Experimento integrador hacia la Ciencia de los Nanomateriales: fotodegradación de 4-Clorofenol con TiO2

David Omar Jiménez Martínez,[a] Nora Soyuki Portillo Vélez,[b] Francisco Javier Tzompantzi Morales,[b] Miguel Ángel Martínez Cruz,[a] Leonardo David Herrera Zuñiga[c] y Ricardo Atahualpa Peralta Ávila[b]


Resumen

El objetivo de esta práctica integradora es aplicar los conocimientos adquiridos sobre nanomateriales, destacando su relevancia en la remediación de aguas. En una primera etapa, se promueve el uso de herramientas previamente estudiadas para la caracterización del material, como la espectroscopía infrarroja y la difracción de rayos X. Esta última permite a los estudiantes identificar las fases del TiO₂ reportadas en la literatura y compararlas con su propio patrón de difracción. Posteriormente, se evalúa la degradación de un contaminante mediante fotocatálisis, repitiendo el experimento con tres concentraciones distintas de fotocatalizador para analizar la influencia del TiO₂ en el proceso. Finalmente, se espera que los alumnos propongan un método viable para la degradación del contaminante, fundamentado en resultados experimentales y referencias bibliográficas. Esta práctica busca fomentar la reflexión crítica y el interés por la investigación en un tema de alto impacto ambiental.

Palabras clave:

nanomateriales, fotocatálisis, remediación de aguas, dióxido de titanio (TiO₂), degradación de contaminantes.


Integrative Experiment Towards Nanomaterials Science: Photodegradation of 4-Chlorophenol with TiO2

Abstract

The objective of this integrative experiment is to apply the knowledge acquired about nanomaterials, highlighting their relevance in water remediation. In the first stage, students are encouraged to use previously studied tools for material characterization, such as infrared spectroscopy and X-ray diffraction. The latter allows students to identify the TiO₂ phases reported in the literature and compare them with their own diffraction pattern. Subsequently, the degradation of a contaminant is evaluated through photocatalysis, repeating the experiment with three different photocatalyst concentrations to analyze the influence of TiO₂ on the process. Finally, students are expected to propose a viable method for contaminant degradation, based on experimental results and literature references. This practice aims to foster critical thinking and interest in research on a topic with significant environmental impact.

Keywords:

nanomaterials, photocatalysis, water remediation, titanium dioxide (TiO₂), contaminant degradation.




Introducción

La educación ambiental es clave para concienciar a los estudiantes sobre la importancia del cuidado del medio ambiente y fomentar actitudes sostenibles (López-Fernández y Franco-Mariscal, 2021). En particular, para quienes cursan estudios en ciencias químicas, de materiales o áreas afines, esta formación adquiere un enfoque distintivo, ya que la química desempeña un papel crucial en la comprensión, mitigación y solución de muchos de los problemas ambientales actuales (Suárez et al., 2019). Este tipo de enseñanza debe centrarse en el desarrollo de conocimientos sobre las interacciones químicas en el entorno, la creación de tecnologías limpias y el control de la contaminación (Franco Moreno y Ordoñez Carlosama, 2020). Un enfoque más “verde” brinda a los estudiantes las herramientas y conocimientos necesarios para contribuir de manera significativa a la lucha contra los problemas ambientales, preparándolos para ser líderes en el ámbito de la ciencia y la tecnología sostenibles (Solis Torres y Vega Botto, 2018).

Las nuevas tecnologías de remediación ambiental basadas en materiales resultan esenciales para limpiar y restaurar suelos, aguas y aire contaminados (Peñas-Garzón et al., 2023). Estas tecnologías se enfocan en eliminar, neutralizar o reducir contaminantes mediante una variedad de materiales, muchos de ellos desarrollados en el campo de la química de materiales avanzados (Taverna et al., 2023). La remediación efectiva requiere no solo comprender la naturaleza del contaminante, sino también emplear materiales adecuados que sean sostenibles, eficientes y de bajo costo (Novoa Jerez et al., 2020). Entre ellos, los nanomateriales son especialmente recomendables debido a su gran área superficial y propiedades reactivas mejoradas a escala nanométrica. Comprender su interacción con los contaminantes permite racionalizar su comportamiento y desarrollar nuevos sistemas que optimicen la eficiencia de los métodos existentes. Promover este conocimiento entre estudiantes de química, materiales u otras disciplinas afines puede motivarlos a involucrarse en este campo y, en el futuro, contribuir activamente a la solución de problemas ambientales, como la contaminación del suelo, el aire y el agua (Solis Torres y Vega Botto, 2018).

En los últimos años, la enseñanza sobre nanomateriales aplicados a la remediación ambiental ha cobrado relevancia, reflejando el papel central de este tema en la sociedad contemporánea (Martínez Vázquez, 2019). Este crecimiento se explica tanto por los avances tecnológicos como por la creciente preocupación global por la sostenibilidad (Catalá Rodes et al., 2021). Uno de los procesos más desarrollados en este campo son los procesos fotoquímicos, especialmente aquellos empleados en la degradación de contaminantes orgánicos (Escobar-Alarcón y Solís-Casados, 2020).

Los procesos fotoquímicos desempeñan un papel clave en la remediación ambiental, ya que aprovechan la energía de la luz (generalmente ultravioleta o visible) para inducir reacciones químicas que degradan contaminantes (López-Fernández y Franco-Mariscal, 2021). Uno de los procesos más utilizados es la fotocatálisis, cuya aplicación con nanomateriales representa una tecnología prometedora por su eficiencia, selectividad y capacidad de emplear luz como fuente de energía. Los nanomateriales fotocatalíticos poseen propiedades únicas derivadas de su tamaño reducido (1 a 100 nm), como alta área superficial, reactividad química y posibilidad de modificar sus características electrónicas para mejorar su desempeño (Brunnert et al., 2018).

La fotocatálisis consiste en la absorción de luz por un material semiconductor, lo que genera electrones excitados (e⁻) y huecos positivos (h⁺) en la superficie del material. Estos portadores de carga inducen una serie de reacciones redox que permiten descomponer contaminantes presentes en el aire, el agua o el suelo. La luz (normalmente en el rango UV o visible) excita a los electrones del semiconductor, promoviendo su transición desde la banda de valencia a la banda de conducción. Los huecos (h⁺) generados en la banda de valencia oxidan moléculas de agua (H₂O), formando radicales hidroxilo (•OH), mientras que los electrones en la banda de conducción (e⁻) pueden reducir oxígeno molecular (O₂), generando especies reactivas como el radical superóxido (•O₂⁻) (Brunnert et al., 2018). Estos radicales son altamente reactivos y atacan compuestos orgánicos, rompiendo enlaces y facilitando su mineralización en productos inocuos como CO₂ y agua. Enseñar este tipo de procesos a estudiantes de química, materiales o disciplinas relacionadas es fundamental, ya que les permite aplicar sus conocimientos para diseñar y optimizar catalizadores. Además, fomenta la investigación en este campo y el desarrollo de tecnologías limpias (Vilches y Gil Pérez, 2021).

El dióxido de titanio (TiO₂) es uno de los fotocatalizadores más estudiados y utilizados por su capacidad para promover reacciones en presencia de luz ultravioleta. Presenta un tamaño medio de partícula entre 7 y 300 nm, con una distribución que puede incluir fracciones nanométricas (Abbas et al., 2011; Zhang, 2015). Su amplia banda prohibida (~3.2 eV) le permite absorber luz UV y generar pares electrón-hueco (Peñas-Garzón et al., 2023). Estos portadores de carga pueden participar en reacciones químicas que degradan contaminantes o transforman compuestos. Este material es ampliamente empleado en la enseñanza de conceptos fundamentales sobre ciencia de los nanomateriales, como la relación entre la cantidad de catalizador y su efecto sobre la degradación (Kroeze et al., 2021). Asimismo, su relación estructura-propiedad permite explorar nuevas funcionalidades mediante la modificación de su fase cristalina (anatasa, rutilo o brookita), demostrando cómo las propiedades a nanoescala influyen en el comportamiento macroscópico del material. La fotocatálisis con TiO₂ integra conceptos de química y ciencias ambientales, promoviendo una enseñanza multidisciplinaria y un desarrollo académico más completo.

El experimento integrador se plantea como una introducción a la ciencia de los nanomateriales. Consiste en la caracterización del material y la realización de tres experimentos de degradación utilizando diferentes cantidades de TiO₂. El contaminante a degradar es una disolución de concentración conocida de 4-clorofenol (4-CP). La disolución con el catalizador se expone a una lámpara UV, con burbujeo de aire y agitación constante. Posteriormente, se toman alícuotas en distintos tiempos para su análisis mediante espectrofotometría UV-Visible, a fin de determinar el grado de degradación.

