https://doi.org/10.22201/fq.18708404e.2025.1.88625

Reflexión

Balanceo de ecuaciones químicas: un método algebraico con Gauss-Jordán y herramientas computacionales

Victor González[a], Darwin Jaque-Puca[a], Irene Hidalgo[b], Brayan Urbano[b] y Martha González[c]

Resumen

El balanceo de ecuaciones químicas, piedra angular de la química, ha impulsado el desarrollo de diversos métodos, entre los que se encuentran el algebraico con Gauss-Jordán y el software computacional. Este estudio demuestra eficacia del método algebraico de Gauss-Jordán y el software computacional como una herramienta para el balanceo de ecuaciones químicas. Se propone un método manual simplificado y un programa de computadora que aporta información adicional, sin olvidar la importancia de optimizar el tiempo en el aprendizaje. El artículo describe el uso del método de Gauss-Jordán para balancear ecuaciones químicas, comparado con otros métodos como el tanteo y el vectorial. Se presenta el software WolframAlpha, EBAS-equation balancer® y Matlab para el balanceo automático de ecuaciones, resaltando la importancia de la enseñanza y el aprendizaje del balanceo de ecuaciones químicas en la formación de los estudiantes universitarios.

Palabras clave:

reacción química, ecuaciones químicas, balanceo, métodos, algebraico, Gauss-Jordán, software, aprendizaje.

Balancing Chemical Equations: An Algebraic Method with Gauss-Jordan and Computational Tools

Abstract

Balancing chemical equations, a cornerstone of chemistry, has driven the development of various methods, including the algebraic Gauss-Jordan method and computational software. This study demonstrates the effectiveness of the algebraic Gauss-Jordan method and computational software as a tool for balancing chemical equations. A simplified manual method and a computer program that provides additional information are proposed, without neglecting the importance of optimizing learning time. The article describes the use of the Gauss-Jordan method for balancing chemical equations, compared to other methods such o trial and error and the vector method. The software WolframAlpha, EBAS-equation balancer®, and Matlab are presented for automatic equation balancing, highlighting the importance of teaching and learning equation balancing in the training of university students.

Keywords:

chemical reaction, chemical equations, balancing, methods, algebraic, Gauss-Jordan, software, learning.




Introducción

La química, se ha universalizado en los sistemas educativos, desde bachillerato hasta universidad. Orientada como una de las ciencias bases, que brinda soporte a diversas áreas del conocimiento, como: ingeniería química, petroquímica, alimentos, medicina, agrícola, pecuaria y medioambiente. Estudiantes que cursen cualquier sistema educativo se encontrarán con la asignatura de química y seguramente con las ecuaciones químicas. Estos estarían balanceando mediante el método del tanteo, es decir prueba y error de los coeficientes estequiométricos, este esfuerzo no produce ningún beneficio y demanda de mucho tiempo de dedicación, cuando un número moderado de especies químicas (8 o más) están involucradas en una ecuación química determinada, la tarea es casi imposible de resolver mediante prueba y error. Por tanto, son necesarios algunos métodos especiales. Como el método de oxidación, método ion-electrón, y el método matricial (Campanario, 1995). De hecho, muy a menudo los estudiantes de química memorizan ecuaciones químicas importantes con el fin de obtener un buen desempeño en una prueba/examen con un tiempo determinado (Sen, Agarwal y Sen, 2006).

Las ecuaciones químicas son representaciones simbólicas de reacciones químicas que utilizan átomos, elementos, compuestos o iones (Chang y Goldsby, 2017). Estas reacciones transforman la materia, combinando elementos, y descompone compuestos en elementos (Gaffney, 2018). Las transformaciones químicas son proceso en los que los átomos se reordenan, formando nuevas sustancias sin cambiar la cantidad de átomos de cada elemento, un principio conocido como ley de conservación de la materia. El equilibrio químico de una reacción se describe mediante ecuaciones químicas balanceadas, donde los coeficientes estequiométricos corresponden a las proporciones en las que reaccionan las sustancias involucradas (Soleimani et al., 2015). Una ecuación química muestra de manera simbólica la relación entre los reactivos y los productos de una reacción química. Utiliza símbolos químicos y coeficientes para representar las cantidades relativas de las sustancias involucradas. Esto es una forma de representación matemática porque usa notación matemática para expresar las proporciones y el equilibrio de la reacción. (Risteski, 2009). Se buscan nuevos métodos dinámicos, sencillos y operativos para balancearlas.

Existen varios métodos para balancear ecuaciones químicas, que presentan ciertas limitaciones y diversos grados de complejidad. Los métodos más usados es el de inspección o tanteo, oxidación-reducción, algebraico (análisis matricial asistido por computadora/calculadora) y el de ion-electrón (OpenStax College, 2022). Balancear una ecuación química es análoga a equilibrar, una barra sobre un punto de apoyo colocando pesas en el lado derecho (ciMi o xiWi) e izquierdo (cjMj o xjWj) de la barra para obtener el equilibrio cero, es decir, que la barra este horizontal, donde ci o cj y Mi o Mj son respectivamente, los coeficientes estequiométricos y las masas molares de los reactivos y productos. En ambos sistemas, las soluciones pueden ser infinitas. Esto significa que puede haber diferentes conjuntos de coeficientes (ci o cj) y posiciones (xi o xj) que balanceen la ecuación (Phillips, 1998). Este hecho puede ser útil para organizar datos de ecuaciones balanceadas en una forma más compacta y comprensible.

