Carlos Orlando Soria,[a] Carlos Orlando Soria,[b] y Nanci Mariel Farias[a]
Resumen
El Principio de Le Châtelier (PLC), ampliamente utilizado para explicar el equilibrio químico en la enseñanza de química, ha sido objeto de críticas por su supuesta falta de fundamento termodinámico. A pesar de ello, continúa apareciendo en libros de texto como herramienta cualitativa útil. Este artículo examina su validez mediante un análisis numérico de la síntesis de amoníaco en diferentes condiciones (temperatura, presión y volumen constantes o variables), usando datos experimentales y herramientas computacionales.
Palabras clave:
equilibrio químico, principio de Le Châtelier, síntesis del amoníaco, constante de equilibrio (Kp), didáctica de la química.
The Games of Chemical Equilibrium – Part I
Abstract
The Le Châtelier Principle (LCP), widely used to explain chemical equilibrium in chemistry education, has been criticized for its supposed lack of thermodynamic foundation. Despite this, it continues to appear in textbooks as a useful qualitative tool. This article examines its validity through a numerical analysis of ammonia synthesis under different conditions (constant or variable temperature, pressure, and volume), using experimental data and computational tools.
Keywords:
chemical equilibrium, Le Châtelier principle, ammonia synthesis, equilibrium constant (Kp), chemistry education.
Para la enseñanza y práctica del equilibrio químico en cursos iniciales de carreras afines, se recurre con frecuencia al llamado “Principio de Le Châtelier” (PLC), formulado en 1884. La categoría de este enunciado como principio ha sido cuestionada por autores como Ehrenfest (1911), Posthumus (1933), Planck (1934), de Heer (1957), Katz (1961), Solaz y Quílez (1995) y Quílez (2004, 2022), quienes critican su falta de fundamento desde el punto de vista termodinámico.
No obstante, dicho principio sigue presente en libros de texto tanto de nivel introductorio como avanzado, donde en ocasiones aparece como “ley del equilibrio” con justificación termodinámica (van Driel & Gräber, 2002). En este sentido, es pertinente diferenciarlo de la denominada “ley de acción de masas”, más vinculada con un enfoque cinético (Guldberg & Waage, 1867).
Nuestra propuesta didáctica parte del concepto de reacciones incompletas, centradas en el alcance de estados estacionarios particulares. Reconocemos que las formas en que el PLC suele enunciarse, como:
“...si un sistema en equilibrio se somete a un cambio, el sistema se ajustará para oponerse parcialmente al efecto del cambio...”
o
“... si se impone un cambio en un sistema en equilibrio, la posición del equilibrio se desplazará en una dirección que tiende a reducir ese cambio...”
presentan cierto grado de vaguedad, además de la falta de soporte mencionada. Sin embargo, consideramos que su utilidad cualitativa, especialmente como herramienta inicial en la enseñanza del equilibrio, no debe ser desdeñada.
En este trabajo se discute el respaldo termodinámico del PLC y su utilidad práctica, a partir de cálculos que cuestionan, al menos parcialmente, las críticas relacionadas con predicciones erróneas. La falta de evidencia experimental que sustente dichas objeciones puede haber impedido alcanzar consensos sólidos.
Se parte de un “equilibrio genérico”, obtenido bajo condiciones similares a datos experimentales, y se analiza su comportamiento ante la variación de distintos parámetros. A través del cociente de reacción (Q), la constante de equilibrio (Keq) y/o la presión total (Pt), se evalúa cómo y en qué sentido dichas alteraciones modifican el sistema.
Se realiza un análisis numérico utilizando ejemplos discutidos por algunos de los autores previamente citados. Las resoluciones de las ecuaciones polinómicas se efectuaron con el software Qalculate! (Hanna Knutsson, 2023) y se verificaron mediante el Solver de WolframAlpha (Wolfram, 2024).