Este experimento se diseñó bajo un enfoque de aprendizaje basado en la indagación, con el propósito de fomentar la participación activa del estudiantado, la formulación de hipótesis y la resolución colaborativa de problemas. En lugar de seguir un guion rígido, se plantean objetivos y preguntas guía, lo que permite a los estudiantes reflexionar críticamente, diseñar sus propias estrategias experimentales y analizar sus resultados de forma autónoma, en consonancia con metodologías como el Aprendizaje Basado en Problemas (ABP).

Además, la práctica se fundamenta en el aprendizaje integrador, cuyo objetivo es que el estudiantado conecte conocimientos previos con nuevas aplicaciones, favoreciendo así la construcción de saberes interdisciplinarios (Crujeiras-Pérez y Jiménez-Aleixandre, 2019; Guilfoyle et al., 2021; Johnson y Czerniak, 2023). De esta manera, la fotocatálisis con TiO₂ no solo se estudia desde la química ambiental, sino también en relación con la ciencia de los materiales, la sostenibilidad y la remediación de aguas contaminadas.

Este enfoque impulsa al alumnado a aplicar técnicas analíticas previamente aprendidas, como la difracción de rayos X (DRX) y la espectroscopía infrarroja (IR), en un contexto más complejo: la degradación fotocatalítica de un contaminante. Así, no solo amplían su comprensión conceptual, sino que también desarrollan competencias transferibles útiles tanto para la investigación científica como para la toma de decisiones ante problemas ambientales reales. El aprendizaje integrador, además, refuerza la motivación y el compromiso del estudiantado, al evidenciar la relevancia práctica de los conceptos estudiados y al fomentar la colaboración interdisciplinaria y la autoeficacia en el laboratorio.

Pregunta de investigación e hipótesis

Como eje central de esta práctica, se plantea la siguiente pregunta de investigación:

¿Cómo y por qué influye la cantidad de fotocatalizador (TiO₂) en la velocidad de degradación del 4-clorofenol? ¿Qué factores adicionales (pH, concentración, radiación, etc.) podrían intervenir en esta eficiencia?

Se propone la hipótesis de que un incremento moderado en la cantidad de TiO₂ dentro del sistema de fotocatálisis puede acelerar la degradación del 4-clorofenol, debido a la mayor disponibilidad de sitios activos para la reacción. No obstante, un exceso de catalizador podría tener un efecto adverso al bloquear la absorción de la luz, lo que disminuiría la eficiencia global del proceso. A partir de esta hipótesis, se espera que los estudiantes aprendan a relacionar la cantidad de nanomaterial fotocatalítico con la velocidad de degradación, comprendiendo además los factores que influyen en la eficiencia de la reacción.

Relevancia socioambiental y vinculación con la vida real

Para que los estudiantes comprendan la importancia práctica de la fotocatálisis, es fundamental vincular los conceptos de remediación ambiental con problemáticas reales de contaminación. Un ejemplo claro es la presencia de fenoles, clorofenoles y otros compuestos orgánicos tóxicos en aguas residuales industriales, los cuales pueden afectar gravemente los ecosistemas acuáticos y representar un riesgo para la salud humana. En este contexto, el uso de TiO₂ en procesos fotocatalíticos se presenta como una alternativa prometedora para la eliminación eficiente de estos contaminantes, con potencial aplicación en plantas de tratamiento de aguas.

Este proyecto busca abordar problemas ambientales concretos, como la contaminación por compuestos fenólicos, mediante enfoques basados en la ciencia de los materiales. Más allá de su utilidad en la remediación de aguas residuales, el estudio de la fotodegradación con TiO₂ permite a los estudiantes establecer una conexión directa entre la estructura de un nanomaterial y sus propiedades fotocatalíticas. Asimismo, ofrece un escenario práctico para la aplicación de técnicas analíticas como la difracción de rayos X (DRX) y la espectroscopía infrarroja (IR), lo que promueve una comprensión más profunda de los principios de la química verde.

Es igualmente crucial que los estudiantes reflexionen sobre el impacto social y económico de la fotocatálisis. Si bien el uso de luz ultravioleta y un fotocatalizador implica ciertos costos, la capacidad de degradar eficientemente contaminantes persistentes puede traducirse en beneficios ambientales y económicos a largo plazo. Evaluar la relación costo-beneficio, la disponibilidad tecnológica y las políticas de sustentabilidad vigentes permite analizar la viabilidad del proceso tanto a nivel industrial como local. De este modo, la enseñanza de la química trasciende la teoría y se vincula con la toma de decisiones en contextos socioeconómicos complejos.

Este enfoque didáctico es clave para la formación integral del estudiantado, ya que les permite:

En síntesis, este experimento no solo ofrece una experiencia práctica en la aplicación de la fotocatálisis, sino que también fortalece competencias clave para el desarrollo académico y profesional del estudiantado en los ámbitos de la química, la nanotecnología y la sustentabilidad.

Material y equipo

Tabla 1. Condiciones experimentales de la fotodegradación del 4-clorofenol: reactivos, cantidades y parámetros operativos empleados.

Cantidad

Equipo o reactivo

Especificaciones

1 L

Solución de 4-Clorofenol

Sigma-Aldrich (20 ppm)

2 g

Dióxido de Titanio

AEROXIDE® TiO2 P 25 de Evonik

1

Piseta

Con agua destilada

1

Cilindro de aire

Praxair

1

Charola para pesaje

1

Manguera para burbujear aire

3

Filtro Millipore para membrana

0.22 micrómetros

1

Jeringa de plástico

5 mL y sin la aguja

8

Tubos de ensaye

10 mL

1

Probeta graduada

250 mL

4

Agitador magnético

mediano

1

Vaso de precipitado

250 mL

1

Caja negra para hacer fotocatálisis

Figura A4

1

Parrilla con agitación

1

Estufa de secado

1

Reactor de vidrio

Con chaqueta de enfriamiento

1

Lámpara UV Pen-Ray

254 nm

1

Tubo de cuarzo

Para proteger y sumergir la lámpara

1

Espectrofotómetro UV-Vis

Modelo Varian Cary 100

1

Difractómetro D2 PHASER

Marca BRUKER

1

FTIR

Affinity-1 Shimadzu

Caracterización y metodología

En este experimento integrador, se establecen pautas generales y metas de aprendizaje que los equipos de estudiantes deben discutir y planificar de manera colaborativa para diseñar su estrategia experimental de fotodegradación. En particular, se proponen los siguientes objetivos:

1. Caracterizar el TiO₂ y determinar la fase cristalina predominante.

2. Establecer el método óptimo para cuantificar la degradación del 4-clorofenol, considerando variables clave como el tiempo de irradiación, la masa de catalizador y el volumen de muestra.

Antes de iniciar el trabajo experimental, los equipos deben analizar las siguientes preguntas orientadoras, que les permitirán comprender los fundamentos de la caracterización y la metodología:

Durante esta fase, cada equipo debe debatir posibles respuestas y formular hipótesis iniciales basadas en la literatura y en su conocimiento previo. Algunas hipótesis posibles incluyen:

Una vez formuladas las hipótesis, cada equipo diseñará un plan experimental inicial, bajo la guía del docente, asegurando coherencia entre sus preguntas de investigación, las hipótesis y los métodos experimentales seleccionados.

Desarrollo experimental y reflexión crítica

Durante la fase experimental, se recomienda que los equipos discutan las condiciones clave de operación, tales como:

Este enfoque fomenta la toma de decisiones activa, incentivando a los estudiantes a adaptar su metodología con base en el análisis crítico y la discusión. Al concluir los experimentos, se promueve una reflexión colectiva a partir de preguntas orientadas a comparar los resultados con la literatura, identificar posibles fuentes de error y proponer mejoras metodológicas. Este ejercicio fortalece el pensamiento crítico y estimula el interés por la investigación.

Contextualización y relevancia científica

Este experimento no solo aborda la problemática de la contaminación por compuestos fenólicos, sino que también introduce a los estudiantes en el uso de metodologías avanzadas de la ciencia de materiales para su remediación. A nivel formativo, la práctica permite comprender la relación entre la estructura de los nanomateriales y sus propiedades fotocatalíticas.

Además, el estudio de la fotodegradación de contaminantes ofrece una aplicación concreta para la implementación de técnicas analíticas avanzadas, como la difracción de rayos X (DRX) y la espectroscopía infrarroja (IR), facilitando así la comprensión de los principios de la química verde y su impacto en la sostenibilidad.