En la actualidad, se busca establecer un método único para balancear manualmente cualquier ecuación química (Chang y Goldsby, 2017). Cuando la complejidad de la ecuación o la cantidad de ecuaciones a balancear sea considerable, se recomienda usar programas de computadora (Castelló, 1996). Los avances en el software matemático, particularmente MATLAB y R, han transformado la práctica de la resolución de sistemas algebraicos. Estas herramientas computacionales facilitan la implementación de métodos numéricos clásicos, como la eliminación de Gauss, matrices inversas y método de Gauss-Jordán, para obtener soluciones exactas o aproximadas a sistemas de ecuaciones lineales. En el ámbito de la química, su aplicación se extiende al balance de ecuaciones químicas, demostrando su versatilidad (Méndez Gutiérrez et al., 2024). Este trabajo presenta soluciones tanto manuales como computacionales para el balanceo de ecuaciones químicas, adaptándose a las necesidades de cada caso.

El método Gauss-Jordán permite a los estudiantes de química balancear ecuaciones químicas mediante la creación de un sistema homogéneo de ecuaciones lineales. Este método es efectivo para reacciones tanto básicas como complejas, y no requiere un alto nivel de comprensión matemática. El objetivo es encontrar la cantidad mínima de reactivos y productos que se necesitan para que la reacción sea posible. Si la reacción es improbable, todos los coeficientes serán cero. El método Gauss-Jordán es una herramienta útil para analizar mecanismos de ecuaciones lineales y determinar el coeficiente de cada compuesto en una ecuación química (Udawat et al., 2022). Este método ha sido objeto de investigación y se ha demostrado que es efectivo para balancear ecuaciones químicas.

El objetivo de este manuscrito es balancear ecuaciones químicas utilizando el método algebraico de Gauss-Jordán y herramientas computacionales. Para lograrlo, se revisó la literatura para la aplicación de técnicas avanzadas de balanceo de ecuaciones químicas, tanto manuales como computacionales. Este estudio integrará mecanismos matemáticos y tecnológicos con el propósito de evaluar la eficacia de estos métodos y seleccionar el más adecuado para facilitar la comprensión y aplicación del balanceo de ecuaciones químicas para el nivel universitario. priorizando la optimización del tiempo de aprendizaje. La pregunta de investigación que guía este estudio es: ¿Cuál de los métodos evaluados (Gauss-Jordán o herramientas computacionales) resulta más eficiente y didáctico para el balanceo de ecuaciones químicas en estudiantes universitarios?

Metodología

Balanceo de ecuaciones químicas por el método algebraico/aritmético.

Procedimiento para el balanceo de una ecuación química (Chang y Goldsby, 2017; Organización de Estados Americanos, 2017), se llevó a cabo mediante los siguientes pasos:

A) Identificar todos los reactivos y productos, y se escriben sus fórmulas correctas. B) Escribir antes de cada molécula, compuesto o elemento una letra, siguiendo un orden lógico o alfabético. C) Enlistar verticalmente los átomos que participan en la reacción química. D) A la derecha del símbolo de cada átomo que participa se escribe el número de veces que el elemento se encuentra en cada molécula identificada por la letra. E) Si en un lado de la ecuación un elemento se encuentra en más de una molécula, se suma y se escribe cuantas veces está presente en la molécula. F) Se cambia la flecha por el signo igual (=). G) Se enlistan las letras que representan las moléculas y a la letra más frecuente se le asigna el valor de uno. H) Los valores de las letras se obtienen con operaciones algebraicas. I)Se verifica la ecuación balanceada para asegurarse de que hay el mismo número total de cada tipo de átomos en ambos lados de la ecuación.

Balance de ecuaciones por el método de Gauss-Jordán

Representación y notación matemática de ecuaciones químicas.

Representación matemática de una ecuación química (Rincón y Garritz, 1997). Así: designan como {A1,……,Am } que representa al conjunto de los reactivos y {Am+1,……,An} al de los productos, la ecuación por balancear tiene la siguiente representacióΣn:

(1)

Donde n es el número total de especies químicas participantes de la reacción, x representan a los coeficientes estequiométricos, m de ellas son reactivos y n - m son productos.

En este caso particular la ecuación de coeficientes tiene la siguiente representación:

En una solución (S) de la ecuación 1, si y solo si satisface los balances en el número de átomos de cada elemento.

El problema es describir la colección de todas las soluciones de la ecuación 1, que se denota como “S”. Es decir S = { ̅x soluciones de la ecuación (1)}. Como es fácil de comprobar, S es un espacio vectorial contenido en ℝn. En efecto, si ̅X y ̅Y son soluciones particulares, también los son ( ̅X + ̅Y) y α( ̅X), ∀αɛℝ, y por supuesto Ō, es la solución trivial.

