor detalle esta idea usando como referencia un reactor agitado continuo.

El reactor químico: entre escalas y herramientas de cálculo

La ingeniería química es de estructura jerárquica (Kwauk, 2007), esto es, lo que sucede en las escalas espaciales más pequeñas dentro de un equipo de proceso (microescala), incide hasta escalas mayores (macroescala). Sin embargo, analizar el funcionamiento de un reactor desde la perspectiva de lo detallado requiere un esfuerzo de cálculo elevado en tanto que los modelos simplificados de macroescala requieren menos esfuerzo de cálculo, pero podrían ignorar información importante de las escalas menores. La vinculación o acoplamiento entre escalas es un desafío en términos de reducción de grados de libertad (abstracción) y en términos de computación eficiente (implementación) (Wehinger et al., 2022). Por tal razón, la ingeniería química debe aplicar un enfoque multiescalar a partir de una comprensión clara de cómo se relacionan los fenómenos a menor escala con las propiedades y el comportamiento a mayor escala (Charpentier, 2009), pero de la manera más sencilla posible.

La Figura 1 disecciona las escalas espaciales y temporales de un reactor agitado continuo, el cual servirá como referencia para presentar una descripción multiescala. En este tipo de reactores se alimenta una corriente continua que lleva reactivos, y al ingresar a la cámara de reacción una parte o la totalidad es éstos se convierten en productos gracias al mezclado provisto por la agitación mecánica y el control de las condiciones operativas de temperatura, presión y flujo volumétrico. La corriente de salida lleva consigo la mezcla con productos para una posterior etapa de separación o disposición final. La operación de este equipo vista a manera de un ‘zoom inverso’ consta de los siguientes niveles: 1) microescala/mesoescala, 2) macroescala, 3) escalas simplificadas y 4) planta de proceso.

Microescala/mesoescala

Desde el punto de vista de la ingeniería química tradicional, los fluidos suelen describirse como un material continuo, es decir, se considera que la materia está presente en todos los puntos del espacio de forma ininterrumpida. La escala espacial a la cual esta consideración es razonable debe ser mucho mayor al tamaño y desplazamiento promedio de moléculas individuales, lo cual puede cumplirse a partir de escalas micrométricas (>10-6 m) (ver Figura 1).

Figura 1. Niveles jerárquicos de escala para el análisis y diseño de un reactor agitado continuo.

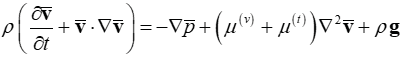
Los procesos que interesan a la ingeniería química (reacciones químicas, separación de especies químicas) tienen lugar fundamentalmente en la microescala y para que sucedan las moléculas deben interactuar por efecto del movimiento del fluido. Los mecanismos que permiten que esto suceda son descritos por las ecuaciones de Navier-Stokes (perfiles de velocidad y presión) y ecuaciones de conservación de especies químicas y calor (perfiles de concentración y temperatura), junto con la ecuación de continuidad (balance de masa). Estas ecuaciones tienen características que, para casos realistas (múltiples variables dependientes, derivadas parciales, términos no lineales y variaciones en espacio y tiempo), hacen necesaria la implementación de métodos numéricos avanzados para resolverlas. Además, bajo condiciones de flujo muy inerciales y con variaciones de las variables dependientes en escalas de tiempo y espacio muy pequeñas, se genera turbulencia (remolinos locales o flujo desordenado) y procesos de dispersión (fluctuaciones de corto alcance) de especies químicas y calor en esas escalas. Esto hace que se requieran i) capacidades de cálculo muy elevadas o ii) estrategias de modelación que ‘promedien’ o ‘suavicen’ estas ecuaciones en esas micro- y meso-escalas de turbulencia y reduzcan las capacidades de cálculo requeridas.

El análisis de los procesos que tienen lugar en la microescala y mesoescala permite conocer de forma muy detallada lo que sucede dentro de los reactores químicos, pero todavía desde una perspectiva de física de fluidos, sin llegar aún a la visión de la ingeniería ni al funcionamiento global de estos equipos. Permite conocer grados de mezclado, características de turbulencia y perfiles de velocidad, concentración y temperatura, pero a un nivel local. Particularmente en las mesoescala es posible identificar remolinos y estructuras coherentes (flujos estructurado recurrente) producto de la turbulencia y perturbaciones de flujo (ver Figura 1). En el caso de sistemas con flujos de una sola fase las longitudes características de la microescala y la mesoescala son complejas de delimitar, pues se interrelacionan con el tamaño del sistema, las características de las fuerzas motrices para cada tipo de transporte, las velocidades características de flujo y las propiedades fisicoquímicas de la fase. Sin embargo, generalmente estas longitudes se asocian al tamaño de los remolinos o estructuras de turbulencia que se encuentran en un flujo, o a las longitudes características en que ocurren gradientes dentro de ellas (Chakraborty y Balakotaiah, 2005).