Desde una perspectiva más amplia, es importante que los estudiantes evalúen los aspectos socioeconómicos asociados a la fotocatálisis. Aunque este proceso implica ciertos costos iniciales (como el uso de luz UV y fotocatalizadores), la eliminación eficiente de contaminantes persistentes puede traducirse en beneficios ambientales y económicos a largo plazo. Reflexionar sobre la relación costo-beneficio, la disponibilidad tecnológica y las políticas de sustentabilidad permitirá valorar la viabilidad de estos métodos tanto a escala industrial como local.

Competencias y habilidades desarrolladas

Esta práctica fomenta el desarrollo de competencias clave, tales como:

Esta experiencia experimental refuerza el aprendizaje de conceptos fundamentales en química de nanomateriales y fotocatálisis, e impulsa un enfoque interdisciplinario que integra la química ambiental, la ciencia de materiales y la sustentabilidad. Al permitir que los estudiantes participen activamente en el diseño, ejecución y análisis de sus experimentos, se fomenta una educación basada en la investigación y el razonamiento crítico, que los prepara para enfrentar los desafíos científicos y ambientales contemporáneos.

Caracterización del TiO₂

El TiO₂ se caracteriza inicialmente mediante difracción de rayos X de polvos (DRX-P), ya que este material puede presentar tres fases cristalinas distintas: anatasa, rutilo y brookita (Figura 1). Es fundamental identificar la estructura cristalina del TiO₂ antes de realizar la fotodegradación. Cabe destacar que el material utilizado es de origen comercial y puede estar hidratado. Para obtener un peso preciso de la muestra, el TiO₂ se seca en una estufa a 100 °C durante 24 horas. Posteriormente, la muestra se analiza con un difractómetro D2 PHASER de la marca BRUKER, a fin de obtener el patrón de difracción y determinar las fases presentes.

En lugar de seguir un procedimiento rígido y lineal, se fomenta que los equipos diseñen colaborativamente el orden de las mediciones, como el secado del material, la caracterización por DRX y la espectroscopía infrarroja por transformada de Fourier (FTIR). Esta estrategia permite justificar cómo cada análisis contribuye a responder sus hipótesis y fortalece su capacidad de planificación experimental. El docente actúa como facilitador, guiando la discusión y validando las decisiones metodológicas para asegurar que cada paso tenga un propósito claro en el contexto de la investigación.

Figura 1. Patrón de difracción de rayos X de polvos del TiO₂, mostrando las fases anatasa (JCPDS 21-1272), rutilo (JCPDS 21-1276) y brookita (JCPDS 29-1360). Código de colores: anatasa (negro), rutilo (rojo) y brookita (azul).

Como se observa en la Figura 1, el análisis se realizó en un rango de 2θ de 20° a 70°. Las reflexiones características se localizan en:

La muestra analizada por los estudiantes presenta una mezcla de anatasa y rutilo (véase Figura A5, Anexo 2). Este hallazgo es relevante, ya que el TiO₂ comercial suele venderse como una mezcla de fases. Comprender esta información es fundamental, pues se espera que el alumnado realice la degradación de un contaminante mediante fotocatálisis. Estudios previos han reportado que la fase anatasa es la principal responsable de la actividad fotocatalítica (Mikrut et al., 2020). Por tanto, la identificación de la fase predominante permite explicar el comportamiento catalítico observado (Stepanova et al., 2023).

Complemento espectroscópico: IR por transformada de Fourier

Para complementar el análisis por DRX, se propone realizar espectroscopía infrarroja por transformada de Fourier (FTIR) (véase Figura A6). En el caso del TiO₂, esta técnica proporciona información sobre la estructura, las fases cristalinas (anatasa, rutilo, brookita) y las interacciones superficiales del material.

La anatasa, con simetría tetragonal (grupo espacial D₄h, I4₁/amd), presenta modos vibracionales activos en el infrarrojo en el rango de 640–750 cm⁻¹, asociados con el estiramiento asimétrico de enlaces Ti–O–Ti (Mikrut et al., 2020). Por su parte, el rutilo, también de simetría tetragonal (D₄h, P4₂/mnm), muestra bandas significativas entre 450 y 650 cm⁻¹, correspondientes a los modos de estiramiento de los enlaces Ti–O (Hadjiivanov, 1998). Esta técnica permite corroborar los resultados obtenidos por DRX, ya que la FTIR distingue claramente entre estas dos fases.

Degradación de 4-clorofenol

La degradación de contaminantes es un proceso esencial para reducir el impacto ambiental y proteger la salud ecológica. Consiste en la transformación o descomposición de sustancias contaminantes —como productos químicos tóxicos, residuos industriales, pesticidas y plásticos— en compuestos menos dañinos o inofensivos, mediante procesos naturales o artificiales. En esta sección se propone que los estudiantes lleven a cabo la degradación de 4-clorofenol (4-CP) en presencia de luz UV, utilizando distintas masas de TiO₂.

Para los experimentos, se emplean tres cantidades diferentes de TiO₂: 50, 100 y 150 mg. Es importante destacar que las muestras se secan previamente en una estufa a 100 °C durante 24 horas, con el fin de conocer con precisión la cantidad de material utilizado. Paralelamente, se prepara 1 L de una disolución de 4-clorofenol a 20 ppm. Posteriormente, se transfieren 200 mL de esta disolución a un fotoreactor de 250 mL, al cual se agrega la cantidad correspondiente de TiO₂. La disolución se agita durante unos minutos y se extrae una alícuota de 4 mL antes de iniciar la reacción, la cual servirá como referencia.

Una vez tomada la muestra inicial, la disolución con el catalizador se expone a una lámpara UV (Pen-Ray, 254 nm), con burbujeo de aire y agitación constante. El burbujeo se emplea para mantener oxígeno disuelto en el medio de reacción, ya que esta especie interviene en la degradación del contaminante.

Después de 15 minutos, se realiza el primer muestreo de la reacción. Para ello, se apaga la lámpara UV, se retira cuidadosamente el suministro de aire y, manteniendo la agitación, se extraen 4 mL de la solución con una jeringa. Luego, la muestra se filtra mediante una membrana, con el fin de evitar que el TiO₂ pase a la alícuota analizada. Este procedimiento se repite seis veces, a distintos tiempos de reacción (30, 45, 60, 75, 90 y 120 minutos). Es importante resaltar que la fotocatálisis solo se lleva a cabo durante 120 minutos, dado que la práctica está diseñada para una sesión de tres horas de laboratorio. Finalmente, todas las alícuotas extraídas se analizan por espectroscopia UV-Vis.

Los compuestos fenólicos, como el 4-clorofenol, presentan bandas de absorción en la región ultravioleta debido a la presencia de enlaces dobles y sustituyentes en el anillo bencénico (compuestos cromóforos). En particular, el 4-clorofenol presenta una banda de absorción intensa en el rango de 200 a 300 nm, asociada con la transición electrónica π-π* (véase Figura A7, Anexo 2).

Inicialmente, se trabaja con 50 mg de TiO₂ en la degradación del contaminante. La Figura A7a muestra los espectros de absorción UV-Vis obtenidos durante el experimento. Para mejorar la interpretación de los resultados, se solicita a los estudiantes que grafiquen el porcentaje de degradación (Ecuación 1) en función del tiempo, basándose en la disminución del máximo de absorción del 4-clorofenol (Figura A7d). Se espera que los resultados indiquen una disminución del contaminante al encender la fuente de luz.

Ecuación 1

Simultáneamente, otros grupos de estudiantes realizan los mismos experimentos, pero con 100 mg y 150 mg de TiO₂. Los datos de la Figura A7b muestran que la degradación con 100 mg sigue una tendencia similar y ocurre en tiempos comparables a los de 50 mg. La disminución de las bandas de absorción con respecto al tiempo de iluminación UV es casi idéntica, lo que sugiere que una mayor cantidad de catalizador no tiene un efecto significativo en la degradación del 4-CP.

En los experimentos con 150 mg se observa el mismo comportamiento (Figura A7c). Aunque en general los catalizadores aceleran las reacciones químicas, un exceso de fotocatalizador puede reducir la eficiencia. Un aumento excesivo de TiO₂ puede bloquear o dispersar la luz, disminuyendo la cantidad de fotones que alcanzan los sitios activos del fotocatalizador, lo que reduce la eficiencia de la reacción en lugar de acelerarla (Mohamadpour y Amani, 2024).