De la ecuación química (1) con n coeficientes y k elementos. Si se denomina Siɛ el número de átomos del elemento ɛ =1,…,k en la formula del compuesto i = 1, ... , n (o sea, Siɛ es el subíndice del elemento en la formula correspondiente), el sistema de k ecuaciones:

(2)

Esta es la ecuación general de balance del número de átomos, la tarea del método algebraico consiste en encontrar al conjunto de Xi que satisface este sistema.

Las ecuaciones (1) y (2) se puede representar en una fórmula compacta, para la representación de cualquier ecuación química.

(3)

Donde son coeficientes racionales desconocido, Ψi (1 ≤ in) son lo elementos químicos y aij (1 ≤ i, jn) son los números atómicos de los elementos (subíndices) Ψi en j-ésima molécula.

Sea que exista una ecuación química arbitraria de n elementos distintos y n moléculas

(4)

Donde . Entonces la expresión anterior se convierte en:

(5)

Los coeficientes satisfacen tres principios básicos (correspondientes a un modelo estático cerrado de entrada-salida.

Teorema 1. La ecuación química (3) se puede representar en la siguiente ecuación matricial.

Ax = 0,

(6)

Donde A = [aij]nxn esta es la matriz de una reacción química, xT = (x1, x2, ... , xn) esto es un vector columna de los coeficientes xj (1≤ j n y 0T = (0, 0, ... , 0) es un vector columna nulo de orden n, y T denota transpuesta.

Si desarrollamos las moléculas de la reacción (3) de forma explícita, entonces obtenemos la matriz de reacción a continuación se muestra:

Denotación de la ecuación general de la reacción química (Tang y Yang, 2021): Donde se considera un sistema general que consta de n especies moleculares (S1, S2, ... , Sn)que interactúan a través de {R1, R2, ..., Rm} diferentes canales de reacción . Entonces las ecuaciones estequiométricas de reacciones se representan con la ecuación (7):

xj1S1 + xj2S2 + ··· + xjnSnxj1S1 + xj2S2 + ··· + xjnSn

(7)

Donde xj1 son los coeficientes estequiométricos de la rección, para j = 1, 2, ..., m

Se aprecia claramente cómo estos modelos matemáticos explican la representación matemática de una ecuación química. Esta representación describe la estructura de contención de reactivos, productos, coeficientes estequiométricos y subíndice de los elementos que forman los compuestos químicos. Además, la ecuación química, al estar correctamente balanceada, cumple con la ley de conservación de la materia, la cual establece que la cantidad de materia no se crea ni se destruye en una reacción química.

Método de Gauss-Jordán

El método Gauss-Jordán es una técnica matemática robusta y precisa para resolver sistemas de ecuaciones lineales. Esta técnica también se puede aplicar al balanceo de ecuaciones químicas, ofreciendo un enfoque alternativo a los métodos manuales tradicionales. Este método proporciona resultados precisos y confiables. El método puede ser más eficiente que los métodos manuales especialmente para ecuaciones complejas.

El método de Gauss-Jordán se divide en dos fases: 1) Eliminación directa. Reduce la matriz a una forma escalonada o triangular, utiliza operadores de fila simples, y puede detectar si el sistema no tiene solución. 2) Sustitución inversa. Encuentra la solución al sistema de ecuaciones lineales, se basa en la descomposición LU de la matriz. La descomposición LU, la matriz inicial se multiplica por una matriz invertible. Se obtienen dos matrices: L (triangular inferior) y U (triangular superior). La matriz inicial es el producto de L y U (Udawat et al., 2022).

Método vectorial en R3

En el artículo ‘Balanceo de ecuaciones químicas usando propiedades de los vectores en el espacio tridimensional R3 (Ménez Gutiérrez et al., 2024), se explica el método de balanceo de ecuaciones químicas utilizando propiedades de los vectores en R3 y se ejemplifican los pasos a seguir. Este método se emplea para comparar con otros métodos de balanceo de ecuaciones químicas, tanto sencillas como complejas.

Método computacional

Durante los últimos 50 años, se han desarrollado diversos métodos computacionales para encontrar la inversa generalizada de una matriz. Entre estos métodos se incluyen: métodos iterativos como el de Newton, algoritmos finitos, descomposición en valores singulares y descomposición de rango completo (Ji, 2012). El método de Gauss-Jordán es particularmente útil para calcular la inversa de una matriz no singular y la inversa generalizada AT. Además, permite obtener la inversa L−U mediante expresiones explícitas o implícitas para AT. Esta metodología es adaptable para la resolución de ecuaciones lineales y también puede aplicarse al balanceo de ecuaciones químicas.

Las investigaciones previas sobre la paralelización del método de Gauss-Jordán han tenido un alcance limitado debido a las restricciones del hardware disponible. Sin embargo, las GPUs modernas, con su alta capacidad de procesamiento paralelo, ofrecen nuevas oportunidades para realizar el balanceo de ecuaciones químicas de manera más eficiente (Sharma et al., 2013). Además, el método puede adaptarse para aprovechar el potencial de las CPUs actuales, lo que permite un balanceo más rápido y eficaz de ecuaciones complejas.