Computacionalmente, el estudio de fenómenos de transporte de momentum, especies químicas y calor en la micro- y meso-escala se fundamenta en ‘solucionadores’ de sistemas de ecuaciones diferenciales parciales (ver Tabla 1). Se trata de programas de computadora que implementan métodos numéricos avanzados para resolver ecuaciones acopladas que tienen la ‘forma’ particular de las ecuaciones de conservación de fenómenos de transporte. Si bien estas ecuaciones son continuas, su solución numérica parte de fragmentar el dominio creando lo que se conoce como una malla espacial, lo que es equivalente a dividir el espacio en puntos o regiones (como un rompecabezas). Después se resuelve en cada uno de ellos preferentemente una forma algebraica aproximada (no diferencial) de las ecuaciones de conservación acopladas con los puntos o regiones vecinas (ver Figura 2), de forma iterativa hasta que el error entre la solución es suficientemente pequeño con respecto a la solución de la iteración previa. A estos programas se les conoce como dinámica de fluidos computacional.

Figura 2. Discretización de dominios para la solución de problemas de fenómenos de transporte.

Las estrategias computacionales específicas que se emplean para simular la micro- y meso-escala en el interior de flujos reactivos pueden catalogarse como simulación numérica directa (para flujos locales no turbulentos con ecuaciones de conservación) o simulación numérica promedio (para flujos turbulentos o dispersivos con modelos ‘suavizados’); los modelos más empleados para este último caso son las ecuaciones de Navier-Stokes promediadas por Reynolds (RANS por sus siglas en inglés) y los modelos de dispersión para transferencia de calor y especies químicas (ver Tabla 1). Existen diferentes paqueterías computacionales comerciales o libres de dinámica de fluidos computacional con capacidad de analizar estos flujos (Fluent, Comsol, OpenFoam, etc.). Para regiones geométricas sencillas su implementación no requiere elevadas capacidades de cómputo y proporciona información detallada de fenómenos de transporte dentro de un contexto de física de fluidos.

Macroescala

Los reactores químicos convencionales tienen dimensiones en escalas del orden de magnitud de los centímetros hasta las decenas de metros (10-2 – 101 m). Al considerarse equipos completos, sus tamaños corresponden a magnitudes de macroescala. Para analizarlos deben considerarse las fronteras físicas que i) los delimitan (paredes de contención), ii) los comunican al exterior (entradas y salidas) y iii) ejercen una función de transporte (paredes para intercambio de calor o móviles para agitación).

Considérese un reactor continuo para flujos homogéneos (líquido o gas) con agitación mecánica, visto como un sistema en la macroescala (ver Figura 1). Esto equipos tienen un flujo de alimentación y un flujo de salida continuos, y el interior cuenta con impulsores que rotan y proveen agitación mecánica para lograr el mezclado. Computacionalmente, para su descripción pueden usarse los mismos ‘solucionadores’ de dinámica de fluidos computacional que se emplean para la microescala, dependiendo de si se presentan flujos laminares o turbulento-dispersivos. Sin embargo, deben incorporarse fronteras abiertas delimitadas (flujos de entrada y salida), interfaces fluido-sólido (paredes fijas) y regiones móviles o dinámicas de su malla discretizada (zonas adyacentes a las paredes móviles de sus impulsores) (ver Figura 3). Además, para análisis más completos, puede incorporarse la transferencia de calor a través de sus paredes hacia o desde el exterior o algún fluido circundante.

Figura 3. Regiones y fronteras geométricas en un reactor agitado continuo.

En la escala de un reactor completo, bajo la perspectiva de dinámica de fluidos computacional, es posible determinar la distribución del grado de mezclado dentro del equipo, la potencia proporcionada al impulsor rotatorio, los perfiles de concentración de reactivos y productos y sus promedios en la corriente de salida, entre otros aspectos. Es la forma más completa de analizar la operación de un equipo reactivo, pero a la fecha aún requiere de capacidades de cómputo considerables, de modo que no siempre está al alcance de un laboratorio de simulación para docencia. Sin embargo, su uso es cada vez más extendido tanto en el contexto de investigación como en la industria, existiendo reportes que comparan las predicciones de este enfoque con respecto a mediciones experimentales con una excelente correspondencia (Bakker et al., 2001; Choi et al., 2004; Rajavathsavai et al., 2014).

El manejo de las paqueterías de cómputo asociadas al enfoque de macroescala desde el nivel de fluidos varía en grado de complejidad, pero existen fuentes en la literatura educativa de ingeniería química (libros, artículos y sitios web) con tutoriales y ejemplos de solución que pueden consultarse como ayuda para incorporarlas en cursos de ingeniería de reactores (Bakker et al., 2001; Baz-Rodriguez et al., 2025; Chaurasia, 2022; Madeira et al., 2004; Martin, 2020).

Macroescalas simplificadas

El enfoque de análisis presentado para la macroescala de un reactor agitado continuo mediante dinámica de fluidos computacional ha sido accesible apenas en décadas recientes. Sin embargo, como ya se ha puntualizado, la ingeniería de reactores químicos es parte de la ingeniería química desde hace más de seis décadas, de modo que es un área ampliamente explorada, pero bajo un enfoque de escalas simplificadas. Esta perspectiva constituye la base de los modelos simplificados que ya se introdujeron, a muy grandes rasgos, en la primera sección de este artículo.