A) Consideremos la reacción, a temperatura y volumen constantes:
N2(g) + 3H2(g) ⇌ 2NH3(g)
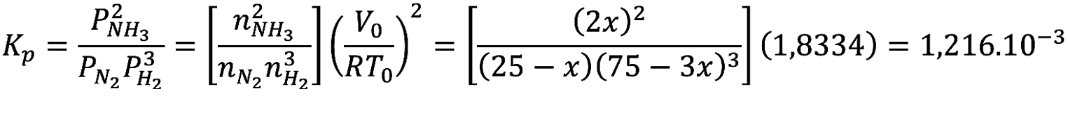
partiendo de las siguientes condiciones iniciales: T0 = 900 K, nN2 = 25 mol, nH2 = 75 mol y V0 = 100 L. El valor de Kp estimado es 1,216.10-3 a esa temperatura (Haynes, Lide y Bruno, 2016). La presión inicial calculada será P0 = 73,854 atm.
Construyendo la tabla de equilibrio en términos de moles:
Tabla 1. situación de equilibrio.
|
nH2 |
nN2 |
nNH3 |
nt |
|
|
inicial |
25 |
75 |
0 |
100 |
|
en juego |
- x |
- 3x |
+ 2x |
- 2x |
|
en equilibrio |
25 - x |
75 - 3x |
2x |
100 - 2x |
que permite resolver la expresión de Kp:
La resolución da x = 11,75 mol. En equilibrio: nN₂ = 13,25 mol, nH₂ = 39,75 mol, nNH₃ = 23,50 mol, nt = 76,50 mol, XN₂ = 0,1732 y Pt = 56,457 atm. Este será nuestro sistema en equilibrio inicial.
a) Al añadir una cantidad de N₂ equivalente a la presente en el equilibrio, se tiene: nH₂ = 26,5 mol, XN₂ = 0,2953 y Pt = 66,28 atm. Según el PLC, el equilibrio debería desplazarse hacia los productos. Con base en el nuevo balance (Tabla 2), se obtiene:
Tabla 2. Situación de equilibrio al primer añadido.
|
NH2 |
nN2 |
nNH3 |
nt |
|
|
inicial |
13,25 + 13,25 |
39,75 |
23,50 |
89,75 |
|
en juego |
- x |
- 3x |
+ 2x |
- 2x |
|
en equilibrio |
26,5 - x |
39,75 - 3x |
23,50 + 2x |
89,75 - 2x |
Resolviendo: x = 1.5753; así, nN₂ = 24,9247 mol, nH₂ = 35,0241 mol, nNH₃ = 26,6506 mol, nt = 86,5994 mol, XN₂ = 0,2878 y Pt = 63,9571 atm. Las variaciones en moles, presión total y fracción molar de N₂ indican un desplazamiento hacia los productos.
Se calculan valores para una serie de añadidos crecientes de N₂ al sistema en equilibrio inicial (Tabla 3).
Tabla 3. Situación de equilibrio ante sucesivos añadidos.
|
nN2 añadidos/(fracción molar) |
nt al añadir |
Pt (atm)al añadir |
nN2 en el equil. (fracción molar) |
nt (mol) en el equilibrio |
Pt (atm) en el equilibrio |
|
0,00 (0,2500) |
100,00 |
73,850 |
26,50 (0,1732) |
76,50 |
56,457 |
|
13,25 (0,2953) |
89,75 |
66,284 |
24,92 (0,2878) |
86,60 |
63,957 |
|
20,00 (0,3445) |
96,50 |
71,269 |
31,13 (0,3374) |
92,27 |
68,145 |
|
25,00 (0,3768) |
101,5 |
74,962 |
35,80 (0,3706) |
96,59 |
71,339 |
|
30,00 (0,4061) |
106,5 |
78,654 |
40,50 (0,4010) |
101,00 |
74,593 |
|
35,00 (0,4327) |
111,5 |
82,347 |
45,24 (0,4289) |
105,49 |
77,907 |
|
40,00 (0,4571) |
116,5 |
86,039 |
50,01 (0,4543) |
110,07 |
81,293 |
|
45,00 (0,4794) |
121,5 |
89,732 |
54,80 (0,4782) |
114,60 |
84,639 |
|
50,00 (0,5000) |
126,5 |
93,425 |
59,61 (0,5000) |
119,23 |
88,056 |
|
55,00 (0,5190) |
131,5 |
97,118 |
64,44 (0,5201) |
123,87 |
91,483 |
|
60,00 (0,5366) |
136,5 |
100,81 |
69,27 (0,5389) |
128,547 |
94,937 |
|
70,00 (0,5682) |
146,5 |
108,20 |
78,98 (0,5724) |
137,970 |
101,896 |
|
80,00 (0,5958) |
156,5 |
115,581 |
88,73 (0,6017) |
147,47 |
108,912 |
Se observa que XN2 en equilibrio parece aumentar con cada adición de N₂, existiendo un valor (marcado en negrita) que sugiere una inversión del desplazamiento hacia reactivos. Sin embargo, los datos de moles y presión total contradicen esa interpretación: el comportamiento calculado concuerda con el PLC.