Resultados y discusión

Desarrollo del método algebraico

Explicaremos el método algébrico tradicional para el balanceo de ecuaciones químicas, en el cual se utilizan métodos básicos de álgebra para la resolución de ecuaciones lineales, así como la sustitución, la eliminación y la igualación de coeficientes.

Ejemplo 1: Se considera la siguiente reacción de ácido -base (neutralización).

Fe(OH)3 + H2SO4 Fe2(SO4)3 + H2O

(8)

Donde el lado izquierdo de la flecha consta de compuestos o elementos llamados reactivos, mientras que el derecho corresponde a compuestos o elementos llamados productos.

Variables estequiométricas para el balance de la ecuación química:

x1Fe(OH)3 + x2H2SO4 x3Fe2(SO4)3 + x4H2O

(9)

En la ecuación (9) los coeficientes estequiométricos, están representados por x1, x2, x3 y x4 en la ecuación química, indican las proporciones en que reaccionan los cuatro elementos: hierro, oxígeno, hidrógeno y azufre. Estos elementos participan de la reacción química formando compuestos como el hidróxido de hierro (III) que reacciona con el ácido sulfúrico para formar moléculas de sulfato de hierro (III) y agua.

Paso 1. Enlistar las especies químicas que participan en la reacción de la ecuación (9) y en frente de estas se plantean las ecuaciones algebraicas, así:

Reactivos

Productos

Fe: x1 * 1 + x2 + 0 = x3 * 2 + x4 * 0 ⇒ x1 = 2x3

(10)

O: x1 * 3 + x2 * 4 = x3 * 12 + x4 * 1 ⇒ 3x1+ 4x2 = 12x3 + x4

(11)

H: x1 * 3 + x2 * 2 = x3 * 0 + x4 * 2 ⇒ 3x1+ 2x2 = 2x4

(12)

S: x1 * 0 + x2 = x3 * 3 + x4 * 0 ⇒ x2 = x3

(13)

Se han obtenido cuatro ecuaciones con cuatro incógnitas: x1, x2, x3 y x4. Para resolver estas ecuaciones, se puede utilizar cualquier método de resolución de ecuaciones lineales, como el método de sustitución, igualación o reducción.

Paso 2. Por definición y regla general en química, se debe dar valor a la variable que más se repita en las ecuaciones. Esto se debe a que esta variable es la que tiene mayor influencia en el resultado final. En este caso, la variable x1 es la que más se repite, por lo que se le asigna el valor de uno.

Paso 3. Resolución de las ecuaciones lineales, reemplazo del valor de x1 en la Ec. (10) y se obtiene el valor de x3: ⇒ x3 = 1/2

El valor de x3 reemplazo en la Ec. (13) y se obtiene el valor de x2: ⇒ x2 = 3/2

El valor de x1, x2 reemplazo en la Ec. (12) y obtiene el valor de x4: ⇒ 2x4 = 3 * 1 + 2 * 3/2 ⇒ x4 = 3

Paso 4. Enlistar las variables. Si se tienen fracciones, multiplicar el valor de todas las variables por el mayor denominador. De esta manera se encuentran los valores estequiométricos de la ecuación química.

x1 :1 *2 = 2; x2 :3/2 *2 = 3; x3 :1/2 *2 = 1; x4:3*2 = 6

Paso 5. Sustitución de las variables por sus valores como coeficientes estequiométricos en la Ec. (9), así:

2Fe(OH)3 + 3H2SO4 Fe2(SO4)3 + 6H2O

(14)

Con estos valores, se puede determinar la cantidad de reactivos y productos que participan en la reacción química.

Desarrollo del método matricial (Gauss-Jordán y matriz identidad)

En este apartado se explica la resolución de ecuaciones para el balanceo de ecuaciones químicas mediante el método matricial de Gauss-Jordán y la matriz identidad. El método matricial de Gauss-Jordán es un método para resolver sistemas de ecuaciones lineales. Y la matriz identidad es una matriz cuadrada que tiene todos sus elementos diagonales iguales a uno y los demás elementos iguales a 0. Estos dos métodos se pueden utilizar para balancear ecuaciones químicas de forma rápida y precisa.

Ejemplo 2: Se considera la siguiente reacción redox.

KI + H2SO4 + KMnO4 I2 + MnSO4 + K2SO4 + H2O

(15)

Variables estequiométricas para el balance de la ecuación química:

x1KI + x2H2SO4 + x3KMnO4 x4I2 + x5MnSO4 + x6K2SO4 + x7H2O

(16)

Planteamiento de la matriz, en función de los coeficientes estequiométricos de la Ec. (16).

Los coeficientes estequiométricos, representados por x1, x2, x3, x4, x5, x6 y x7 en la ecuación química, indican las proporciones en que reaccionan los elementos: potasio, yodo, hidrógeno, azufre, oxígeno y manganeso.

Planteamiento de la matriz, en función de los coeficientes estequiométricos de la Ec. (16).

