https://doi.org/10.22201/fq.18708404e.2025.1.87808

Reflexión

Aplicando la química orgánica en la síntesis de polímeros por el mecanismo en etapas

Ana María Herrera-González[a], Nayely Trejo-Carbajal[b] y Martín Caldera-Villalobos[c]

Resumen

La enseñanza química es dinámica, y una manera de generar aprendizaje significativo es a través de su aplicación. Por ejemplo, la química orgánica se aplica en los mecanismos de polimerización y propicia su entendimiento. Es muy común encontrar en los libros los mecanismos en cadena ya sea iónica o vía radicales libres, no así para los polímeros que se obtienen por etapas. Los mecanismos por etapas son diferentes dependiendo de los grupos funcionales orgánicos involucrados en las reacciones de polimerización. De modo que es necesario el conocimiento de la química orgánica para el entendimiento de dichos mecanismos. Los mecanismos de las reacciones de polimerización, puede resultar un tema complejo de entender para muchos estudiantes aprendices de la química de polímeros. En el presente artículo se detallan y comparan los mecanismos de polimerización en etapas y en cadena evidenciando sus diferencias y se enfatiza en desarrollar mecanismos de reacción de algunos polímeros commodities y de ingeniería que se obtienen por el mecanismo de etapas; PET, Nylon, tiocol, poliuretano, baquelita y melamina de una manera didáctica y dinámica para su fácil aprendizaje.

Palabras clave:

enseñanza universitaria, licenciatura, química orgánica, mecanismos de polimerización, mecanismo de etapas, orgánica aplicada.

Applying organic chemistry in the synthesis of polymers by the step mechanism

Abstract

Chemistry teaching is dynamic and one way to generate meaningful learning is through its application. For example, organic chemistry is applied to polymerization mechanisms and promotes their understanding. It is very common to find chain mechanisms in books, whether ionic or via free radicals, but this is not the case for polymers that are obtained in step mechanisms. The step mechanisms are different depending on the organic functional groups involved in the polymerization reactions. So, knowledge of organic chemistry is necessary to understand these mechanisms. The mechanisms of polymerization reactions can be a complex topic to understand for many students and apprentices of polymer chemistry. This article details and compares the mechanisms of stage and chain polymerization, evidencing their differences and emphasizes developing reaction mechanisms of some commodity and engineering polymers that are obtained by the step mechanism; PET, Nylon, Thiokol, polyurethane, Bakelite and melamine in a didactic and dynamic way for easy learning.

Keywords:

university education, bachelor’s degree, organic chemistry, polymerization mechanisms, step mechanism, applied organic.




Introducción

Los polímeros son materiales que han destacado en diversos ámbitos cotidianos por sus propiedades térmicas, ópticas, mecánicas, de biocompatibilidad, etc. Estas propiedades están muy relacionadas con su estructura química, es por eso que la química de los polímeros es un tema relevante y actual (Gallardo y Merino, 2022). Por lo tanto, es importante que los estudiantes de nivel licenciatura de la Ingeniería de Materiales, Ingeniería Química y Química, puedan desarrollar los mecanismos de polimerización para comprender el crecimiento de las cadenas poliméricas (Odian, 2004, Carraher, 2003). Es decir, al analizar los grupos funcionales presentes en los monómeros, los alumnos pueden proponer los mecanismos de las reacciones de polimerización, en este caso particular, los concernientes a la polimerización por condensación y por etapas (Solomons et al., 2017, Elizondo et al., 2013). También, deben ser capaces de identificar y explicar reacciones de polimerización específicas, incluyendo las etapas involucradas en cada mecanismo y como incrementa el peso molecular (Odian, 2004).

Consientes de que el aprendizaje de polímeros en las aulas debe ser significativo, integral y práctico el egresado es capaz de dar solución a problemas reales en la síntesis y aplicación de polímeros poniendo en práctica los conocimientos adquiridos y complementándolo con la experiencia del mundo real, siguiendo los lineamientos del modelo educativo del constructivismo y del aprendizaje basado en problemas (Bada y Olusegun, 2015. Raman et al., 2024). Por ejemplo, un egresado en el mundo laboral, con conocimientos en la química de polímeros, puede mejorar las propiedades físicas, químicas y mecánicas de un polímero o diseñar y sintetizar nuevos polímeros. De igual manera, se busca que, mediante la resolución de problemas relacionados con los mecanismos de polimerización, los estudiantes afiancen y relacionen estos conocimientos con el desempeño de un material polimérico en un contexto real, asegurando un aprendizaje significativo (Jonassen y Strobel, 2006). Así el conocimiento es retenido a largo plazo y por lo tanto podrá aplicarlo en el mundo real al egresar.