Al concluir el muestreo, se propone que cada equipo participe en una sesión de discusión en la que analicen y comparen sus resultados con los obtenidos por otros grupos, así como con los reportados en la bibliografía. En este ejercicio, los estudiantes podrán examinar sus gráficas de degradación, identificar posibles discrepancias y debatir sobre sus causas, contrastando sus observaciones con las hipótesis iniciales. Este proceso de análisis colaborativo fomenta el pensamiento crítico y refuerza la comprensión de los mecanismos involucrados en la fotocatálisis.

A partir de los datos obtenidos en la fotodegradación —incluyendo la velocidad de reacción y el porcentaje de eliminación del contaminante— se evaluará si la hipótesis planteada sobre la influencia de la cantidad de TiO₂ en la eficiencia del proceso es válida. De este modo, los estudiantes podrán fundamentar sus conclusiones con evidencia experimental, estableciendo una correlación entre la concentración de fotocatalizador y el grado de degradación del 4-clorofenol.

Mecanismo de degradación

Con el objetivo de comprender con mayor profundidad la degradación del contaminante, se solicita a los estudiantes que realicen una búsqueda bibliográfica para identificar cómo puede ocurrir esta reacción. Este ejercicio les permitirá analizar con mayor detalle los experimentos realizados por otros grupos de investigación y, al mismo tiempo, desarrollar habilidades en la búsqueda y lectura de artículos científicos.

De manera indirecta, este proceso también les ayudará a aprender cómo estructurar investigaciones, diseñar experimentos y presentar datos de manera adecuada, lo que contribuirá a mejorar sus informes de laboratorio. Estas actividades representan un pilar fundamental para los estudiantes interesados en continuar en el ámbito académico, ya que les proporcionan conocimientos sobre la formulación de hipótesis, la selección de métodos adecuados y la organización clara y concisa de los resultados.

Este proceso ha sido ampliamente reportado en la literatura, y se espera que los estudiantes expliquen cada paso con mayor detalle en función de la información obtenida en sus búsquedas bibliográficas (Satuf et al., 2008).

Conclusiones

El uso de dióxido de titanio (TiO₂) como fotocatalizador para la eliminación de contaminantes en el agua, como el 4-clorofenol, demuestra un gran potencial tanto en el ámbito ambiental como en la enseñanza de la ciencia de los materiales. La caracterización del TiO₂ mediante difracción de rayos X y espectroscopía infrarroja (IR) permitió identificar la coexistencia de dos fases cristalinas en el material comercializado por Evonik Industries de México S.A. de C.V., lo cual resulta crucial, dado que la actividad fotocatalítica varía en función de la fase predominante. Este hallazgo explica la eficiencia del material en la degradación de compuestos orgánicos tóxicos.

Los resultados obtenidos en los experimentos evidenciaron que la variación en la cantidad de TiO₂ no siempre conduce a una mejora en la eficiencia del proceso fotocatalítico. Si bien un aumento en la cantidad de catalizador puede incrementar la velocidad de degradación al proporcionar más sitios activos, un exceso de material puede bloquear la radiación incidente y disminuir la eficiencia global del sistema. Este comportamiento permitió a los estudiantes comprender la complejidad de los procesos fotoquímicos y la importancia de optimizar las condiciones experimentales en estudios de fotocatálisis.

Más allá de su relevancia técnico-científica, este trabajo se concibió como un experimento integrador que permite a los estudiantes aplicar los conocimientos adquiridos en su formación académica y valorar la importancia de la caracterización de materiales y su impacto en la fotocatálisis. La actividad fomenta un aprendizaje basado en la indagación, donde los alumnos formulan hipótesis, diseñan estrategias experimentales, analizan datos y discuten resultados. Este enfoque fortalece sus habilidades de pensamiento crítico, resolución de problemas y comunicación científica, aspectos esenciales en la formación de futuros investigadores y profesionales del área.

Las estrategias didácticas implementadas en este experimento están alineadas con los contenidos de una materia introductoria a la ciencia de los materiales, pero se enriquecen con la inclusión de elementos de evaluación formativa. Se recomienda el uso de rúbricas para evaluar la formulación de hipótesis, el análisis de resultados y la argumentación científica. Asimismo, se enfatiza la comparación de los resultados experimentales con la literatura especializada, lo que permite al alumnado desarrollar competencias no solo conceptuales, sino también procedimentales y actitudinales, tales como el manejo de instrumentación, la interpretación crítica de datos y la comunicación de hallazgos científicos.

Los datos obtenidos validan parcialmente la hipótesis planteada, al demostrar que, hasta cierto punto, el incremento en la cantidad de TiO₂ favorece la degradación del 4-clorofenol; sin embargo, un exceso de fotocatalizador reduce la eficiencia del proceso. Además, este experimento ha demostrado su utilidad como herramienta pedagógica efectiva, al proporcionar a los estudiantes un contexto práctico y multidisciplinario en el que pueden aplicar conocimientos de química, ciencia de materiales y sostenibilidad ambiental.

Finalmente, se sugiere que los estudiantes elaboren sus propias conclusiones a partir de las preguntas e hipótesis iniciales, identificando qué datos confirman o refutan sus suposiciones y proponiendo mejoras en el diseño experimental. Compartir estos hallazgos en discusiones grupales o mediante informes escritos fortalece la capacidad de comunicación científica y refuerza la importancia de la fotocatálisis y la ciencia de los materiales en la resolución de problemas ambientales. De esta manera, la práctica trasciende la simple ejecución de un procedimiento experimental, convirtiéndose en una experiencia formativa integral que promueve el aprendizaje significativo y la apropiación del conocimiento científico (Crujeiras-Pérez y Jiménez-Aleixandre, 2019; Guilfoyle, Hillier y Fancourt, 2021; Johnson y Czerniak, 2023).

Propuesta de evaluación formativa y trabajos colaborativos

En concordancia con la rúbrica establecida (Material suplementario 3), la evaluación del experimento integrador se centra en la participación activa de los estudiantes, la formulación de hipótesis, el diseño experimental y la interpretación de resultados. Los criterios de evaluación incluyen la claridad en la presentación de argumentos, la calidad del razonamiento científico y la capacidad para vincular los resultados experimentales con los principios teóricos de la fotocatálisis.

Además, se promueve el aprendizaje colaborativo mediante la comparación de resultados entre distintos equipos, contrastando metodologías y condiciones experimentales. Esta dinámica fomenta la argumentación científica y el pensamiento crítico, al permitir que los estudiantes analicen las diferencias observadas en los resultados y propongan explicaciones fundamentadas en la literatura. Dicho intercambio de perspectivas fortalece la construcción colectiva del conocimiento y consolida la comprensión de los principios fotocatalíticos y de los nanomateriales.

Agradecimientos

Los autores agradecen al grupo C-01 de Introducción a la Ciencia de los Nanomateriales, del trimestre 24-I de la UAM Iztapalapa, por su participación en la realización de los experimentos presentados en este proyecto integrador.

Referencias

Abbas, Z., Holmberg, J. P., Hellström, A. K., Hagström, M., Bergenholtz, J., Hassellöv, M., y Ahlberg, E. (2011). Synthesis, characterization and particle size distribution of TiO₂ colloidal nanoparticles. Colloids and Surfaces A: Physicochemical and Engineering Aspects, 384(1–3), 254–261. https://doi.org/10.1016/j.colsurfa.2011.03.064

Brunnert, R., Bohrmann-Linde, C., Meuter, N., Pereira Vaz, N., Spinnen, S., Yurdanur, Y., y Tausch, M. W. (2018). The fascinating world of photochemistry. Educación Química, 29(3). https://doi.org/10.22201/fq.18708404e.2018.1.63736

Catalá Rodes, R. M., Chamizo, J. A., y García-Franco, A. (2021). El impacto del trabajo de Mario Molina en los programas y materiales educativos de educación media y media superior en México. Educación Química, 32(4). https://doi.org/10.22201/fq.18708404e.2021.4.80334

Crujeiras-Pérez, B., y Jiménez-Aleixandre, M. P. (2019). Interdisciplinarity and argumentation in chemistry education. https://doi.org/10.1039/9781788012645-00032

Escobar-Alarcón, L., y Solís-Casados, D. A. (2020). Desarrollo de fotocatalizadores basados en TiO₂ en forma de película delgada para la degradación de moléculas orgánicas en solución acuosa. Mundo Nano. Revista Interdisciplinaria en Nanociencias y Nanotecnología, 14(26), 1e–23e. https://doi.org/10.22201/ceiich.24485691e.2021.26.69646

Franco Moreno, R. A., y Ordoñez Carlosama, L. Y. (2020). El enfoque de química verde en la investigación en didáctica de las ciencias experimentales. Su abordaje en revistas iberoamericanas: 2002–2018. Educación Química, 31(1). https://doi.org/10.22201/fq.18708404e.2020.1.70414