Enlistar los átomos o elementos que participan en la reacción. Frente a cada uno de ellos, se escriben las semi - ecuaciones algebraicas, estas están igualadas a 0. En la parte superior de la matriz se encuentra las variables que representan a los coeficientes estequiométricos de la ecuación química, así:

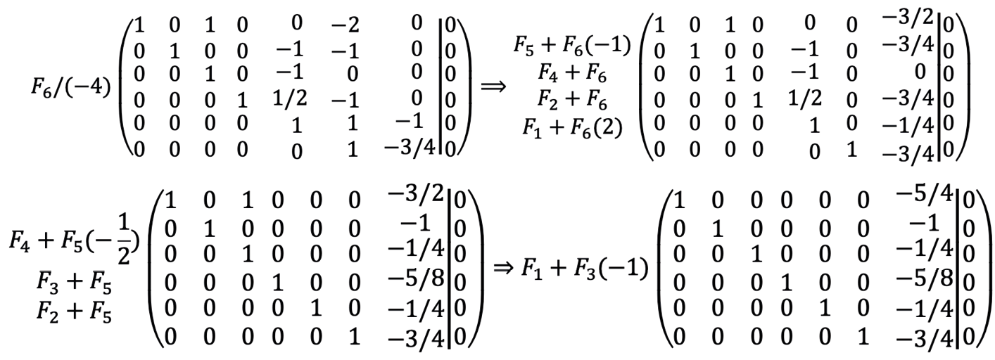
Resolución de la matriz por el método de Gauss–Jordán

El método matricial convierte una ecuación química esquelética en una matriz que representa un sistema de ecuaciones lineales. Estas ecuaciones se basan en la conservación de la masa y la carga eléctrica. Cada columna de la matriz representa el número de átomos de un elemento en todas las especies químicas de la ecuación. Los coeficientes de las especies representados en el lado derecho de la ecuación química llevados a matriz son negativos (Campanario, 1995). El sistema de ecuaciones se resuelve con el método matricial de Gauss-Jordán y la matriz identidad. Situaciones diferentes pueden surgir dependiendo del número de elementos o especies químicas en la ecuación. En general el método matricial es una herramienta útil para balancear ecuaciones químicas complejas. Es un método rápido y eficiente que se basa en la conservación de la masa y la carga eléctrica. Para la resolución del sistema de ecuaciones lineales se aplica la metodología descrita en el Algebra lineal elemental (Andrilli, 2016).

De esta matriz resultante podemos predecir las ecuaciones algebraicas, así:

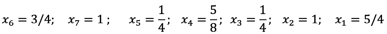
entonces la variable x7 = 1 . Remplazamos los valores en las ecuaciones y se obtendrán los valores de los coeficientes estequiométricos de la ecuación química x1, x2, x3, x4, x5, x6 y x7

Como los valores son fraccionarios, se debe de multiplicar por el mayor denominador a todas las variables:

x1 = 10; x2 = 8; x3 = 2; x4 = 5; x5 = 2; x6 = 6; x7 = 8

Reemplazando los valores de los coeficientes estequiométricos en la ecuación química, Ec. (16) se obtiene que:

10KI + 8H2SO4 + 2KMnO4 5I2 + 2MnSO4 + 6K2SO4 + 8H2O

(17)

Estos valores de los coeficientes estequiométricos “concuerdan con los dispuestos en las páginas online de ecuaciones químicas ChemEquations (2024) y ChemicalAid (2024), aunque estos utilizan otros métodos de resolución de ecuaciones como el método de oxido-reducción.

El método de Gauss-Jordán y la matriz identidad se utilizaron para resolver el sistema de ecuaciones lineales. Con este método, es posible determinar los coeficientes estequiométricos de cualquier ecuación química, como las ecuaciones de combustión, de síntesis, de descomposición, desplazamiento, reacciones ácido-base, entre otras.

Desarrollo del método vectorial en R3

De acuerdo con la metodología descrita en el artículo “Balanceo de ecuaciones químicas usando propiedades de los vectores en el espacio tridimensional R3” (Méndez Gutiérrez et al., 2024), se explica un método de balanceo de ecuaciones químicas basado en las propiedades de vectores en R3. Este enfoque fue utilizado para el desarrollo del ejercicio.

Ejemplo 1.1: Se considera la siguiente reacción de ácido -base (neutralización).

Fe(OH)3 + H2SO4 Fe2(SO4)3 + H2O

(18)

Variables estequiométricas para el balance de la ecuación química:

x1Fe(OH)3 + x2H2SO4 x3Fe2(SO4)3 + x4H2O

(14)

Donde los coeficientes estequiométricos están representados por x1, x2, x3 y x4 corresponden a las variables de cada componente del vector. Además, se observa en la ecuación química que son cuatro elementos; hierro, oxígeno, hidrógeno y azufre, que participan de la reacción química y se les considera como componentes del vector. Finalmente se multiplican las variables con cada componente del vector y se suman los componentes de los dos miembros de la ecuación, de la siguiente manera:

x1 (1,3,3,0) + x2 (0,4,2,1) = x3 (2,12,0,3) + x4 (0,1,2,0)

(20)

(x1, 3x1, 3x1, 0) + (0,4x2, 2x2, x2) = (2x3, 12x3, 0,3x3) + (0,x4, 2x4, 0)