En el caso particular de un reactor agitado continuo, la perspectiva de modelos simplificados considera que no existen gradientes (o cambios) espaciales en las variables de interés (concentración, temperatura, velocidad y/o presión), lo cual solo podría lograrse si hubiera un mezclado perfecto. Así, lo que estrictamente debería representarse como un sistema tridimensional con variaciones espaciales en su interior se convierte geométricamente en un punto por el que pasa un flujo y experimenta una transformación material (reacción química) (véase la Figura 1).

En la literatura de ingeniería química se han reportado numerosos estudios que comparan las predicciones de este enfoque con respecto a mediciones experimentales (Bar-Eli y Noyes, 1986; Burghardt y Lipowska, 1972; Epstein, 1995). El modelo de mezcla perfecta (ideal) predecirá siempre una conversión de reactivo mayor que la experimental, la cual solo se aproximará al comportamiento ideal en la medida en que se presenten las condiciones indicadas en el párrafo anterior.

La representación matemática de la operación de un reactor agitado continuo bajo el enfoque de mezclado perfecto facilita enormemente su diseño y análisis. Es relativamente “sencillo” estudiar la ocurrencia de una o más reacciones químicas simultáneas, las implicaciones de la operación transitoria (dependiente del tiempo) sobre la estabilidad y la multiplicidad de resultados de salida, así como el acoplamiento de efectos térmicos y cinéticas de reacción complejas, entre otros aspectos. En este punto, el alcance del análisis y diseño deja de considerar el detalle que puede proporcionar el análisis riguroso de los fenómenos de transporte en la micro y mesoescala, así como el diseño geométrico y operativo del equipo en la macroescala, y pasa al terreno de la ingeniería de procesos, la cual se centra en valorar los cambios entre corrientes de entrada y salida de equipos mediante modelos simplificados.

Los modelos matemáticos resultantes de la consideración de mezclado perfecto en un reactor agitado continuo pueden expresarse como sistemas de ecuaciones algebraicas o ecuaciones diferenciales de primer orden (caso transitorio). El cómputo necesario para resolver estas ecuaciones abarca desde operaciones “a mano” o con calculadoras (una sola reacción con cinética sencilla) hasta la implementación computacional de métodos numéricos clásicos (Newton-Raphson, Runge-Kutta, diferencias finitas) para sistemas de ecuaciones algebraicas o diferenciales (reacciones múltiples, operación transitoria, efectos térmicos).

Computacionalmente, la solución de las ecuaciones de diseño puede implementarse de forma relativamente sencilla mediante programación (Matlab, Python, etc.) o mediante programas de análisis algebraico y numérico (SMath Studio, Mathcad, Maple, etc.), en ambos casos con alternativas comerciales y libres. Sin embargo, en este punto ya es posible emplear programas especializados de ingeniería química, los cuales son la base de la ingeniería de procesos y reciben convencionalmente el nombre de simuladores de procesos químicos.

Los simuladores de procesos químicos permiten dimensionar y analizar equipos de ingeniería química aproximando su comportamiento con modelos simplificados, y constituyen herramientas básicas de la ingeniería de procesos para fines docentes, de investigación o industriales. Para el estudio de reactores individuales requieren capacidades de cómputo moderadas y existen alternativas tanto comerciales como libres (Aspen Plus, Hysys, DWSIM, Chemkin, etc.).

Como apoyo a la enseñanza, diversas fuentes de la literatura educativa de ingeniería química (libros, artículos y sitios web) proporcionan herramientas computacionales y ejemplos de solución bajo el enfoque académico de macroescalas simplificadas, tanto desde la perspectiva de programación como desde la de simulación de procesos. Los autores de este artículo consideran útil el empleo de este tipo de fuentes como complemento en cursos de ingeniería de reactores (Agudelo y Barrera Zapata, 2015; Fogler, 2020; Jurković, 2021; Martin, 2020; Peng y Jimenez, 2019; Python Textbook Companion, 2008).

Enlazando escalas en el diseño y análisis de reactores químicos

Pasar del análisis detallado que proporciona la dinámica de fluidos computacional para un equipo en la macroescala a la información aproximada que se obtiene en ingeniería de procesos asistida por computadora (escalas simplificadas con simuladores de procesos químicos) implica una pérdida de información. Esto es entendible, pues en el primer caso se desarrollan simulaciones a nivel del fluido, mientras que en el segundo caso se realizan aproximaciones a nivel del proceso global (Jaworski y Zakrzewska, 2011; Li, 2013). En el interior de un reactor agitado continuo difícilmente se alcanza el mezclado perfecto; además, el intercambio de calor con el exterior tampoco suele ser uniforme.

La simplificación de mezclado perfecto no permite una adecuada representación de sistemas reactivos con fluidos muy viscosos, con mecanismos de agitación (impulsores) de tamaño pequeño en relación con el volumen de fluido a mezclar, con velocidades de agitación moderadas y/o con geometrías de reactor carentes de bafles o redistribuidores de flujo eficientes. Estas condiciones propician: i) el estancamiento de fluido en regiones lejanas al agitador y cerca de los bordes del equipo; ii) canalizaciones (salida muy “pronta” de elementos de fluido que ingresan al equipo y se dirigen directamente a la salida, sin un tiempo de residencia significativo); iii) ciclos de recirculación (“atrapamiento” de fluido en torno a bucles cerca de los impulsores), y iv) movimiento limitado del fluido cerca de las paredes (ver Figura 4).