Guilfoyle, L., Hillier, J., y Fancourt, N. (2023). Students’ argumentation in the contexts of science, religious education, and interdisciplinary science-religious education scenarios. Research in Science & Technological Education, 41(2), 759–776. https://doi.org/10.1080/02635143.2021.1947223

Hadjiivanov, K. (1998). FTIR study of CO and NH₃ co-adsorption on TiO₂ (rutile). Applied Surface Science, 135(1), 331–338. https://doi.org/10.1016/S0169-4332(98)00298-0

Johnson, C. C., y Czerniak, C. M. (2023). Interdisciplinary approaches and integrated STEM in science teaching. In Handbook of research on science education (pp. 559–585). Routledge. https://doi.org/10.4324/9780367855758

Kroeze, V., Braakhuis, L., ten Kate, A. J. B., y Kersten, S. R. A. (2021). Determination of the minimum catalyst amount in the design of catalytic distillation columns. Industrial & Engineering Chemistry Research, 60(28), 10254–10264. https://doi.org/10.1021/acs.iecr.1c01024

López-Fernández, M. d. M., y Franco-Mariscal, A. J. (2021). Indagación sobre la degradación de plásticos con estudiantes de secundaria. Educación Química, 32(2). https://doi.org/10.22201/fq.18708404e.2021.2.76553

Martínez Vázquez, A. (2019). Química e Ingeniería en Materiales: una nueva licenciatura. Educación Química, 30(4). https://doi.org/10.22201/fq.18708404e.2019.4.71010

Mikrut, P., Kobielusz, M., Indyka, P., y Macyk, W. (2020). Photocatalytic activity of TiO₂ polymorph B revisited: Physical, redox, spectroscopic, and photochemical properties of TiO₂(B)/anatase series of titanium dioxide materials. Materials Today Sustainability, 10, 100052. https://doi.org/10.1016/j.mtsust.2020.100052

Mohamadpour, F., y Amani, A. M. (2024). Photocatalytic systems: Reactions, mechanism, and applications. RSC Advances, 14(29), 20609–20645. https://doi.org/10.1039/D4RA03259D

Novoa Jerez, J. E., Alfaro, M., Alfaro, I., y Guerra, R. (2020). Determinación de la eficiencia de un mini panel solar fotovoltaico: Una experiencia de laboratorio en energías renovables. Educación Química, 31(2). https://doi.org/10.22201/fq.18708404e.2020.2.70300

Peñas-Garzón, M., Moreno-Medina, I., Bedia, J., y Belver, C. (2023). Síntesis y evaluación de fotocatalizadores TiO₂/carbón activo: Un enfoque multidisciplinar y cooperativo para estudiantes de ingeniería química. Educación Química, 34(1), 128–155. https://doi.org/10.22201/fq.18708404e.2023.1.82972

Satuf, M. L., Brandi, R. J., Cassano, A. E., y Alfano, O. M. (2008). Photocatalytic degradation of 4-chlorophenol: A kinetic study. Applied Catalysis B: Environmental, 82(1), 37–49. https://doi.org/10.1016/j.apcatb.2008.01.003

Solis Torres, L. D., y Vega Botto, A. (2018). Sustitución de una práctica de laboratorio con enfoque a química verde como herramienta para la reducción de residuos peligrosos. Educación Química, 29(1). https://doi.org/10.22201/fq.18708404e.2018.1.63809

Stepanova, A., Tite, T., Ivanenko, I., Enculescu, M., Radu, C., Culita, D. C., Rostas, A. M., y Galca, A. C. (2023). TiO₂ phase ratio’s contribution to the photocatalytic activity. ACS Omega, 8(44), 41664–41673. https://doi.org/10.1021/acsomega.3c05890

Suárez, A. G., Calviño, N. G., Drogo, C. F., Bottai, H. M., y Reinoso, A. R. (2019). Estudio de la percepción de estudiantes de nivel secundario sobre la química y su implicancia social. Educación Química, 30(3). https://doi.org/10.22201/fq.18708404e.2019.3.68209

Taverna, M. E., Boriglio, R., Dobler, S., Lesta, M., Scocco, N., y Garnero, P. C. (2023). Preparación de un barniz basado en residuos poliméricos como complemento experimental para estudiantes de ingeniería. Educación Química, 34(2), 81–93. https://doi.org/10.22201/fq.18708404e.2023.2.83552

Vilches, A., y Gil Pérez, D. (2021). El Antropoceno. Riesgos y oportunidades para las nuevas generaciones. Educación Química, 32(4). https://doi.org/10.22201/fq.18708404e.2021.4.80342

Zhang, Y., Leu, Y. R., Aitken, R. J., y Riediker, M. (2015). Inventory of engineered nanoparticle-containing consumer products available in the Singapore retail market and likelihood of release into the aquatic environment. International Journal of Environmental Research and Public Health, 12(8), 8717–8743. https://doi.org/10.3390/ijerph120808717

Material complementario

La presente guía ofrece sugerencias metodológicas para implementar la práctica de forma indagatoria. Se recomienda proporcionar únicamente la información básica indispensable (objetivo, problemas a resolver, preguntas detonantes) y permitir que el alumnado proponga los pasos experimentales. El rol del o la docente consiste en guiar la discusión, verificar la factibilidad y seguridad del procedimiento, así como fomentar la formulación de hipótesis y el análisis crítico de los resultados. Para ampliar estas estrategias pedagógicas, se sugiere consultar la infografía sobre Aprendizaje Basado en Problemas (ABP).

Anexo 1. Guía para el o la docente

Este documento proporciona pautas para que el personal docente implemente y organice la actividad experimental sobre la fotodegradación de 4-clorofenol con TiO₂. Aquí se especifican el cronograma, la organización de equipos y las recomendaciones metodológicas. Las tablas y figuras contenidas en este anexo sirven como apoyo y muestran ejemplos de cómo presentar resultados y datos de referencia. Se deja a criterio del o la docente decidir en qué momento compartir esta información con el estudiantado (antes, durante o después de la práctica), con el fin de no limitar su iniciativa e incentivar el aprendizaje activo.

Estructura y objetivo de la actividad

1. Objetivo principal

2. Elaboración del reporte final

En la introducción se debe incluir:

1. Una breve descripción fisicoquímica del 4-clorofenol y sus efectos en la salud y el medio ambiente.

2. Las estructuras cristalinas del TiO₂, con énfasis en la fase anatasa y su relevancia en la fotocatálisis.

3. Las variables principales que influyen en la fotodegradación (pH, concentración del contaminante, cantidad de catalizador, etc.).

4. Diferencias entre los modos de operación del catalizador (fase homogénea vs. heterogénea) y las ventajas de cada sistema.

Un párrafo de enlace debe conectar la introducción con la parte experimental, resaltando la importancia de la práctica y anticipando los resultados esperados.

3. Discusión de resultados

Cronograma del experimento

El cronograma está planteado para una sesión de 4 horas, con tres equipos de cuatro estudiantes. Cada grupo evaluará una de las cantidades de TiO₂ y, al final, compartirá sus resultados con el resto de la clase.

Tabla A1. Cronograma sugerido para la práctica.

Pasos que seguir para realizar el experimento

Duración de la sección

1

Preexperimental, poner aproximadamente 50, 100 y 150 mg de TiO2 comercial en la mufla a 100 °C un día anterior con la intención de eliminar el exceso de agua que pueda contener la muestra

24 hrs

2

Llevar la muestra a caracterizarla por difracción de rayos X en polvos

30 min

3

Llevar la muestra a caracterizarla espectroscopia de infrarrojo

20 min

4

Preparar la disolución de 20 ppm de 4-clorofenol en agua destilada

10 min

5

Pesar la cantidad o masa de TiO2 que se necesita por equipo

10 min

6

Instalar el equipo necesario para llevar a cabo la degradación

15 min

7

Fotodegradación del 4-clorofenol

1.5 hrs

8

Análisis de las alícuotas obtenidas por la fotodegradación

30 min

Nota importante para el o la docente:

Sugerencias para la evaluación

Anexo 2. Material para el/la estudiante

Nota importante para el/la estudiante

Las tablas, figuras y resultados incluidos en este anexo son ejemplos ilustrativos obtenidos de experiencias previas. Tu responsabilidad es generar y analizar tus propios datos y, al finalizar, comparar o discutir las similitudes y diferencias con estos ejemplos. No se trata de un recetario estricto, sino de referencias que podrían orientar tu interpretación y tu discusión final.