Por lo antes mencionado y con la finalidad de contribuir en la enseñanza de la química de polímeros se dibujan paso a paso algunos mecanismos de polimerización para promover que el alumno visualice el crecimiento detallado de las cadenas poliméricas. Además, se describen las principales diferencias de la clasificación de polímeros por su composición y su mecanismo de reacción. Proponiendo las preguntas que orientan este trabajo ¿Qué polímeros se obtienen por el mecanismo por etapas y por el mecanismo en cadena? ¿Cuál es la clasificación correcta de los polímeros; por su estructura o por su mecanismo de reacción? y ¿Qué conocimientos de química orgánica se fortalecen al proponer mecanismos de polimerización detallados?

¿Cómo se clasifican los polímeros por su composición o estructura?

Existen confusiones considerables con respecto a dos clasificaciones de los polímeros; la clasificación realizada en función de la estructura de los polímeros y en función del mecanismo de obtención (Odian, 2004, Flory, 1953). La clasificación basada en su estructura los divide en polímeros de condensación y de adición. Mientras que, la basada en el mecanismo de polimerización los divide en polimerizaciones por etapas y en cadena. Los términos “condensación y etapas” así como “adición y cadena”, son a menudo utilizados como sinónimos. Estos términos no pueden ser utilizados como sinónimo porque los polímeros de condensación se producen mediante el mecanismo por etapas, pero no todos los polímeros que siguen el mecanismo por etapas son reacciones de policondensación. Además, los polímeros de adición se producen mediante polimerizaciones que siguen el mecanismo en cadena, aunque existen excepciones.

En la policondensación condensan moléculas de bajo peso molecular generando las diferencias en composición entre el monómero y su polímero, la unidad monomérica en el polímero siempre tendrá menos átomos que el monómero (Carraher, 2003). Los polímeros de condensación se obtienen a partir de monómeros polifuncionales por diversas reacciones orgánicas comunes de condensación que, dependiendo de los grupos funcionales en los monómeros, eliminan o condensan alguna molécula pequeña como el agua, etanol, metanol o ácido clorhídrico. Ejemplos de estos polímeros de condensación son los poliésteres y las poliamidas (Billmeyer, 2020).

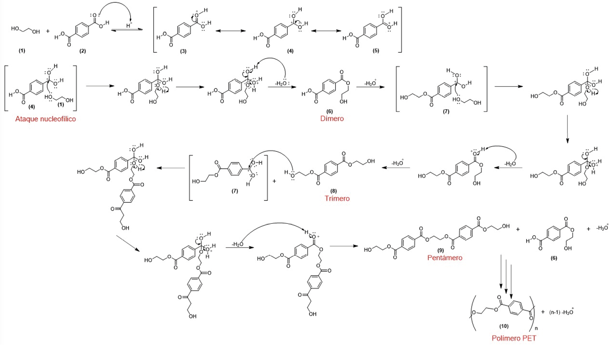
En el Esquema 1 se observa el mecanismo de reacción detallado para la síntesis del commoditie número 1, tereftalato de polietileno (PET), por múltiples reacciones de esterificación de Fisher. Este mecanismo puede ser reproducido por los estudiantes haciendo uso de un editor de moléculas como ChemDraw. Recordando que la esterificación de Fisher consiste en la reacción entre un ácido carboxílico y un alcohol utilizando un ácido como catalizador (Solomons et al., 2017, Elizondo et al., 2013). En las reacciones de polimerización esta reacción ocurre muchas veces hasta obtener largas cadenas poliméricas (Flory, 1953). El mecanismo inicia con la protonación del átomo de oxígeno del carbonilo del grupo ácido, incrementado el carácter electrofílico del carbono del grupo carbonilo. Este paso genera un intermediario estabilizado mediante las tres posibles estructuras de resonancia, colocadas entre paréntesis cuadrados, de las cuales la termodinámicamente más estable es el carbocatión, etiquetado con el número (4) en el Esquema 1 (Wade et al., 2017). El intermediario (4) es el que sufre el ataque nucleofílico del oxígeno del etilenglicol (1), provocando un reordenamiento electrónico que permite la eliminación de una molécula de agua y la formación de dímeros. Es importante destacar que este ataque ocurre múltiples veces generando n dímeros (6). Los dímeros (6) tienen un ácido carboxílico sin reaccionar, en el cual ocurre lo descrito con anterioridad en el primer grupo ácido, ahora para obtener un trímero (8) con dos grupos terminales -OH, los cuales son ahora los nucleófilos que atacan a cualquier carbono de ácido carboxílico. A manera de ejemplo se muestra el ataque de (8), hacia el intermediario (7) para obtener el pentámero (9), sin olvidar que puede ser el ataque a cualquier ácido carboxílico. El pentámero (9) es ahora el nucleófilo que puede seguir reaccionando n veces hasta obtener el polímero. A medida que incrementa el tamaño de los oligómeros, también incrementa el número de posibilidades de reaccionar entre sí y la concentración del diácido y el glicol disminuye rápidamente y el aumento del peso molecular es lento. En la Tabla 1, de manera figurada se asigna la letra A al diácido carboxílico y G al etilenglicol, para mostrar algunas de las posibles reacciones entre oligómeros. Lo sombreado en azul son las únicas reacciones dibujadas en el Esquema 1. La estructura (10) entre paréntesis redondo del Esquema 1 se repite muchas veces (n) en la cadena del polímero y se denomina unidad constitucional repetitiva (UCR). La composición elemental de la UCR difiere de los dos monómeros por los átomos eliminados, para condensar una molécula de bajo peso molecular, que en este caso es agua. La esterificación de Fisher no es la única reacción utilizada para la síntesis de PET, también puede obtenerse por la sustitución nucleofílica acílica, Esquema 2, o la reacción de transesterificación, Esquema 3.