Figura 4. Patrones no ideales de flujo en un reactor agitado continuo [reimpreso con autorización del autor (Tiscareño-Lechuga, 2008)].

Los pioneros de la ingeniería de reacciones químicas eran conscientes de las limitaciones de ignorar los patrones de flujo no ideales que ocurren dentro de los reactores. Por lo tanto, y ante la falta de herramientas computacionales adecuadas, idearon dos ingeniosas formas de “corregir” el modelo aproximado de mezcla perfecta (Levenspiel, 1999) para recuperar, en la medida de lo posible, la información omitida:

a. Modelos de distribución de tiempos de residencia. Requieren caracterizar la distribución de probabilidad de que los elementos de fluido permanezcan diferentes cantidades de tiempo dentro de un reactor continuo. Para ello se utiliza una sustancia “trazadora” diluida, no reactiva, que puede inyectarse a la entrada y cuya concentración se monitorea a la salida. Así, el comportamiento del reactor “real” puede describirse como la ponderación operativa de todos los elementos de fluido, como si fueran “pequeños reactores cerrados” que transitan durante distintos tiempos a través del reactor continuo (modelo de flujo segregado).

b.Modelos de compartimentalización del flujo. El interior del reactor se “fragmenta” o divide en varios reactores continuos interconectados, dependiendo de la estructura de los patrones de flujo que se conozca o se espere que sucedan dentro. Estos “compartimentos” internos pueden definirse como reactores agitados continuos, reactores de flujo pistón (variación a lo largo de un eje) o zonas de estancamiento (sin reacción química). En conjunto, tras el paso dividido del flujo por múltiples compartimentos, la salida del reactor puede reflejar el comportamiento de equipos reales (Haag et al., 2018).

Estas dos aproximaciones buscan recuperar información sobre las estructuras y patrones reales de flujo que ocurren dentro de un reactor químico. Sin embargo, los casos abordados deben vincularse con condiciones específicas de equipos experimentales particulares y requieren insumos de información que deben obtenerse de pruebas experimentales. Además, los cálculos relativos al intercambio de calor y a las pérdidas de energía por agitación y caídas de presión suelen realizarse a partir de correlaciones empíricas para coeficientes de película y de fricción. Por lo tanto, aun con su practicidad, estas aproximaciones tienen limitaciones como herramientas predictivas. Es probable, sin embargo, que dichas limitaciones se reduzcan en el futuro con la integración de herramientas como la inteligencia artificial y el análisis de sistemas dinámicos (Ochoa-Tapia et al., 2025; Raponi y Nagy, 2025), entre otras estrategias, lo que potenciará su utilidad práctica.

Un enfoque relativamente reciente busca combinar las ventajas de la dinámica de fluidos computacional para un equipo en la macroescala y los modelos de escalas simplificadas con simuladores de procesos químicos. A la integración de la modelación numérica de ambos tipos de herramientas computacionales se le ha denominado “ingeniería de procesos computacional” o co-simulación. El flujo de información puede lograrse ya sea enlazando ambos tipos de software con un programa “puente” compatible, o bien realizando la dinámica de fluidos computacional como base para preparar e incorporar módulos definidos por el usuario en programas de simulación de procesos químicos (Gayer et al., 2010; Jaworski y Zakrzewska, 2011; Vaquerizo y Cocero, 2018; Zitney y Syamlal, 2002). Resulta particularmente conveniente detallar, a partir de la dinámica de fluidos computacional, el diseño y análisis de reactores químicos bajo el enfoque de ingeniería de procesos, incorporando información sobre flujo, transporte de calor y especies químicas, así como sobre efectos geométricos (Ouyang et al., 2022).

Planta de proceso

En la escala de una planta completa, el enfoque para realizar diseño y análisis de proceso suele llevarse a cabo con la ayuda de simuladores de procesos químicos bajo una estrategia orientada a lo modular (Martin, 2020). El conjunto de elementos que componen una planta de proceso se divide en módulos o bloques, los cuales corresponden a unidades individuales o partes de ellas; cada módulo se describe por modelos simplificados separados y acoplados a través de las corrientes de materia o energía que los interconectan (Jaworski y Zakrzewska, 2011). Visualmente, los procesos se representan mediante diagramas, los cuales, aunque implican dimensiones físicas, no representan gráficamente alguna escala espacial (ver Figura 1).

La ingeniería de procesos asistida por computadora muestra su mayor utilidad cuando se analizan y diseñan procesos que implican múltiples unidades, entre mezcladores, reactores, separadores, intercambiadores de calor e impulsores de fluidos. Permite una visión global a la escala de planta y de flujos entre unidades. Los simuladores de procesos químicos también pueden incorporar en este nivel herramientas para realizar la integración de las corrientes de calor (mover el calor de una corriente hacia otra que requiere calentarse, o viceversa), el análisis tecnoeconómico y costeo, así como estrategias de optimización y/o control en la escala del proceso global.