Resumen

La fotocatálisis es un proceso avanzado de oxidación que emplea un catalizador —en este caso, dióxido de titanio— para descomponer contaminantes orgánicos en presencia de luz ultravioleta. En esta práctica, el contaminante de interés es el 4-clorofenol (4-CP), un compuesto orgánico tóxico y persistente, común en aguas residuales industriales. El objetivo es caracterizar el TiO₂ y evaluar cómo varía la fotodegradación del 4-CP al modificar la cantidad de fotocatalizador (50, 100 y 150 mg). Se registran datos mediante un espectrofotómetro UV-Vis para cuantificar la degradación y así determinar si un exceso de catalizador mejora o no la eficiencia de la reacción.

Introducción

Los fenoles y clorofenoles son compuestos orgánicos altamente tóxicos, ampliamente utilizados en diversas industrias. Se encuentran comúnmente en aguas residuales provenientes de sectores como el químico, petroquímico, textil y papelero, entre otros (Badanthadka y Mehendale, 2014). En particular, el 4-CP (Figura A1) se utiliza en la producción de quinizarina (un tinte), clofibrato (un fármaco), clorofenesina y diclorofeno (fungicidas).

En comparación con otras clases de compuestos orgánicos, los clorofenoles presentan niveles variables de toxicidad, según la cantidad de átomos de cloro presentes en el anillo aromático. Tanto los fenoles como los clorofenoles pueden ser absorbidos por vía digestiva —al consumir agua o alimentos contaminados— o a través de la piel, con solo entrar en contacto con ellos. Si bien la exposición a corto plazo no suele ser peligrosa, la exposición prolongada puede ocasionar graves daños a la salud (Garba et al., 2019). Por ello, en la industria química resulta indispensable contar con métodos eficaces de degradación para reducir o eliminar estos compuestos.

Figura A1. Estructura química del 4-clorofenol. Imagen obtenida a partir de ChemDraw Ultra 8.0 y adaptada por los autores con fines ilustrativos.

El TiO₂ presenta tres estructuras cristalinas principales: anatasa y rutilo, ambas con geometría tetragonal, y brookita, con geometría ortorrómbica (Figura A2) (Lourduraj, 2020). La fase anatasa es la más estable bajo condiciones normales, mientras que rutilo y brookita son fases metaestables que pueden transformarse en anatasa mediante calor o presión. El TiO₂ comercial utilizado como fotocatalizador es generalmente una mezcla de las fases anatasa y rutilo. Aunque el rutilo es la fase más estable, la anatasa es la más activa fotocatalíticamente; por ello, se requiere que el TiO₂ tenga una fracción mayoritaria de esta última (Mikrut et al., 2020).

La fase brookita ha sido menos estudiada debido a la dificultad para aislarla, aunque en años recientes se ha demostrado su potencial como fotocatalizador. El TiO₂ es activo únicamente bajo radiación UV, ya que su banda prohibida le permite absorber únicamente longitudes de onda menores a 400 nm (Escobar-Alarcón y Solís-Casados, 2020). Además, cumple con varias características deseables en un buen fotocatalizador:

Figura A2. Representación poliédrica de las estructuras cristalinas del TiO₂ en sus fases anatasa, rutilo y brookita.

La fotodegradación de clorofenoles en solución acuosa ha recibido considerable atención, debido a que son microcontaminantes xenobióticos importantes en medios acuáticos (Hoffmann et al., 1995; Zambrano et al., 2022). Existen diversas líneas de investigación sobre la descomposición fotocatalítica de estos compuestos mediante semiconductores de óxido metálico, tanto en suspensión acuosa heterogénea como en forma inmovilizada (Figura A3).

Figura A3. Esquema ilustrativo del mecanismo de fotocatálisis para la degradación del 4-clorofenol. Se muestran desde la absorción de luz UV y la generación de portadores de carga hasta la formación de radicales (•OH y •O₂⁻) y la mineralización final del contaminante. También se representan los principales procesos en la partícula del semiconductor: excitación electrónica, recombinación electrón-hueco y reacciones redox con aceptores o donadores de electrones (Hoffmann et al., 1995).

Para llevar a cabo el proceso fotocatalítico y asegurar reacciones redox eficientes, deben considerarse múltiples variables:

Los catalizadores pueden emplearse en fase homogénea o heterogénea. La eficacia suele ser mayor en fase homogénea, ya que no existen limitaciones por transferencia de masa y la interacción con el sustrato es más directa. No obstante, presentan desventajas como la dificultad para separarlos del producto final y una mayor propensión a desactivarse, lo que incrementa los costos operativos y obliga a regenerarlos o sustituirlos con frecuencia.

Por su parte, los catalizadores heterogéneos, aunque menos eficaces en transferencia de masa, son más fáciles de recuperar y reutilizar. Al estar en estado sólido, pueden separarse del producto final mediante filtración o decantación. La elección entre catalizadores homogéneos y heterogéneos depende de factores como el tipo de reacción, las condiciones operativas y los costos. En la industria, se suele preferir el uso de catalizadores heterogéneos por su durabilidad y facilidad de manejo, a pesar de que a veces requieren condiciones más rigurosas (Loddo et al., 2018).

Descripción experimental

Este trabajo experimental sirve como introducción a la ciencia de los nanomateriales. Consiste en realizar varios experimentos de degradación utilizando diferentes masas de TiO₂ (50, 100 y 150 mg). Las muestras fueron secadas previamente en una mufla a 100 °C durante 24 horas, para conocer con precisión el peso del material.

Se preparó 1 L de una disolución a 20 ppm de 4-clorofenol. Posteriormente, se tomaron 200 mL de esta disolución y se vertieron en un reactor de 250 mL, al que se añadió la masa correspondiente de TiO₂. La mezcla se agitó durante unos minutos y se tomó una alícuota de 4 mL antes de iniciar la reacción, que sirvió como muestra de referencia.

La disolución con el catalizador se expuso a una lámpara UV (Pen-Ray, 254 nm) y se le inyectó aire con agitación constante. Después de 15 minutos, se apagó la lámpara y se interrumpió el suministro de aire, manteniendo la agitación. Entonces, se extrajo otra alícuota de 4 mL del reactor, la cual fue filtrada mediante una membrana para eliminar el material sólido.

La muestra se colocó en un tubo de ensayo para su análisis por espectroscopía UV-Vis. Este procedimiento se repitió a los 30, 45, 60, 75, 90 y 120 minutos.

Material y equipo

Solución de 4-clorofenol Sigma-Aldrich (20 ppm), dióxido de titanio grado industrial (AEROXIDE® TiO₂ P 25 de Evonik), una piseta con agua destilada, un cilindro de aire Praxair, cuatro charolas para pesaje, una manguera para burbujear aire, filtro Millipore con membrana de 0.22 µm, una pipeta graduada de vidrio, ocho tubos de ensayo de 10 mL, una probeta graduada de 250 mL, agitador magnético mediano, un vaso de precipitados de 250 mL, una jeringa de plástico de 5 mL, una caja negra para realizar la fotocatálisis (Figura A4), una parrilla con agitación, una mufla, reactor de vidrio, lámpara UV Pen-Ray de 254 nm, tubo de cuarzo (para proteger y sumergir la lámpara), espectrofotómetro UV-Vis modelo Varian Cary 100, y difractómetro D2 PHASER de la marca Bruker.

Figura A4. Diagrama simplificado del fotoreactor utilizado, donde se resaltan los componentes esenciales: lámpara UV, reactor de vidrio, sistema de agitación y dispositivo de burbujeo de aire. a) Sistema de degradación con los nombres de las partes más importantes. b) Lámpara UV del reactor encendida.

Caracterización y metodología

Inicialmente, se caracterizó el TiO₂ por difracción de rayos X de polvos, ya que, como se mencionó anteriormente, este material puede presentar tres fases cristalinas: anatasa, rutilo y brookita. Por ello, es importante conocer la estructura cristalina predominante para realizar una cuantificación precisa de los resultados y garantizar la reproducibilidad de la práctica. Con ayuda del difractómetro D2 PHASER de la marca Bruker, se midió el patrón de difracción de rayos X de polvos (PXRD, por sus siglas en inglés; véase Figura A5), donde se identificaron las distintas fases presentes en el material.

Figura A5. Patrón de difracción de polvos del TiO₂ experimental, con indicación de las diferentes fases: anatasa (rojo), rutilo (azul) y brookita (verde).

El análisis de los índices de Miller en una estructura cristalina, como el dióxido de titanio (TiO₂), puede realizarse utilizando el software Mercury para visualizar y estudiar las estructuras. Los pasos seguidos fueron los siguientes:

1. Cargar el archivo cristalográfico (CIF) del TiO₂:

2. Visualizar la estructura cristalina:

3. Identificar los planos cristalinos y sus índices de Miller:

4. Visualización y análisis:

5. Exportar y reportar resultados:

Tipos de estructuras del dióxido de titanio:

En la Figura A5 se indican los índices de Miller, donde se observa que la fase predominante es la anatasa, lo cual concuerda con lo reportado previamente (Gonçalves et al., 2018).