Tabla 1. Descripción figurada del Esquema 1.

Reactivos

Producto

Oligómero

A

+

G

A-G

Dímero

A-G

+

A

A-G-A

Trímero

A-G

+

G

G-A-G

Trímero

A-G

+

A-G

A-G-A-G

Tetrámero

A-G-A

+

G

A-G-A-G

Tetrámero

A-G-A

+

A-G

A-G-A-G-A

Pentámero

A-G-A

+

G-A-G

A-G-A-G-A-G

Hexámero

A-G-A

+

A-G-A-G

A-G-A-G-A-G-A

Heptámero

G-A-G

+

A

G-A-G-A

Tetrámero

G-A-G

+

A-G

G-A-G-A-G

Pentámero

G-A-G

+

A-G-A-G

G-A-G-A-G-A-G

Heptámero

El Esquema 2 muestra el mecanismo de reacción para la obtención de PET a partir de una reacción de sustitución nucleofílica acílica entre el cloruro de tereftaloílo (11) y el etilenglicol (EG) (1) (McMurry, 2006, Soderberg, 2024). En el primer paso se muestra el ataque nucleofílico por parte del oxígeno del EG formando un intermediario tetraédrico, el cual después de un reordenamiento electrónico genera la condensación de ácido clorhídrico (HCl) y moléculas del dímero (12), en el que todavía hay un grupo cloruro de acilo disponible para reaccionar de la misma manera en que se describió previamente. Este segundo ataque nucleofílico genera trímeros (8) que pueden seguir reaccionando n veces con n moléculas de (12) u (11) ocasionando el crecimiento de la cadena polimérica y cada vez más sitios y posibilidades de reacción entre oligómeros.

Esquema 1. Mecanismo de reacción para la síntesis del tereftalato de polietileno (PET) por esterificaciones de Fisher, poliesterificación.

Esquema 2. Mecanismo de reacción para la obtención de PET vía sustitución nucleofílica acílica.

La obtención de PET por politransesterificación se muestra en el Esquema 3, a través de múltiples reacciones de trasesterificación (Solomons et al., 2017, Castellar et al., 2014). Este mecanismo sigue la misma ruta sintética que la poliesterificación (Esquema 1), solo que en la politransesterificación se utiliza un diéster y un diol utilizando un ácido o una base como catalizador. La composición elemental de la UCR también difiere de los dos monómeros y en este caso condensan moléculas de metanol.

Esquema 3. Mecanismo de reacción para la obtención del PET por transesterificación, politransesterificación.