Alcance y requerimientos del análisis multiescala de reactores químicos

Las simulaciones a nivel de fluido que describen a un reactor químico desde la micro- hasta la macroescala se asocian a regiones espaciales (2D, 3D), y sus modelos matemáticos fundamentales (ecuaciones de Navier-Stokes y de conservación de calor y especies químicas) surgen de balances de materia y energía ‘puntuales’, de modo que describen lo que sucede en cada punto del sistema. Por otra parte, las simulaciones a nivel de unidades o módulos (escalas simplificadas y planta), propias de la ingeniería de procesos, surgen de balances globales entrada-salida, y sus modelos no suelen implicar regiones espaciales, sino cambios ‘súbitos’ descritos por ecuaciones de diseño.

En cada tipo de simulación, las herramientas computacionales suelen incluir datos o modelos de diferentes grados de complejidad que permiten determinar propiedades termofísicas y termoquímicas, así como límites para el equilibrio de reacciones químicas. En la Tabla 1 se sintetizan los diferentes modelos matemáticos generales, su escala de aplicación y sus capacidades y limitaciones generales. Por simplicidad, para las ecuaciones a nivel de fluidos se presenta solo la forma correspondiente a flujo incompresible, propiedades constantes y difusión binaria o diluida de especies químicas. Las demás consideraciones que implican se indican en la misma tabla.

El diseño y análisis de reactores químicos debe implicar un flujo de información hacia niveles de escala superiores (Ouyang et al., 2022). Esto es particularmente crucial cuando se pasa de la macroescala a las escalas simplificadas, pues implica pasar de la descripción del flujo a la descripción de la unidad o módulo, pudiéndose perder información valiosa relativa a efectos de geometría, distribución del mezclado, intercambio de calor en paredes y pérdidas de energía mecánica en paredes fijas o móviles (ver Tabla 2). En este sentido, la ‘ingeniería de procesos computacional’, o co-simulación, es un área pertinente que continúa en desarrollo.

Conclusiones

En el contexto didáctico, la currícula tradicional de ingeniería química suele aplicar una transición abrupta entre la ciencia de la ingeniería, fundamentada en fenómenos de transporte, y la ingeniería de procesos, centrada en ingeniería de reactores y procesos de separación. Se pasa del abordaje de ecuaciones de conservación y sus implicaciones espaciales al uso de ecuaciones de diseño con su lógica puntual de entrada-salida en los equipos, sin una visión multiescalar de dicha transición (Chakraborty y Balakotaiah, 2005; Laín y Gandini, 2023).

La practicidad del enfoque de ingeniería de procesos es entendible como una primera aproximación didáctica y comprensible en el entorno tecnológico en el cual surgió en la segunda mitad del siglo XX. Además, facilita el análisis a nivel de módulo o unidad de reactores químicos, proporcionando una perspectiva aproximada de su funcionamiento. Sin embargo, en la actualidad es conveniente incluir aspectos de dinámica de fluidos computacional en asignaturas de fenómenos de transporte e ingeniería de reactores, pues esto permite visualizar las implicaciones espaciales y operativas que los modelos simplificados no pueden describir (Baz-Rodriguez et al., 2025).

Particularmente, el desarrollo actual de reactores multifuncionales y de configuraciones especializadas, en el marco de la intensificación de procesos, requiere del detallado geométrico y operativo para su diseño (Ouyang et al., 2022). Los autores consideran que este artículo de interés general en ingeniería química puede ser de ayuda para contextualizar a estudiantes, profesores y profesionistas en las implicaciones del análisis multiescalar en ingeniería de reactores químicos, que es extensible a otros procesos de la misma disciplina.

Tabla 1. Modelos matemáticos para reactores químicos a diferentes escalas.

Modelos y ecuaciones por nivel de escala

Descripción

A nivel de fluido local/instantáneo (fenómenos de transporte)1

Estas ecuaciones describen el comportamiento de la velocidad, presión, temperatura y/o concentración de especies en cualquier punto e instante dentro de un sistema. Se deducen a partir de balances de las diferentes magnitudes en una posición o volumen de materia puntuales, que se convierten después en ecuaciones continuas en espacio y tiempo.

La descripción de reactores químicos homogéneos con estas ecuaciones resulta en sistemas ecuaciones diferenciales parciales, cuya solución numérica suele abordarse por CFD. Sin embargo, para casos complejos en lo que hay cambios significativos o fluctuaciones de las variables de estudio en regiones mucho muy pequeñas y/o a tiempos demasiado cortos, los requerimientos de cómputo suelen ser prohibitivos ya que el sistema resultante de ecuaciones discretizadas a resolver simultáneamente puede ser muy grande y/o complejo.

Conservación de materia (Ec. de continuidad)

Conservación de momentum (Ecs. de Navier-Stokes)

Conservación de energía térmica

Conservación de especies químicas

A nivel de fluido promediado (fenómenos de transporte)2

Este tipo de ecuaciones surgen de un procedimiento de suavizado matemático de las ecuaciones de conservación locales/instantáneas. Describen el comportamiento promedio de las sus variables en torno a cualquier punto y/o instante en el sistema. Esto permite resolver la operación de equipos completos con requerimientos de cómputo mucho menores a los requeridos para los modelos a nivel local. Sin embargo, como consecuencia del promediado surgen términos adicionales (cerraduras) en las ecuaciones de conservación promediadas. Estos deben definirse de tal forma que rescaten información relevante de los procesos locales y/o instantáneos que se ‘perdieron’ durante el promediado.