Figura A6. Espectroscopía de infrarrojo (FT-IR) del TiO₂ utilizado para la fotodegradación.

Para confirmar los resultados de la difracción de rayos X de polvos, se realizó espectroscopía de infrarrojo (Figura A6). La anatasa posee simetría tetragonal y pertenece al grupo espacial D₄h (I4₁/amd). Sus modos vibracionales activos en el infrarrojo se observan principalmente en el rango de ~640–750 cm⁻¹, característicos del estiramiento asimétrico Ti–O–Ti (Mikrut et al., 2020). Por su parte, el rutilo también tiene simetría tetragonal, pero pertenece al grupo espacial D₄h (P4₂/mnm), lo que genera un patrón vibracional diferente. Sus bandas se encuentran en el rango de ~450–650 cm⁻¹, asociadas a los modos de estiramiento de los enlaces Ti–O (Hadjiivanov, 1998).

Este análisis espectroscópico permite confirmar las fases observadas previamente.

Discusión y resultados

Cuando el TiO₂ es irradiado con luz UV, se promueven electrones desde la banda de valencia (BV) a la banda de conducción (BC), produciendo así un electrón (e⁻) en la BC y dejando un hueco positivo (h⁺) en la BV. Si el electrón y el hueco migran a la superficie del fotocatalizador sin recombinarse, pueden generar reacciones redox con los compuestos adsorbidos en dicha superficie. El hueco oxida a los contaminantes directamente o a través de la oxidación del agua, produciendo radicales hidroxilo (•OH), los cuales reaccionan con el 4-clorofenol, degradándolo. Por su parte, los electrones reducen los átomos de oxígeno adsorbidos en la superficie del fotocatalizador, generando radicales superóxido (O₂⁻) y otros grupos reactivos.

Durante este trabajo, se obtuvieron los espectros UV-Vis de la degradación de la solución de 4-clorofenol (4-CP), variando la masa de TiO₂ utilizada.

Figura A7. Espectros UV-Vis de la degradación de 4-clorofenol utilizando diferentes masas de TiO₂: a) 50 mg; b) 100 mg; c) 150 mg; d) porcentaje de degradación de 4-clorofenol a tiempos de 15, 30, 45, 60, 75, 90 y 120 minutos.

Los resultados fueron compartidos por todos los equipos que realizaron la práctica y se unificaron en una gráfica para facilitar la comprensión del fenómeno estudiado. Como se mencionó previamente en la introducción, hay factores que influyen considerablemente en la fotodegradación de un contaminante. Uno de ellos es la cantidad de fotocatalizador empleada, lo cual resulta crucial, ya que, en un proceso industrial, este factor puede afectar significativamente el costo del tratamiento.

Este fenómeno fue analizado en el presente estudio, y los resultados se muestran en la Figura A7. En la Figura A7a se observa el espectro UV-Vis correspondiente a una masa de 50 mg de TiO₂; a medida que transcurre el tiempo, las bandas de absorción del contaminante disminuyen. Lo mismo se aprecia en la Figura A7b para una masa de 100 mg, donde la reducción progresiva de las bandas indica una degradación más eficiente del compuesto. Finalmente, la Figura A7c muestra el análisis para 150 mg, evidenciando una tendencia similar a los casos anteriores.

Con el objetivo de obtener un análisis más preciso, se calculó el porcentaje de degradación del 4-clorofenol utilizando la Ecuación 1, comparando los resultados en función del tiempo (Figura A7d). Los resultados evidencian una tendencia común en los tres casos, sin observarse una diferencia sustancial en la degradación al aumentar la cantidad de TiO₂. Por lo tanto, se sugiere que una mayor cantidad de catalizador no mejora significativamente la degradación del 4-CP.

Este fenómeno resulta sumamente interesante y puede ser un punto de análisis para que los estudiantes comprendan que no siempre agregar más catalizador acelera una reacción. Esto puede explicarse porque, aunque los catalizadores aumentan la velocidad de las reacciones químicas, en algunos casos, un exceso puede tener el efecto contrario (Satuf et al., 2008). En fotodegradación, cuando se utiliza demasiado catalizador, las partículas adicionales pueden bloquear o dispersar la luz, reduciendo la cantidad de fotones que alcanzan los sitios activos. Como la energía lumínica es necesaria para activar el fotocatalizador, una menor penetración de luz disminuye la eficiencia de la reacción.

En fotocatálisis y en otros procesos, existe un punto óptimo en el que la cantidad de catalizador maximiza la eficiencia de la reacción. Superar este punto puede generar los efectos observados en este estudio. Por ello, para cada sistema, es fundamental determinar la masa o concentración adecuada del fotocatalizador para optimizar el proceso de degradación.

Mecanismo de degradación

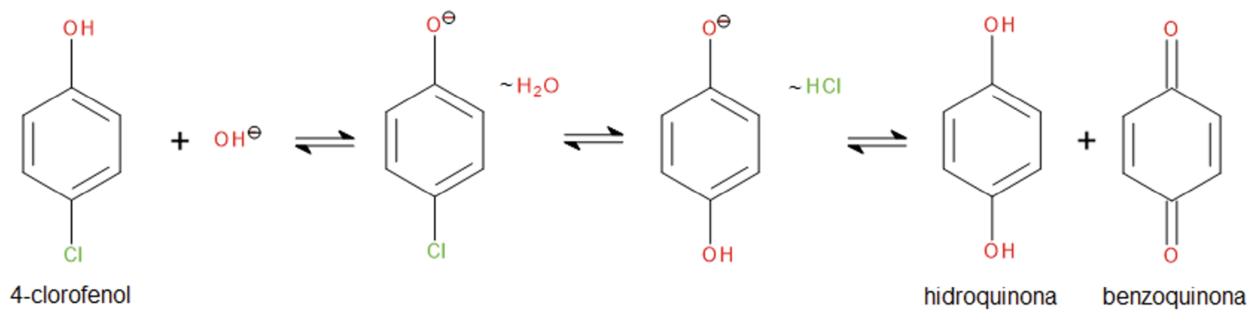
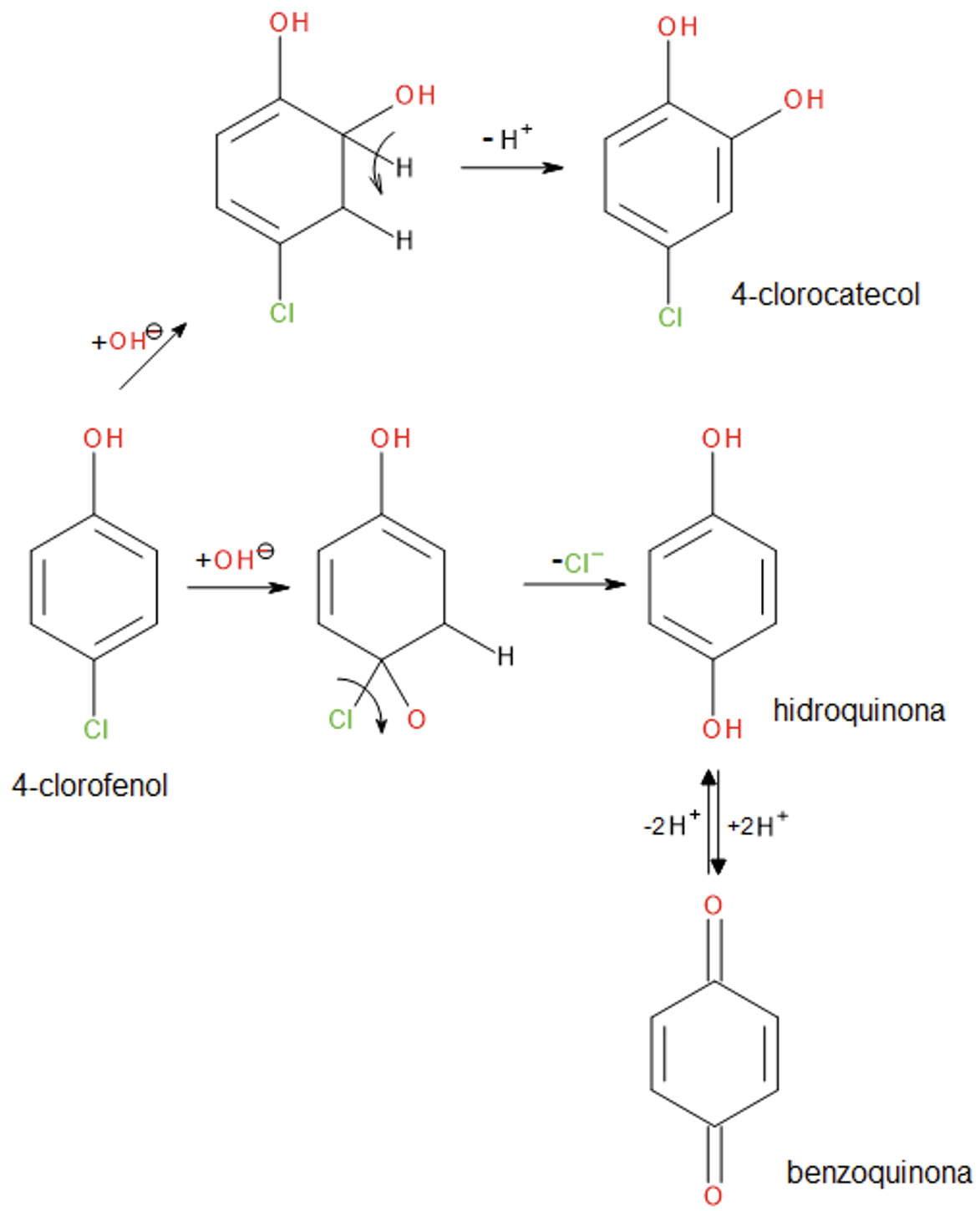
Satuf et al. (2008) realizaron un estudio similar, con la diferencia de que ellos agregaron ácido perclórico a la disolución de 4-clorofenol con TiO₂, ya que un medio ácido favorece la degradación del compuesto. Propusieron que los compuestos intermedios formados durante el proceso son 4-clorocatecol, hidroquinona y benzoquinona (véanse las Figuras A8 y A9).