Por otro lado, los polímeros de adición fueron clasificados por Carothers como aquellos formados a partir de monómeros sin pérdida de moléculas pequeñas (Carraher, 2003). A diferencia de los polímeros de condensación, la UCR de un polímero de adición tiene la misma composición elemental que el monómero. Los polímeros de adición se obtienen de monómeros que generalmente contienen dobles enlaces carbono-carbono. Los monómeros con dobles enlaces carbono-carbono pueden reaccionar consigo mismos para formar polímeros mediante la conversión de sus dobles enlaces en enlaces sencillos. La clasificación de Carothers no es del todo adecuada si se analiza la obtención de los poliuretanos, que se forman por reacciones de reordenamiento entre dioles con diisocianatos sin eliminación de ninguna molécula pequeña, Esquema 4. La reacción inicia con un ataque nucleofílico del oxígeno del diol (1) al carbono del grupo isocianato (13), provocando un reordenamiento electrónico mediante el cual se protona al átomo de nitrógeno para formar el dímero (14) con un grupo carbamato. Posteriormente, en el segundo grupo isocianato del dímero (14) ocurre el mismo ataque generando un trímero (15) con dos grupos hidroxilo terminales, que llevan a cabo los ataques nucleofílicos a otras moléculas de diisocianato. Está reacción ocurre n veces provocando el incremento en el tamaño de los oligómeros, sin olvidar la múltiple cantidad de reacciones que puede llevarse a cabo entre oligómeros para obtener una larga cadena polimérica que en este caso es un poliuretano, Esquema 4 (Morrison et al., 1992).

Esquema 4. Mecanismo de reacción de la síntesis de poliuretanos.

Usando la clasificación de Carothers, los poliuretanos serían polímeros de adición, ya que la unidad constitucional repetitiva del polímero tiene la misma composición elemental que la suma de los monómeros. Sin embargo, los poliuretanos son estructuralmente mucho más similares a los polímeros de condensación que a los polímeros de adición. El grupo carbamato o uretano (RNHCOOR’) tiene mucho en común con los grupos éster (RCOOR¨) y amida (RCONH2) porque se obtienen a partir de reacciones orgánicas convencionales y no por la ruptura de dobles enlaces carbono-carbono. Además, el grupo uretano es parte de la cadena principal del polímero y se forma durante la reacción de polimerización, como en las poliamidas o poliésteres.

Por lo anteriormente mencionado, los polímeros de condensación incluyen polímeros cuyas UCR están unidas entre sí por grupos éster (RCOOR´), amida (RCONH2), uretano (RNHCOOR’), sulfuro (RSR´), éter (R-O-R´), imina (R2C=NR´), carbonatos (ROCOOR´), entre otros, que se forman durante la reacción de polimerización. Así, los polímeros de condensación tienen grupos funcionales orgánicos como se muestra en la Figura 1, donde R son grupos alifáticos o aromáticos unidos por un grupo funcional que se forma durante la reacción de polimerización.

En los polímeros de adición, por otro lado, no existe la formación de grupos funcionales y por lo tanto no contienen dichos grupos como parte de la cadena polimérica principal que enlazan covalentemente a los monómeros. Sin embargo, los polímeros de adición pueden tener grupos funcionales como sustituyentes que cuelgan de la cadena principal del polímero.

Figura 1. Estructura de algunos grupos funcionales formados durante la polimerización por condensación.