Los principales términos de cerradura que aparecen en este tipo de ecuaciones suelen relacionarse con los procesos de turbulencia (momentum) y dispersión (calor y especies químicas). Sin embargo, su definición y naturaleza matemática admite diferentes enfoques.2

Conservación de masa (Ec. de continuidad)

Conservación de momentum (Ecs. de Navier-Stokes promediada por Reynolds)

Conservación de energía térmica promediada

Conservación de especies químicas promediada

A nivel de unidades o módulos (ingeniería de procesos)3

Bajo la consideración de mezclado perfecto, se evita por completo la descripción de las variaciones espaciales y temporales en los distintos puntos dentro del reactor. Estas ecuaciones surgen de un balance entrada-salida del equipo3, considerando que las variables en dichas corrientes tienen valores uniformes.

La descripción de reactores agitados continuos con este enfoque sobresimplificado resulta en ecuaciones diferenciales ordinarias (caso transitorio) o algebraicas (caso estacionario), cuya solución numérica suele abordarse por métodos numéricos convencionales. Representa el comportamiento ideal que un reactor real tendería a alcanzar si se aproximaran las condiciones de flujo requeridas. Este tipo de modelación facilita el análisis de sistemas multireacción y la integración en diagramas de procesos a nivel de planta.

Ecuación de diseño de masa (balance de materia de una especie i)

Ecuación de diseño de calor (balance de calor)

1. Por simplicidad, se presentan ecuaciones que implican propiedades fisicoquímicas, de transporte y calores de reacción constantes, fluido Newtoniano, sin disipación viscosa de calor y con transporte fickiano de especies químicas; la única fuente/sumidero de calor representada es la debida a reacciones químicas.

2. Este tipo de ecuaciones corresponden a lo presentado con enfoque empírico por Bird et al. (2006); se identifican las variables como letras testadas para distinguir que representan promedios en torno a puntos y/o instantes. Las ‘cerraduras’ se presentan como términos difusivos que involucran parámetros de viscosidad de remolinos (momentum) y difusividades dispersivas (calor y especies químicas), identificados con el superíndice (t). Algunos desarrollos teóricos rigurosos han encontrado que estos parámetros difusivos pueden ser de naturaleza tensorial (Whitaker, 1999). Y en el caso particular de transferencia de momentum, la modelación de la turbulencia es un tema que a su vez admite diferentes perspectivas de escala (Markatos, 1986).

3. Estas ecuaciones son las que sirven para el dimensionamiento de reactores en libros de texto tradicionales (Fogler, 2006; Levenspiel, 1999; Smith, 1980) y para realizar análisis dinámico y de estabilidad (Aris, 1969); se identifican las variables como letras con circunflejo para indicar que son globales. Si bien se indica que surgen de un balance global, es posible deducirlas a partir de un promediado de las ecuaciones de conservación locales en todo el volumen del reactor (Chakraborty y Balakotaiah, 2005; Laín y Gandini, 2023).

Nivel

Espacio asociado

Modelo matemático representativo

Modelado computacional asociada

Flujo de información relevante para la escala superior

Microescala

Fluido

  • Ecs. de Navier-Stokes
  • Ecs. de conservación de especies químicas y calor

Dinámica de fluidos computacional: simulación numérica directa

  • Perfiles de velocidad, concentración, temperatura y/o presión

Mesoescala

Regiones de procesos turbulentos y dispersivos

  • Ecs. de conservación promedio
  • Modelos o relaciones constitutivas para turbulencia

Dinámica de fluidos computacional: simulación de modelos promedio

  • Grado de mezclado
  • Formación y características de vórtices y estructuras coherentes de flujo

Macroescala

Reactor completo

  • Ecs. de conservación promedio
  • Modelos o relaciones constitutivas para turbulencia

Dinámica de fluidos computacional: simulación de modelos promedio

  • Efecto de geometría y volumen de equipo
  • Efecto de la agitación
  • Intercambio de calor y pérdidas de energía a través de paredes fijas o móviles
  • Promedio de velocidad, concentración, temperatura y/o presión en corrientes de salida

Escalas simplificadas

Reactor simplificado

  • Mezclado perfecto
  • Punto reactivo por el que pasa un flujo continuo

Ingeniería de procesos asistida por computadora: simuladores de procesos químicos

  • Flujos, concentraciones y temperaturas aproximadas de corrientes de salida
  • Volumen de equipo

Planta de proceso

Diagrama de flujo

  • Módulos o unidades interconectadas descritos por modelos simplificados

Ingeniería de procesos asistida por computadora: simuladores de procesos químicos

  • Flujos de materia y calor
  • Integración de calor y masa
  • Indicadores de rendimiento del proceso

Tabla 2. Elementos del análisis computacional multiescala de un reactor químico.