Se calculan fracciones y concentraciones molares antes y después del equilibrio (Tablas 4 y 5).
Tabla 4. Fracciones molares antes y después del equilibrio.
|
nN2 añadidos |
XN2 |
XH2 |
XNH3 |
|||
|
Antes |
Después |
Antes |
Después |
Antes |
Después |
|
|
0,00 |
0,2500 |
0,1732 |
0,7500 |
0,5196 |
0,0000 |
0,3072 |
|
13,25 |
0,2953 |
0,2878 |
0,4429 |
0,4044 |
0,2618 |
0,3077 |
|
20,00 |
0,3445 |
0,3374 |
0,4119 |
0,3620 |
0,2435 |
0,3006 |
|
25,00 |
0,3768 |
0,3706 |
0,3916 |
0,3353 |
0,2315 |
0,2941 |
|
30,00 |
0,4061 |
0,4010 |
0,3732 |
0,3120 |
0,2207 |
0,2870 |
|
35,00 |
0,4327 |
0,4289 |
0,3565 |
0,2913 |
0,2108 |
0,2798 |
|
40,00 |
0,4571 |
0,4543 |
0,3412 |
0,2730 |
0,2017 |
0,2725 |
|
45,00 |
0,4794 |
0,4782 |
0,3272 |
0,2566 |
0,1934 |
0,2652 |
|
50,00 |
0,5000 |
0,5000 |
0,3142 |
0,2418 |
0,1858 |
0,2582 |
|
55,00 |
0,5190 |
0,5201 |
0,3023 |
0,2285 |
0,1787 |
0,2513 |
|
60,00 |
0,5366 |
0,5389 |
0,2912 |
0,2164 |
0,1722 |
0,2447 |
|
70,00 |
0,5682 |
0,5724 |
0,2713 |
0,1954 |
0,1604 |
0,2322 |
|
80,00 |
0,5958 |
0,6017 |
0,2540 |
0,1777 |
0,1502 |
0,2206 |
Tabla 5. Concentraciones molares antes y después del equilibrio.
|
nN2 añadidos |
[N2] |
[H2] |
[NH3] |
|||
|
Antes |
Después |
Antes |
Después |
Antes |
Después |
|
|
0,00 |
0,2500 |
0,1325 |
0,7500 |
0,3975 |
0,0000 |
0,2350 |
|
13,25 |
0,2650 |
0,2335 |
0,3975 |
0,3030 |
0,2350 |
0,2980 |
|
20,00 |
0,3325 |
0,2902 |
0,3975 |
0,2705 |
0,2350 |
0,3197 |
|
25,00 |
0,3825 |
0,3334 |
0,3975 |
0,2503 |
0,2350 |
0,3331 |
|
30,00 |
0,4325 |
0,3776 |
0,3975 |
0,2327 |
0,2350 |
0,3448 |
|
35,00 |
0,4825 |
0,4224 |
0,3975 |
0,2171 |
0,2350 |
0,3552 |
|
40,00 |
0,5325 |
0,4677 |
0,3975 |
0,2032 |
0,2350 |
0,3645 |
|
45,00 |
0,5825 |
0,5135 |
0,3975 |
0,1906 |
0,2350 |
0,3729 |
|
50,00 |
0,6325 |
0,5597 |
0,3975 |
0,1791 |
0,2350 |
0,3806 |
|
55,00 |
0,6825 |
0,6062 |
0,3975 |
0,1686 |
0,2350 |
0,3876 |
|
60,00 |
0,7325 |
0,6530 |
0,3975 |
0,1589 |
0,2350 |
0,3941 |
|
70,00 |
0,8325 |
0,7472 |
0,3975 |
0,1416 |
0,2350 |
0,4056 |
|
80,00 |
0,9325 |
0,8422 |
0,3975 |
0,1265 |
0,2350 |
0,4157 |
Los resultados indican que la fracción molar de N₂ presenta un comportamiento anómalo, a diferencia de su concentración molar. El comportamiento de H₂ y NH₃ sí coincide con lo previsto por el PLC.