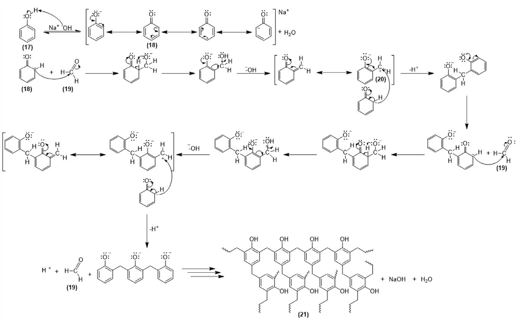
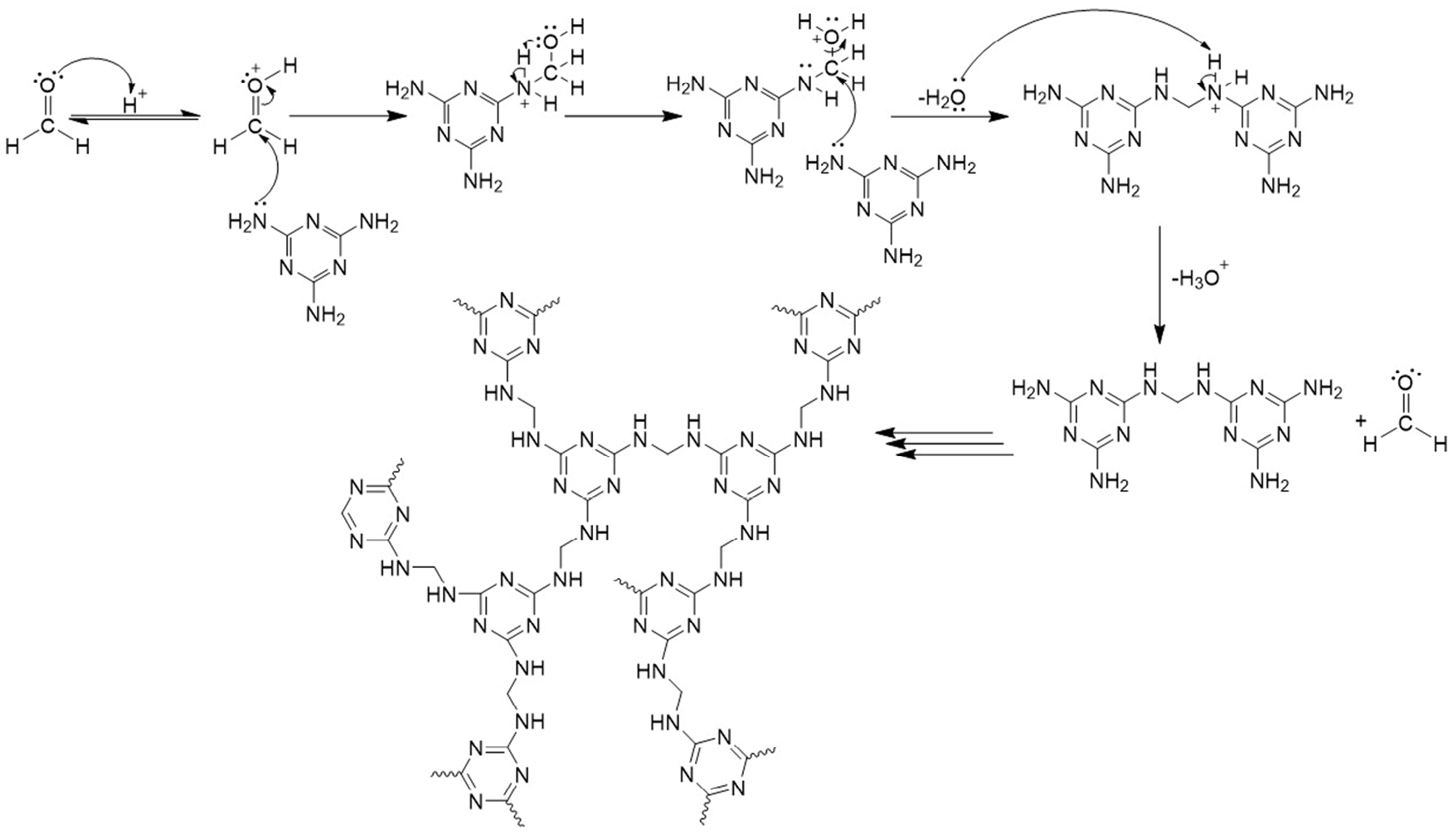
Algunos polímeros de condensación no forman grupos funcionales como éster o amida durante la reacción de polimerización. Un ejemplo son los polímeros de fenol-formaldehído producidos por la reacción de fenol (o fenoles sustituidos) con formaldehído (Esquema 5). Este polímero no forma nuevos grupos funcionales en la cadena principal del polímero, pero se clasifican como polímeros de condensación, porque durante su síntesis se condensa agua como puede observarse en el mecanismo. La condensación de fenol-formaldehído es importante para la síntesis de resinas fenólicas. En este caso, el medio alcalino es esencial para acelerar la reacción y facilitar el entrecruzamiento. En medio básico, el fenol (17) se desprotona para formar el ion fenóxido, el cual presenta estructuras de resonancia generando un carbanión en cada posición orto (18) y otro en la posición para. El carbanión formado (en cualquiera de las posiciones, siendo las más reactivas las posiciones orto) puede llevar a cabo un ataque nucleofílico al grupo carbonilo del formaldehído (19), formando dímeros y posterior a la pérdida del ion hidroxilo (el cual se condensará en forma de moléculas de H2O, al protonarse con otro hidrógeno proveniente de una segunda molécula de fenol previamente activada) genera las estructuras resonantes que se encuentran entre corchetes, donde se aprecia un intermediario que contienen un carbocatión en el metileno (20), el cual sufre un ataque nucleofílico por parte de (18) generando trímeros similares a los ya descritos y así continuar la reacción de polimerización con otras moléculas activadas de fenol o formaldehído. Otro ejemplo similar es la obtención de la melamina, Esquema 6.

Esquema 5. Mecanismo de reacción de la baquelita.