(21)

x1, 3x1, 3x1 + 4x2, 2x2, x2 = 2x3, 12x3, 3x3+ x4, 2x4

(22)

De la ecuación 25 se iguala y se obtienen cuatro ecuaciones con cuatro incógnitas, así: x1 = 2x3; 3x1+ 4x2 = 12x3 + x4; 3x1 + 2x2= 2x4; x2 = 3x3, donde x = 1, entonces

se multiplica todos los valores de las variables por 2 y se obtienen los coeficientes estequiométricos en números enteros (x1 = 2, x2 = 3, x3 = 1, y x4 = 6) se sustituyen en la ecuación química, Ec. (19) y se obtiene lo siguiente:

2Fe(OH)3 + 3H2SO4 Fe2(SO4)3 + 6H2O

(23)

Este método es adecuado para el balanceo de ecuaciones químicas sencillas, ya que su aplicabilidad a ecuaciones químicas complejas puede ser limitada y generar confusión en los estudiantes al resolver problemas de balanceo. En comparación, el método de Gauss-Jordán resulta ser más dinámico y efectivo para manejar ecuaciones químicas de mayor complejidad que el método basado en vectores en R3.

Métodos computacionales

Software EBAS - equation balancer & stoichiometry calculator (EBAS, 2024).

Con la ayuda del software EBAS - equation balancer & stoichiometry calculator, se pudo comprobar rápidamente el cumplimiento de los métodos anteriores solo con fines didácticos. Este es el cuadro de diálogo principal del programa, la llamada vista de reacción. Pasos: 1. La parte superior de la ventana (marco de entrada) es donde se ingresa información conocida, 2. La parte inferior (marco de salida) es donde se leen los resultados del cálculo, 3. El tamaño de la ventana (y la cantidad de reactivos) se puede cambiar usando los botones Agregar reactivo, 4. Agregar producto (o pequeños botones cruzados sobre los campos de edición de fórmulas). La ecuación química equilibrada se muestra en el medio (Regalado-Méndez, 2014). Cada columna contiene información sobre un reactivo (figura 1).

Para una enseñanza eficaz y un balanceo rápido de ecuaciones químicas, el docente puede descargar una versión de prueba gratuita de 30 días del programa EBAS-equation balancer® (disponible en: https://www.chembuddy.com/EBAS-stoichiometry-calculator)

Software WolframAlpha como herramienta computacional (WolframAlpha LLC. 2024)

Para resolver sistemas de ecuaciones por el método de Gauss-Jordán de forma rápida y sencilla, se puede usar el software online WolframAlpha Language and Mathematica disponible en: https://www.wolframalpha.com/. Pasos: 1. Escribe la palabra “rowreduce” en el buscador de WolframAlpha, 2. Ingresa la matriz sin borrar los signos de corchetes, fila por fila a la vez, separando cada número con una coma y un espacio, 3. Si se quieren agregar más filas, copiar una fila ya ingresada y pegarla en la última fila. Luego, reemplazar los valores de la nueva fila por los nuevos valores (figura 2).

Figura 1. Aplicación del programa EBAS-equation balancer® para el balanceo de ecuaciones químicas.

Ejemplo: 1.2: Se considera la siguiente reacción de ácido -base (neutralización).

Fe(OH)3 + H2SO4 Fe2(SO4)3 + H2O

(24)

Variables estequiométricas para el balance de la ecuación química:

x1Fe(OH)3 + x2H2SO4 x3Fe2(SO4)3 + x4H2O

(25)

Matriz obtenida de los coeficientes estequiométricos de la ecuación (25).

De estos resultados de la matriz se tienen las ecuaciones reducidas:

y a su vez se multiplica por el mayor denominador a todas las variables y se obtiene los resultados siguientes: x1 = 2; x2 = 3; x3 = 1; y x4 = 6 y estos coeficientes estequiométricos de la ecuación 25. Resultados que son comparables por los cuatro métodos de resolución de ecuaciones lineales para el balance de los coeficientes estequiométricos de ecuación química.

Figura 2. Resolución del método matricial por el software WolframAlpha language y mathematica.

Estos resultados son comparables a los obtenidos con otros métodos matemáticos para resolver ecuaciones lineales derivadas de ecuaciones químicas. WolframAlpha es una herramienta útil y fácil de usar, ya que no requiere conocimientos avanzados de programación, solo es necesario tener una comprensión básica de los operadores matriciales. Este programa facilita la enseñanza y el aprendizaje, haciendo que el proceso educativo sea más accesible para los estudiantes.

Desarrollo del sistema de ecuaciones por Matlab como una herramienta computacional (MathWorksMATLAB software, 2024).

Ejemplo 3: resolución de la siguiente ecuación química esquelética (Soleimani et al. 2015).

x1H3P04 + x2MgSiO3 + x3CF2Cl2 + x4NaAlF4 + x5Kl + x6PbCr04 + x7FeSO4 + x8BrCl + x9Ca(CN)2 + x10SO2 + x11H2x12Pl3 + x13MgCO3 + x14Na2SiO3 + x15PbBr2 + x16CrCl3 + x17KAl(OH)4 + x18Fe(SCN)3 + x19CaF2 + x20H20

(26)

De la Ec. (24) se deriva el siguiente sistema de ecuaciones lineales homogéneas para la representación de la matriz.