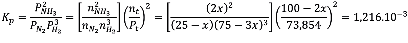
b) Al cambiar las condiciones a temperatura y presión constantes, dejando el volumen como variable (por ejemplo, en un cilindro con pistón), se modifica la expresión de Pt:
Esto altera la expresión de Kp:
Retomando las condiciones anteriores: T₀ = 900 K, nN₂ = 25 mol, nH₂ = 75 mol, P₀ = 73,854 atm, V₀ = 100 L.
Tabla 6. Situación de equilibrio.
|
N2 |
3 H2 |
2 NH3 |
nt |
|
|
inicial |
25 |
75 |
0 |
100 |
|
en juego |
- x |
- 3x |
+ 2x |
- 2x |
|
en equilibrio |
25 - x |
75 - 3x |
2x |
100 - 2x |
que llevada a la expresión de Kp se tiene
Resolviendo: x = 13 mol. Así, nN₂ = 12 mol, nH₂ = 36 mol, nNH₃ = 26 mol, nt = 74 mol, XN₂ = 0,162, V = 73,98 L.
a) Al añadir una cantidad igual de N₂, se tiene: nN₂ = 24 mol, nt = 86 mol, XN₂ = 0.2790, V = 86 L. Según Le Châtelier, el equilibrio debe desplazarse hacia productos. Calculando el nuevo equilibrio:
Tabla 7. Situación tras añadido.
|
N2 |
3 H2 |
2 NH3 |
nt |
|
|
inicial |
12 + 12 |
36 |
26 |
86 |
|
en juego |
- x |
- 3x |
+ 2x |
- 2x |
|
en equilibrio |
24 - x |
36 - 3x |
26 + 2x |
86 - 2x |
Resolviendo se obtiene x = 0,978 mol; así, nN₂ = 11,02 mol, nH₂ = 33,07 mol, nNH₃ = 37,96 mol, nt = 82,04 mol, XN₂ = 0,2739 y V = 82,04 L. Se observa desplazamiento hacia productos y una contracción de volumen.
Tabla 8. Equilibrios ante sucesivos añadidos.
|
nN2 añadidos |
nN2 (fracción molar) |
nt al añadir |
V (L) al añadir |
nN2 en el equil.(fracción molar) |
V (L) en el equilibrio |
|
0,00 |
25 (0,2500) |
100,00 |
100,00 |
12,00 (0,1621) |
73,98 |
|
12 ,00 |
24 (0,2791) |
86,00 |
86,00 |
23,02 (0,2740) |
84,03 |
|
20,00 |
32 (0,3404) |
94,00 |
94,00 |
30,74 (0,3361) |
91,46 |
|
30,00 |
42 (0,4038) |
104,00 |
104,00 |
40,55 (0,4011) |
101,10 |
|
40,00 |
52 (0,4561) |
114,00 |
114,00 |
50,47 (0,4550) |
110,94 |
|
45,00 |
57(0,4790) |
119,00 |
119,00 |
55,46 (0,4785) |
115,91 |
|
50,00 |
62 (0,5000) |
124,00 |
124,00 |
60,45 (0,5000) |
120,90 |
|
55,00 |
67 (0,5194) |
129,00 |
129,00 |
65,46 (0,5199 |
125,91 |
|
60,00 |
72 (0,5373) |
134,00 |
134,00 |
70,47 (0,5382) |
130,93 |
|
70,00 |
82 (0,5694) |
144,00 |
144,00 |
80,50 (0,5710) |
141,00 |
|
80,00 |
92 (0,5974) |
154,00 |
154,00 |
90,55 (5993) |
151,10 |
Tabla 9. Fracciones molares antes y después del equilibrio.