Un polímero se clasifica como polímero de condensación si durante la síntesis involucra la eliminación de pequeñas moléculas, o contiene grupos funcionales como parte de la cadena principal del polímero, o su unidad repetitiva carece de ciertos átomos que están presentes en el monómero precursor para que se pueda degradar. Si un polímero no cumple ninguno de estos requisitos, se clasifica como un polímero de adición. Otro ejemplo de esto es la síntesis de tiocol (Esquema 7). Durante la síntesis de tiocol es necesario previamente llevar a cabo la reacción entre el hidróxido de sodio y el azufre, para obtener sulfito de sodio y el sulfuro de sodio. El sulfuro de sodio, el cual en medio acuoso se encuentra disociado generando el anión S-2, capaz de llevar a cabo el ataque nucleofílico al carbono alfa al cloro en la molécula de dicloro etano siguiendo el mecanismo SN2, porque mientras se forma el enlace C-S se rompe el enlace C-Cl y por lo tanto se sustituye el átomo de cloro por el azufre.

¿Cómo se clasifican los polímeros por su mecanismo de reacción?

Flory destacó la diferencia significativa que existe en el mecanismo por el cual se obtienen los polímeros. La terminología más general y reciente clasifica a los polímeros por su mecanismo de polimerización en cadena y en etapas. Las polimerizaciones en cadena y en etapas difieren en varias características, pero las dos diferencias importantes son; 1) por las identidades de las especies que pueden reaccionar entre sí y 2) la forma en que el peso molecular del polímero incrementa durante la reacción de polimerización.

Esquema 6. Mecanismo de reacción de la melamina.

Las polimerizaciones por etapas proceden de reacciones que se llevan a cabo en etapas entre grupos funcionales orgánicos de monómeros descritos en la sección anterior (Esquemas del 1 al 7). En estas reacciones el peso molecular de los polímeros aumenta a un ritmo relativamente lento por la formación de oligómeros. Es decir, la reacción de polimerización procede de monómero a dímero, trímero, tetrámero, pentámero, etc., hasta que eventualmente los oligómeros de gran tamaño reaccionen entre sí y se formen moléculas de polímero.

Esquema 7. Mecanismo de reacción del tiocol.

La característica de la polimerización por etapas que la distingue de la polimerización en cadena es que muchas reacciones ocurren entre cualquiera de las especies de diferentes tamaños presentes en el medio de reacción (oligómeros). Es decir, pueden reaccionar los oligómeros entre si sin importar el tamaño de ellos, Tabla 1.

La situación es diferente en la polimerización en cadena donde se usa un compuesto químico para producir la especie química que iniciará la reacción de polimerización con un centro reactivo R*. El centro reactivo puede ser un radical libre, un catión o un anión (Caldera y Herrera, 2021). La polimerización se produce por la propagación del centro reactivo por las sucesivas adiciones de un gran número de moléculas de monómero en una reacción en cadena (Duffy et al., 2018). La característica distintiva de la polimerización en cadena es que el crecimiento del polímero solo tiene lugar cuando el monómero reacciona con el centro reactivo. En estas reacciones de polimerización, los oligómeros no reaccionan entre sí para incrementar el tamaño de la cadena polimérica. La polimerización en cadena de un monómero vinílico es un ejemplo, Esquema 8 (Odian, 2004). Cada molécula de monómero de estireno que se suma a un centro reactivo regenera otro centro reactivo, aunque de diferente peso molecular. El crecimiento del polímero se produce mediante la adición sucesiva de cientos, miles o más moléculas de monómero. Finalmente, el crecimiento de la cadena polimérica termina cuando el centro reactivo es destruido por una o más posibles reacciones de terminación.

Las polimerizaciones típicas por etapas y en cadena difieren significativamente en la relación entre el peso molecular del polímero y el porcentaje de conversión del monómero a polímero Figura 2. Los pesos moleculares de los polímeros producidos en cualquier momento después del comienzo de las reacciones siempre serán muy diferentes para los dos mecanismos de polimerización. Si las dos polimerizaciones se detienen en varios porcentajes de conversión (por ejemplo 30, 60 y 80% de conversión), siempre se observará el mismo comportamiento. La polimerización en cadena mostrará la presencia de moléculas de polímero de alto peso molecular en todos los porcentajes de conversión Figura 2(a). No hay moléculas de tamaño intermedio en el medio de reacción, solo especies de monómero, polímero de alto peso molecular y la especie iniciadora y el único cambio que ocurre con el incremento del tiempo de reacción es el aumento continuo del número de moléculas de polímero de alto peso molecular, es decir, incrementa el rendimiento de reacción. Por otro lado, el polímero de alto peso molecular en la polimerización por etapas solo se obtiene al final de la reacción. Así que, tanto el tamaño del polímero como el rendimiento del polímero dependen del porcentaje de conversión en la polimerización por etapas Figura 2(c).