Los resultados para las variables de las ecuaciones lineales homogéneas del balanceo de la ecuación química propuesta, obtenidos mediante el software Matlab, son: x1 = 2/79; x2 = 3/79; x3 = 3/79; x4 = 6/79; x5 = 6/79; x6 = 6/79; x7 = 10/79; x8 = 12/79; x9 = 15/79; x10 = 20/79; x11 = 88/79; x12 = 2/79; x13 = 3/79; x14 = 3/79; x15 = 6/79; x16 = 6/79; x17 = 6/79; x18 = 10/79; x19 = 15/79; x20 = 1/79. Donde x20 = 1 y multiplicado por el mayor denominador se obtiene que: x1 = 2; x2 = 3; x3 = 3; x4 = 6; x5 = 6; x6 = 6; x7 = 10; x8 = 12; x9 = 15; x10 = 20; x11 = 88; x12 = 2; x13 = 3; x14 = 3; x15 = 6; x16 = 6; x17 = 6; x18 = 10; x19 = 15; x20 = 79. Estos resultados concuerdan con los obtenidos a través del cheminpsolver un paquete del software Python utilizado en la resolución de sistemas de ecuaciones lineales consistentes/inconsistentes polinomiales, y con Matlab lograron la resolución de la inconsistencia y el operador de la proyección ortogonal P, para los coeficientes enteros requeridos de reactivos y productos (Sen et al., 2006). Si bien el software Schulz es considerado la mejor opción para este tipo de matrices, la disponibilidad de Matlab en aplicaciones online gratuitas la convierte en una herramienta didáctica accesible, con resultados comparables e incluso superiores en algunos casos, como lo demuestra el estudio de Soleimani, Stanimirovic, Soleymani (2015).

El uso de software como Matlab permite a los estudiantes participar activamente en el proceso de aprendizaje, experimentando con diferentes variables y observando los resultados en tiempo real. Esto promueve un aprendizaje más dinámico y significativo que la simple memorización de conceptos. Así, los sistemas de aprendizaje online pueden adaptarse al ritmo y necesidades de cada estudiante, proporcionando diferentes niveles de dificultad y actividades personalizadas. Los sistemas de aprendizaje online ponen a disposición de los estudiantes una gran cantidad de recursos educativos, como videos, tutoriales y artículos, que pueden ser utilizados para complementar su aprendizaje. Y el uso de herramientas tecnológicas como el software y los sistemas de aprendizaje online puede aumentar la motivación de los estudiantes, ya que les permite interactuar con el contenido de una forma más atractiva y dinámica.

Este artículo ofrece una introducción a la aplicación de software computacional, como WolframAlpha, EBAS-Equation Balancer y Matlab, para el balanceo de ecuaciones químicas mediante el método algebraico. Estas herramientas facilitan la integración de la química con otras ciencias y mejoran la eficiencia del proceso al acelerar la resolución de ecuaciones.

Existen diversos métodos algebraicos para balancear ecuaciones químicas, todos ellos válidos y efectivos. La elección del método más adecuado dependerá del nivel académico del estudiante. Por ejemplos, para el nivel bachillerato, el método algébrico tradicional es el más apropiado, utilizando técnicas como sustitución, igualación y eliminación de ecuaciones lineales, pero si es para el nivel universitario, el método matricial es preferible, ya que los estudiantes tienen una base sólida en matemáticas básicas y álgebra lineal, lo que les permite aprovechar mejor las ventajas que ofrece este método.

Conclusiones

Los resultados de este estudio demuestran que el balanceo de ecuaciones químicas mediante el método de Gauss-Jordán y herramientas computacionales es una estrategia altamente flexible y adaptable. La elección de la herramienta computacional dependerá de la complejidad de la ecuación y las necesidades del usuario. Software como EBAS, WolframAlpha y Matlab ofrecen una amplia gama de funcionalidades para facilitar el proceso de balanceo y optimizar el tiempo de cálculo. Esta versatilidad, combinada con la solidez del método de Gauss-Jordán, convierte a esta estrategia en una herramienta valiosa para la enseñanza y aprendizaje de la química a nivel universitario.

Agradecimientos

Agradecemos profundamente a Dios por la sabiduría y salud otorgada al equipo de trabajo. Expresamos nuestra gratitud a las instituciones que hicieron posible la realización de este estudio, permitiéndonos contribuir al enriquecimiento de la educación. Este trabajo está dedicado a nuestros estudiantes, quienes se beneficiarán significativamente de los resultados obtenidos.

Declaración de conflicto de intereses

Los autores declaran no tener ningún conflicto de interés relacionado con la publicación de este artículo.

Referencias

Andrilli, S. (2016). Álgebra lineal elemental: Sistemas de ecuaciones lineales (pp. 85–151). Elsevier. https://doi.org/10.1016/b978-0-12-800853-9.00002-5

Campanario, J. M. (1995). Automatic “balancing” of chemical equations. Computers & Chemistry, 19(2), 85–90. https://doi.org/10.1016/0097-8485(95)00008-G

Castelló Hernández, M. (1996). Balanceo de ecuaciones químicas mediante computadora. Madrid: Editorial Complutense. https://revistas.unam.mx/index.php/req/article/view/66640

Chang, R., y Goldsby, K. (2017). Química (12a ed.). México: McGraw Hill Education.