|
nN2 añadidos |
XN2 |
XH2 |
XNH3 |
|||
|
Antes |
Después |
Antes |
Después |
Antes |
Después |
|
|
0,00 |
0,2500 |
0,1621 |
0,7500 |
0,4865 |
0,0000 |
0,3072 |
|
12,00 |
0,2791 |
0,2740 |
0,4429 |
0,4044 |
0,2618 |
0,3077 |
|
20,00 |
0,3404 |
0,3361 |
0,4119 |
0,3620 |
0,2435 |
0,3006 |
|
30,00 |
0,4038 |
0,4011 |
0,3732 |
0,3120 |
0,2207 |
0,2870 |
|
40,00 |
0,4561 |
0,4550 |
0,3412 |
0,2730 |
0,2017 |
0,2725 |
|
45,00 |
0,4790 |
0,4785 |
0,3272 |
0,2566 |
0,1934 |
0,2652 |
|
50,00 |
0,5000 |
0,5000 |
0,3142 |
0,2418 |
0,1858 |
0,2582 |
|
55,00 |
0,5194 |
0,5199 |
0,3023 |
0,2285 |
0,1787 |
0,2513 |
|
60,00 |
0,5373 |
0,5382 |
0,2912 |
0,2164 |
0,1722 |
0,2447 |
|
70,00 |
0,5694 |
0,5710 |
0,2713 |
0,1954 |
0,1604 |
0,2322 |
|
80,00 |
0,5974 |
0,5993 |
0,2540 |
0,1777 |
0,1502 |
0,2206 |
Como en el caso A), XN₂ muestra un comportamiento anómalo.
Las críticas al PLC, basadas en trabajos de Ehrenfest, Posthumus, de Heer, Quílez, entre otros, se sustentan principalmente en desarrollos termodinámicos que, para esta síntesis a presión constante, derivan en:
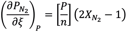
Donde Pj, nj y νj representan presión parcial, cantidad de moles y coeficiente estequiométrico, respectivamente, y ξ es el grado de avance. Para el amoníaco, con νN₂ = –1 y Σν = –2:
o, usando la fracción molar X, en
Si el primer miembro es negativo (lo que ocurre si ∂PN₂ < 0 y ∂ξ > 0), esto solo se cumple si XN₂ < 0.5, en concordancia con el PLC. Si XN₂ > 0.5, ∂ξ < 0 y el equilibrio se desplaza hacia reactivos. Esta observación se confirma en los cálculos de la Tabla 8.
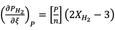
Considerando las especies H₂ y NH₃:
y
Si este equilibrio, ante el agregado de reactivos a presión constante, ha de desplazarse hacia productos, se concluye que siendo ∂PH₂ < 0 y ∂PNH₃ > 0, entonces ∂ξ > 0 para ambos, en coherencia con el PLC. Esto refuta la supuesta inconsistencia y es lo que se observa en los resultados de la Tabla 9. El comportamiento anómalo de XN₂, al incrementarse significativamente nN₂, no debería ser el único argumento para invalidar el PLC, sin considerar el comportamiento del resto de los componentes. Resulta razonable, entonces, considerar que sólo una parte del reactivo añadido participa del equilibrio en tanto que el resto se utiliza en expandir el sistema.
El análisis numérico de una reacción química en equilibrio —como la síntesis del amoníaco— permite cuestionar algunas críticas al Principio de Le Châtelier. Además respalda su uso como herramienta didáctica, empleada en esta forma de análisis, para prever la evolución del equilibrio ante perturbaciones del sistema.
Banerjee, A. C. (1991). Misconceptions of students and teachers in chemical equilibrium. International Journal of Science Education, 13(4), 437–446. https://doi.org/10.1080/0950069910130411
De Heer, J. (1957). The principle of Le Chatelier and Braun. Journal of Chemical Education, 34(7), 375–380. https://doi.org/10.1021/ed034p375
Ehrenfest, P. (1911). Das Prinzip von Le Chatelier-Braun und die Reciprocitätssätze der Thermodynamik. Zeitschrift für Physikalische Chemie, 77, 227–244.