Nomenclatura

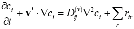
Ci Concentración molar de la especie i en la mezcla reaccionante (mol·m-3)

ĉiE Concentración uniforme de la especie i en la corriente de entrada del reactor continuo (mol·m-3)

CP Capacidad calorífica a presión constante de la mezcla reaccionante (J·kg-1·K-1)

Dij Difusividad molecular de la especie i en la especie o mezcla reaccionante diluida j (superíndice v) o difusividad turbulenta/dispersiva (superíndice t) para transferencia de especies químicas (m2·s-1)

k Presión en la mezcla reaccionante a escala local (Pa)

g Vector de aceleración gravitacional (m2·s-1)

p Presión en la mezcla reaccionante a escala local (solo letra), promediada (letra testada) y global (letra con circunflejo) (Pa)

Qint Flujo de calor intercambiado a través de las paredes del reactor con el exterior o con el fluido del enchaquetado (J·s-1)

rir Rapidez de reacción referida una especie i a escala local (solo letra), promediada (letra testada) y global (letra con circunflejo) para la reacción r (J·mol de i-1)

rr Rapidez de reacción referida a mol de reacción a escala local (solo letra), promediada (letra testada) y global (letra con circunflejo) (J·mol de reacción-1)

T Temperatura de la mezcla reaccionante a escala local (solo letra), promediada (letra testada) y global (letra con circunflejo) (K)

E Temperatura uniforme de la corriente de entrada del reactor continuo (K)

v Vector de velocidad de la mezcla reaccionante a escala local (solo letra), promediada (letra testada) y global (letra con circunflejo) (m·s-1)

VR Volumen de reactor (m3)

Símbolos griegos

α Difusividad térmica (superíndice v) o turbulenta/dispersiva (superíndice t) para transferencia de calor (m2·s-1)

Δhr Calor de reacción (J·mol de reacción-1)

ρ Densidad de la mezcla reaccionante (kg·m-3)

μ Viscosidad dinámica (superíndice v) o de turbulencia en remolinos (superíndice t) de la mezcla reaccionante (Pa·s)

τ Tiempo espacial en un reactor continuo (s)

Referencias

Agudelo, Y., y Barrera Zapata, R. (2015). Use of advanced simulation software Aspen Plus as teaching tool in chemical reaction engineering. Revista Educación en Ingeniería, 10(19), 57–68. http://www.educacioneningenieria.org

Aris, R. (1969). Elementary chemical reactor analysis. Prentice-Hall.

Bakker, A., Haidari, A. H., y Marshall, E. M. (2001). Design reactors via CFD. Chemical Engineering Progress, 97(12), 30–39.

Bar-Eli, K., y Noyes, R. M. (1986). A model for imperfect mixing in a CSTR. The Journal of Chemical Physics, 85(6), 3251–3257. https://doi.org/10.1063/1.450995

Baz-Rodríguez, S., Zitlalpopoca-Soriano, A., y Gijón-Arreortúa, I. (2025). Dinámica de fluidos computacional como herramienta didáctica en ingeniería de reactores. Revista Mexicana de Ciencia e Ingeniería Aplicada, 1(1), En prensa.

Bird, R. B., Stewart, W. E., y Lightfoot, E. N. (2006). Fenómenos de transporte (2.ª ed.). Limusa Wiley.

Burghardt, A., y Lipowska, L. (1972). Mixing phenomena in a continuous flow stirred tank reactor. Chemical Engineering Science, 27(10), 1783–1795. https://doi.org/10.1016/0009-2509(72)85040-1

Chakraborty, S., y Balakotaiah, V. (2005). Spatially averaged multi-scale models for chemical reactors. En Advances in Chemical Engineering (Vol. 30, pp. 205–297). Elsevier. https://doi.org/10.1016/S0065-2377(05)30004-4

Charpentier, J. (2009). Perspective on multiscale methodology for product design and engineering. Computers & Chemical Engineering, 33, 936–946. https://doi.org/10.1016/j.compchemeng.2008.11.007

Chaurasia, A. S. (2022). Computational fluid dynamics and Comsol Multiphysics: A step-by-step approach for chemical engineers. Apple Academic Press; CRC Press.

Choi, B. S., Wan, B., Philyaw, S., Dhanasekharan, K., y Ring, T. A. (2004). Residence time distributions in a stirred tank: Comparison of CFD predictions with experiment. Industrial and Engineering Chemistry Research, 43, 6548–6556. https://doi.org/10.1021/ie0308240

Epstein, I. R. (1995). The consequences of imperfect mixing in autocatalytic chemical and biological systems. Nature, 374, 321–327. https://doi.org/10.1038/374321a0

Fogler, H. S. (2006). Elements of chemical reaction engineering (4th ed.). Pearson.