Esta clasificación, no está exenta de ambigüedades. Por ejemplo, las polimerizaciones que muestran un aumento lineal del peso molecular con el porcentaje de conversión Figura 2(b), el mecanismo de polimerización se aparta de la normalidad de la polimerización en cadena o en etapas. Esto se observa en ciertas polimerizaciones en cadena, que implican un rápido proceso de iniciación junto con la ausencia de reacciones que terminen con los centros reactivos después de la propagación. Las síntesis biológicas de proteínas muestran este comportamiento, así como las polimerizaciones por apertura de anillo.

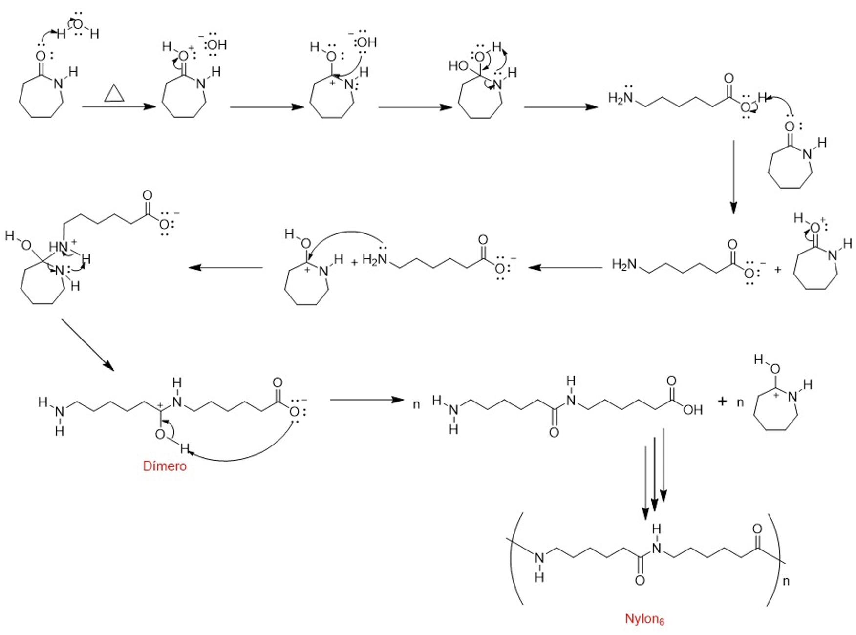
Las polimerizaciones por apertura de anillo de monómeros cíclicos como el óxido de propileno o la ε-caprolactama proceden por el mecanismo de polimerización en cadena, porque implican un rápido proceso de iniciación, pero no se llevan a cabo reacciones que terminen con centros reactivos después de la propagación, Esquema 9. Además, la dependencia del peso molecular del polímero en la conversión casi nunca sigue el comportamiento de la Figura 2a. Las polimerizaciones de apertura de anillo a menudo siguen el comportamiento de la Figura 2c, por ejemplo, la obtención del Nylon 6, por la apertura de anillo de la e-caprolactama, Esquema 9 (Wade et al., 2017).

La Unión Internacional de Química Pura y Aplicada (Jenkins et al., 1996) sugirió el término policondensación en lugar de polimerización por etapas, pero la policondensación es un término restringido en comparación con la polimerización por etapas, ya que implica que las reacciones se limitan a reacciones de condensaciones, donde moléculas pequeñas como el agua, etanol, metanol, ácido clorhídrico, son condensadas o eliminadas durante la polimerización y no incluyen reacciones de reordenamiento.

Figura 2. Variación de peso molecular con el porcentaje de conversión; (a) polimerización en cadena; (b) polimerización sin reacciones de terminación con centros reactivos después de la propagación y síntesis de proteínas; (c) polimerización por etapas.