Guldberg, C. M., & Waage, P. (1867). Études sur les affinités chimiques. Christiania University.
Haynes, W. M., Lide, D. R., & Bruno, T. J. (Eds.). (2016). CRC handbook of chemistry and physics: A ready-reference book of chemical and physical data (97th ed.). CRC Press. https://doi.org/10.1201/9781315380476
Katz, L. (1961). A systematic way to avoid Le Chatelier’s principle in chemical reactions. Journal of Chemical Education, 38(7), 375–378. https://doi.org/10.1021/ed038p375
Knuttson, H. (2023). Qalculate!. https://qalculate.github.io/
Le Chatelier, H. L. (1884). Sur un énoncé général des lois des équilibres chimiques [About a general expression of the laws of chemical equilibrium]. Comptes Rendus de l’Académie des Sciences, 99, 786–789.
Munson, B. R., & Cayard, M. S. (2018). Thermodynamic derivations of various ammonium salt deposition equations common to the refining industry. Corrosion, 74(10), 1158–1163. https://doi.org/10.5006/2855
Nakhleh, M. (1992). Why some students don’t learn chemistry: Chemical misconceptions. Journal of Chemical Education, 69(3), 191–196. https://doi.org/10.1021/ed069p191
Nelson, P. G. (2021). A simple treatment of chemical equilibrium. Foundations of Chemistry, 23, 397–405. https://doi.org/10.1007/s10698-021-09404-9
Posthumus, K. (1933). The application of the van’t Hoff–Le Chatelier–Braun principle to chemical equilibria II. Recueil des Travaux Chimiques des Pays-Bas, 52, 25–35. https://doi.org/10.1002/recl.19340530403
Quílez, J. (2004). Changes in concentration and in partial pressure in chemical equilibria: Students’ and teachers’ misunderstandings. Chemical Education Research and Practice, 5(3), 281–300. https://doi.org/10.1039/B3RP90033A
Quílez, J. (2022). Aproximación histórica al principio de Le Châtelier: aceptación, cuestionamiento, problemas de enseñanza y dificultades de aprendizaje. Implicaciones didácticas. Anales de Química, 118(3), 185–191. https://analesdequimica.es/index.php/AnalesQuimica/article/view/1803
Satriana, T., Yamtinah, S., Ashadi, & Indriyanti, N. (2018). Student’s profile of misconception in chemical equilibrium. Journal of Physics: Conference Series, 1097, 012066. https://doi.org/10.1088/1742-6596/1097/1/012066
Solaz-Portolés, J., & Quílez, J. (1995). Thermodynamics and the Le Chatelier’s principle. Revista Mexicana de Física, 41, 128–138. https://rmf.smf.mx/ojs/index.php/rmf/article/view/2482
van Driel, J. H., & Gräber, W. (2002). The teaching and learning of chemical equilibrium. En J. K. Gilbert, O. De Jong, R. Justi, D. F. Treagust, & J. H. van Driel (Eds.), Chemical education: Towards research-based practice (pp. 271–292). Springer. https://doi.org/10.1007/0-306-47977-X_12
Wolfram. (2024). Equation Solver Calculator. https://es.wolframalpha.com/calculators/equation-solver-calculator
Recepción: 2024-09-17. ▪ Aceptación: 2025-01-08.
Cómo citar:
Soria, C. O., Martinez Stagnaro, S. Y., y Farias, N. M.. (2025, julio-septiembre). Los juegos del equilibrio químico – Parte I. Educación Química, 36(3). https://doi.org/10.22201/fq.18708404e.2025.3.89651
[a] Departamento de Química, Facultad de Ingeniería, Universidad Nacional del Comahue, Argentina.
[b] Departamento de Fisicoquímica y Control de Calidad, Complejo Tecnológico Pilcaniyeu, Centro Atómico Bariloche, Comisión Nacional de Energía Atómica, Argentina.