El artículo también menciona que, al absorber luz UV, el TiO₂ permite que un electrón se excite desde la banda de valencia a la banda de conducción, dejando un hueco positivo en la primera. Para evitar la recombinación de estos portadores de carga —lo que resultaría en pérdida de energía como calor—, es necesario “atrapar” a los electrones y “llenar” los huecos. Los electrones pueden ser atrapados por moléculas de oxígeno, generando radicales superóxido (•O₂⁻), mientras que los huecos pueden ser llenados por moléculas de agua o iones hidroxilo, lo que conduce a la formación de radicales hidroxilo (•OH).

Finalmente, se indica que, una vez completada la fotodegradación del 4-clorofenol, los productos resultantes son agua (H₂O), dióxido de carbono (CO₂) y ácido clorhídrico (HCl).

Figura A8. Mecanismo de reacción propuesto para el 4-clorofenol en medio ácido por Satuf et al. (2008).

Figura A9. Esquema simplificado del mecanismo de la degradación fotocatalítica (luz UV) del 4-clorofenol.

Conclusiones

El uso de TiO₂ como fotocatalizador para la eliminación de contaminantes en el agua, como el 4-clorofenol, demuestra un gran potencial para enfrentar los problemas de contaminación ambiental. Su eficacia en la degradación de compuestos orgánicos tóxicos mediante fotocatálisis destaca su papel central en los procesos de purificación del agua. Su capacidad para descomponer contaminantes en productos menos perjudiciales, utilizando incluso la luz solar como fuente de energía, constituye una solución sostenible y respetuosa con el medio ambiente.

En resumen, esta práctica ilustra el uso del TiO₂ como fotocatalizador para la eliminación de contaminantes como el 4-clorofenol. El trabajo realizado por estudiantes de licenciatura es integral, ya que muestra las ventajas del uso de un fotocatalizador y cómo caracterizarlo. Asimismo, enseña técnicas espectroscópicas para monitorear la degradación del contaminante en función del tiempo. Las herramientas y los conocimientos aplicados están en concordancia con los temas abordados en la UEA Introducción a la Ciencia de los Nanomateriales, por lo que esta práctica representa una forma atractiva de motivar a estudiantes a profundizar en este campo.

Referencias

Badanthadka, M., y Mehendale, H. M. (2014). Chlorophenols. En P. Wexler (Ed.), Encyclopedia of Toxicology (3.ª ed., pp. 896–899). Academic Press. https://doi.org/10.1016/B978-0-12-386454-3.00281-5

Escobar-Alarcón, L., y Solís-Casados, D. A. (2020). Desarrollo de fotocatalizadores basados en TiO₂ en forma de película delgada para la degradación de moléculas orgánicas en solución acuosa. Mundo Nano. Revista Interdisciplinaria en Nanociencias y Nanotecnología, 14(26), 1e–23e. https://doi.org/10.22201/ceiich.24485691e.2021.26.69646

Garba, Z. N., Zhou, W., Lawan, I., Xiao, W., Zhang, M., Wang, L., Chen, L., y Yuan, Z. (2019). An overview of chlorophenols as contaminants and their removal from wastewater by adsorption: A review. Journal of Environmental Management, 241, 59–75. https://doi.org/10.1016/j.jenvman.2019.04.004

Gonçalves, M. C., Pereira, J. C., Matos, J. C., y Vasconcelos, H. C. (2018). Photonic band gap and bactericide performance of amorphous sol-gel titania: An alternative to crystalline TiO₂. Molecules, 23(7), 1685. https://doi.org/10.3390/molecules23071685

Hadjiivanov, K. (1998). FTIR study of CO and NH₃ co-adsorption on TiO₂ (rutile). Applied Surface Science, 135(1), 331–338. https://doi.org/10.1016/S0169-4332(98)00298-0

Hoffmann, M. R., Martin, S. T., Choi, W., y Bahnemann, D. W. (1995). Environmental applications of semiconductor photocatalysis. Chemical Reviews, 95(1), 69–96. https://doi.org/10.1021/cr00033a004

Loddo, V., Bellardita, M., Camera-Roda, G., Parrino, F., y Palmisano, L. (2018). Heterogeneous photocatalysis: A promising advanced oxidation process. En A. Basile, S. Mozia, & R. Molinari (Eds.), Current Trends and Future Developments on (Bio-) Membranes (pp. 1–43). Elsevier. https://doi.org/10.1016/B978-0-12-813549-5.00001-3

Lourduraj, S. (2020). Titanium dioxide versatile solid crystalline: An overview. En D. Rajendra Sukhjadeorao & P. Dilip Rankrishna (Eds.), Assorted Dimensional Reconfigurable Materials (cap. 3). IntechOpen. https://doi.org/10.5772/intechopen.92056

Mikrut, P., Kobielusz, M., Indyka, P., y Macyk, W. (2020). Photocatalytic activity of TiO₂ polymorph B revisited: Physical, redox, spectroscopic, and photochemical properties of TiO₂(B)/anatase series of titanium dioxide materials. Materials Today Sustainability, 10, 100052. https://doi.org/10.1016/j.mtsust.2020.100052

Satuf, M. L., Brandi, R. J., Cassano, A. E., y Alfano, O. M. (2008). Photocatalytic degradation of 4-chlorophenol: A kinetic study. Applied Catalysis B: Environmental, 82(1), 37–49. https://doi.org/10.1016/j.apcatb.2008.01.003

Zambrano, J., Irusta-Mata, R., Jiménez, J. J., Bolado, S., y García-Encina, P. A. (2022). Photocatalytic removal of emerging contaminants in water and wastewater treatments: A review. En M. Shah, S. Rodriguez-Couto, & J. Biswas (Eds.), Development in Wastewater Treatment Research and Processes (pp. 543–572). Elsevier. https://doi.org/10.1016/B978-0-323-85583-9.00023-5



Recepción: 2024-10-02. ▪ Aceptación: 2025-04-01.

Cómo citar:

Jiménez Martínez, D. O., Portillo Vélez, N. S., Tzompantzi Morales, F. J., Martínez Cruz, M. Á., Herrera Zuñiga, L. D., y Peralta Ávila, R. A. (2025, julio-septiembre). Experimento integrador hacia la Ciencia de los Nanomateriales: Fotodegradación de 4-Clorofenol con TiO2. Educación Química, 36(3). https://doi.org/10.22201/fq.18708404e.2025.3.89767


[a] Escuela Superior de Ingeniería Mecánica y Eléctrica, Instituto Politécnico Nacional, México.

[b] Departamento de Química, Universidad Autónoma Metropolitana-Iztapalapa, México.

[c] Departamento de Ciencias Naturales, Universidad Autónoma Metropolitana-Cuajimalpa, México.