ChemEquations. (2024). ChemEquations: Balanceo de ecuaciones químicashttps://chemequations.com/es/?s=KMnO4+%2B+KI+%2B+H2SO4+%3D+MnSO4+%2B+K2SO4+%2B+I2+%2B+H2O

ChemicalAid. (2024). ChemicalAid Equation Balancer. https://www.chemicalaid.com/tools/equationbalancer.php?equation=KI+%2B+KMnO4+%2B+H2SO4+%3D+I2+%2B+MnSO4+%2B+K2SO4+%2B+H2O&hl=es

EBAS Stoichiometry Calculator. (2024). EBAS Stoichiometry Calculatorhttps://www.chembuddy.com/EBAS-stoichiometry-calculator

Gaffney, J. S. (2018). General chemistry for engineers: Chemical equations and mass balance. Elsevier, 117–146. https://doi.org/10.1016/B978-0-12-810425-5.00004-7

Ji, J. (2012). Gauss–Jordan elimination methods for the Moore–Penrose inverse of a matrix. Linear Algebra and Its Applications, 437(7), 1835–1844. https://doi.org/10.1016/j.laa.2012.05.017

MathWorks. (2024). MATLAB software. https://www.mathworks.com/products/matlab.html

Méndez Gutiérrez, L., Peña Duarte, P., y Peña Méndez, P. (2024). Balanceo de ecuaciones químicas usando propiedades de los vectores en el espacio tridimensional R³. Educación Química, 35(1). https://doi.org/10.22201/fq.18708404e.2024.1.86709

OpenStax College. (2022). Chemistry 2e. Houston, TX: OpenStax College. https://bit.ly/49qcFEE

Organización de Estados Americanos. (2017). Balanceo de ecuaciones químicashttps://www.guao.org/sites/default/files/biblioteca/Balanceo%20de%20ecuaciones%20qu%C3%ADmicas_0.pdf

Phillips, J. C. (1998). Algebraic constructs for the graphical and computational solution to balancing chemical equations. Computers & Chemistry, 22(4), 295–308. https://doi.org/10.1016/s0097-8485(97)00066-1

Regalado-Méndez, A., Delgado-Vidal, F., Martínez-López, R., y Peralta-Reyes, E. (2014). Balanceo de ecuaciones químicas integrando las asignaturas de química general, álgebra lineal y computación: Un enfoque de aprendizaje activo. Formación Universitaria, 7(2), 29–40. https://doi.org/10.4067/S0718-50062014000200005

Rincón, C., y Garritz, A. (1997). Fundamento matemático del método de balanceo por números de oxidación. Educación Químicahttps://revistas.unam.mx/index.php/req/article/view/66619

Risteski, I. B. (2009). A new singular matrix method for balancing chemical equations and their stability. Journal of the Chinese Chemical Society, 56(1), 65–79. https://doi.org/10.1002/jccs.200900011

Sen, S. K., Agarwal, H., y Sen, S. (2006). Chemical equation balancing: An integer programming approach. Mathematical and Computer Modelling, 44(7–8), 678–691. https://doi.org/10.1016/j.mcm.2006.02.004

Sharma, G., Agarwala, A., y Bhattacharya, B. (2013). A fast parallel Gauss–Jordan algorithm for matrix inversion using CUDA. Computers & Structures, 128, 31–37. https://doi.org/10.1016/j.compstruc.2013.06.015

Soleimani, F., Stanimirovic, P., y Soleymani, F. (2015). Some matrix iterations for computing generalized inverses and balancing chemical equations. Algorithms, 8(4), 982–998. https://doi.org/10.3390/a8040982

Tang, H., y Yang, X. (2021). Uncertain chemical reaction equation. Applied Mathematics and Computation, 411, 126479. https://doi.org/10.1016/j.amc.2021.126479

Udawat, B., Begani, J., Mansinghka, M., Bhatia, N., Sharma, H., y Hadap, A. (2022). Gauss–Jordan method for balancing chemical equations for different materials. Materials Today: Proceedings.https://doi.org/10.1016/j.matpr.2021.05.576

WolframAlpha LLC. (s. f.). WolframAlpha: Row Reduce. https://www.wolframalpha.com/input?i=rowreduce&lang=es



Recepción: 2024-05-12. ▪ Aceptación: 2024-10-07.


Cómo citar:

González, V., Jaque-Puca, D., Hidalgo, I., Urbano, B., y González, M. (2025, enero-marzo). Balanceo de ecuaciones químicas: un método algebraico con Gauss-Jordán y herramientas computacionales. Educación Química, 36(1). https://doi.org/10.22201/fq.18708404e.2025.1.88625.


[a] Universidad Estatal Península de Santa Elena, Ecuador.

[b] Corporación Rashellbella “CORDEIR”, Ecuador.

[c] Instituto Superior Tecnológico El Libertador, Ecuador.