Fogler, H. S. (2020). Elements of chemical reaction engineering [Sitio web]. https://websites.umich.edu/~elements/5e/index.html

Gayer, M., Kortelainen, J., y Karhela, T. (2010). CFD modelling as an integrated part of multi-level simulation of process plants-semantic modelling approach. 2010 Summer Computer Simulation Conference (SCSC 10). www.vtt.fi

Haag, J., Gentric, C., Lemaltre, C., y Leclerc, J. (2018). Modelling of chemical reactors: From systemic approach to compartmental modelling. International Journal of Chemical Reactor Engineering, 16(8), 20170172. https://doi.org/10.1515/ijcre-2017-0172

Jaworski, Z., y Zakrzewska, B. (2011). Towards multiscale modelling in product engineering. Computers and Chemical Engineering, 35(3), 434–445. https://doi.org/10.1016/j.compchemeng.2010.05.009

Jurković, D. L. (2021). Chemical reaction and reactor engineering simulations. www.cerres.org

Kwauk, M. (2007). The hierarchical structure of chemical engineering. Science in China Series B: Chemistry, 50(1), 1–6. https://doi.org/10.1007/s11426-007-0001-4

Laín, S., y Gandini, M. A. (2023). Ideal reactors as an illustration of solving transport phenomena problems in engineering. Fluids, 8, 58. https://doi.org/10.3390/fluids8020058

Levenspiel, O. (1999). Chemical reaction engineering (3rd ed.). John Wiley y Sons.

Li, Y. (2013). State-of-the-art in multiscale simulation for process development. Korean Chemical Engineering Research, 51(1), 10–24. https://doi.org/10.9713/kcer.2013.51.1.10

Madeira, L. M., Alves, M. A., y Rodrigues, A. E. (2004). Teaching nonideal reactors with CFD tools. Chemical Engineering Education, 38(2), 154–160. http://www.fe.up.pt/

Markatos, N. C. (1986). The mathematical modelling of turbulent flows. Applied Mathematical Modelling, 6, 190–220.

Martin, M. (2020). Introduction to software for chemical engineers. CRC Press.

Ochoa-Tapia, J. A., Hernandez-Rodriguez, R., y Alvarez-Ramirez, J. (2025). Effect of the residence time distribution on the dynamical behavior of isothermal continuous stirred tank reactors: A nonlocal modeling approach. Industrial and Engineering Chemistry Research, 64(12), 6433–6444. https://doi.org/10.1021/acs.iecr.5c00604

Ouyang, Y., Heynderickx, G., y Van Geem, K. (2022). Development of intensified reactors: A process intensification methodology perspective. Chemical Engineering and Processing, 181, 109164. https://doi.org/10.1016/j.cep.2022.109164

Peng, Z., y Jimenez, J. L. (2019). KinSim: A research-grade, user-friendly, visual kinetics simulator for chemical-kinetics and environmental-chemistry teaching. Journal of Chemical Education, 96(4), 806–811. https://doi.org/10.1021/acs.jchemed.9b00033

Python Textbook Companion. (2008). Chemical reaction engineering (example solutions with Python). https://tbc-python.fossee.in/book-details/178/

Rajavathsavai, D., Khapre, A., y Munshi, B. (2014). Study of mixing behavior of CSTR using CFD. Brazilian Journal of Chemical Engineering, 31(1), 119–129.

Raponi, A., y Nagy, Z. (2025). CompArt: Next-generation compartmental models for complex systems powered by artificial intelligence. Scientific Reports, 15, 1849–1853. https://doi.org/10.69997/sct.186609

Scriven, L. (2004). When chemical reactors were admitted and earlier roots of chemical engineering. En L. S. Fan, M. Feinberg, G. Hulse, T. Sweeney, y J. Zakin (Eds.), Unsolved problems in chemical engineering (pp. 11–28). The Ohio State University.

Smith, J. M. (1980). Chemical engineering kinetics (3rd ed.). McGraw-Hill.

Tiscareño-Lechuga, F. (2008). ABC para comprender reactores químicos con multireacción. Editorial Reverté; Instituto Tecnológico de Celaya.

Vaquerizo, L., y Cocero, M. J. (2018). CFD–Aspen Plus interconnection method: Improving thermodynamic modeling in computational fluid dynamic simulations. Computers and Chemical Engineering, 113, 152–161. https://doi.org/10.1016/j.compchemeng.2018.03.019

Wehinger, G., Ambrosetti, M., Cheula, R., Ding, Z., Isoz, M., Kreitz, B., Kuhlmann, K., Kutscherauer, M., Niyogi, K., Poissonnier, J., Réocreux, R., Rudolf, D., Wagner, J., Zimmermann, R., Bracconi, M., Freund, H., Krewer, U., y Maestri, M. (2022). Quo vadis multiscale modeling in reaction engineering? A perspective. Chemical Engineering Research and Design, 184, 39–58. https://doi.org/10.1016/j.cherd.2022.05.030

Whitaker, S. (1999). The method of volume averaging. Kluwer Academic Publishers.

Zitney, S. E., y Syamlal, M. (2002). Integrated process simulation and CFD for improved process engineering. Computer Aided Chemical Engineering, 12(10C), 397–402. https://doi.org/10.1016/S1570-7946(02)80094-3



Recepción: 2024-11-27. Aceptación: 2025-07-25.

Cómo citar:

Baz-Rodríguez, S. A., Zitlalpopoca-Soriano, Á., y Sacramento-Rivero, J. (2025, octubre-diciembre). Enlazando escalas en un reactor químico: de la microescala a la simulación global. Educación Química, 36(4). https://doi.org/10.22201/fq.18708404e.2025.4.90345.


[a] Facultad de Ingeniería Química, Universidad Autónoma de Yucatán México, México.