El término polimerización por etapas abarca no solo policondensaciones sino también polimerizaciones en las que no se eliminan moléculas pequeñas y pueden obtenerse nuevos grupos funcionales dentro de la cadena, por ejemplo, los poliuretanos, Esquema 4. La síntesis de poliuretanos involucra la formación de un nuevo grupo funcional, como los poliésteres y poliamidas y no se eliminan pequeñas moléculas. Además, las polimerizaciones por apertura de anillo complementan y señalan porque se debe distinguir entre la clasificación por su mecanismo de polimerización y por la estructura del polímero. Las dos clasificaciones no siempre se pueden usar indistintamente. Polímeros como los poliéteres y poliamidas, obtenidos de monómeros cíclicos, deben clasificarse por separado en cuanto al mecanismo de polimerización y la estructura del polímero. Estos polímeros estructuralmente serían polímeros de condensación, ya que contienen grupos funcionales éter y amida en la cadena del polímero. Ellos, al igual que los poliuretanos, no se clasifican como polímeros de condensación. La situación es aún más complicada para un polímero como el obtenido a partir de ε-caprolactama, el cual también se puede obtener mediante la polimerización por etapas con el uso del monómero lineal ácido aminocaproíco. Estos ejemplos deben ser suficientes para enfatizar que los términos condensación y polímero por etapas no son sinónimos ni lo son los términos adición y polímero de cadena. Las clasificaciones de polímeros basada solo en la estructura del polímero o solo en el mecanismo de polimerización a menudo conduce a la ambigüedad y al error. Tanto la clasificación por su estructura del polímero como el mecanismo suelen ser necesarios para clasificar correctamente a un polímero.

Esquema 8. Mecanismo de reacción de la polimerización del estireno vía radicales libres.

Esquema 9. Mecanismos de reacción de la ε-caprolactama (Nylon6).

Conclusión

Los términos condensación y polímero por etapas no son sinónimos ni lo son los términos adición y cadena, aunque estos términos a menudo se usan indistintamente de manera incorrecta. Las clasificaciones de polímeros basada solo en la estructura del polímero o solo en el mecanismo de polimerización a menudo conduce al error en los alumnos de nivel licenciatura. Tanto la clasificación por la estructura del polímero como por el mecanismo son necesarias para que los alumnos clasifiquen correctamente a un polímero. Por ello es importante que los estudiantes de nivel licenciatura realicen los mecanismos de polimerización para poder clasificar a los polímeros de manera correcta con solo aplicar sus conocimientos básicos de química orgánica. Estos conocimientos les permitirán distinguir características estructurales o grupos funcionales para comprender el tipo de mecanismo involucrado y realizar una clasificación precisa basada tanto en la estructura como en el mecanismo de polimerización. Además, los conocimientos de química orgánica que se fortalecen durante el aprendizaje de los mecanismos de polimerización son los grupos funcionales, reconocimiento y diferenciación de mecanismos de reacción según los grupos reactivos y condiciones de reacción y la estrecha relación entre estructura de un compuesto químico y sus propiedades y/o reactividad

Referencias

Bada, S. O., y Olusegun, S. (2015). Constructivism learning theory: A paradigm for teaching and learning. Journal of Research & Method in Education, 5(6), 66-70. https://doi.org/10.9790/7388-05616670

Billmeyer, F. W. (2020). Ciencia de los polímeros. Nueva York, USA: Reverté.

Caldera, M., y Herrera, A. M. (2019). Polímeros adhesivos y formación de uniones a través de reacciones de polimerización y fuerzas intermoleculares. Educación Química, 30(2), 2-13. https://doi.org/10.22201/fq.18708404e.2019.2.68197

Carraher Jr, C. E. (2003). Seymour/Carraher’s polymer chemistry. Nueva York, USA: CRC Press.

Castellar, G., Angulo, E. R., y Cardozo, B. M. (2014). Transesterification vegetable oils using heterogeneous catalysts. Prospect, 12(2), 90-104.

Duffy, C., Zetterlund, P. B., y Aldabbagh, F. (2018). Radical polymerization of alkyl 2-cyanoacrylates. Molecules, 23(2), 465. https://doi.org/10.3390/molecules23020465

Elizondo, C., Ramírez, C., Lizardi, M., Sillas, H., Soto, A., y Castillo, J. (2013). Obtención de un aromatizante por medio de la esterificación de Fischer. Revista naturaleza y tecnología (ensayos), 2, 31-35. http://quimica.ugto.mx/index.php/nyt/article/viewFile/185/6

Flory, P. J. (1953). Principles of polymer chemistry. Nueva York, USA: Cornell University Press.

Gallardo, F., y Merino, C. (2022). Los polímeros: Una progresión y propuesta didáctica. Educación Química, 33(2). http://dx.doi.org/10.22201/fq.18708404e.2022.2.77220

Jenkins, A. D., Kratochvíl, P., Stepto, R. F. T., y Suter, U. W. (1996). Glossary of basic terms in polymer science (IUPAC Recommendations 1996). Pure and Applied Chemistry, 68(12), 2287-2311.

Jonassen, D. H., y Strobel, J. (2006). Modeling for meaningful learning. In Engaged learning with emerging technologies(pp. 1-27).

McMurry, J. (2006). Química orgánica. México: Thomson.

Morrison, R. T., y Boyd, R. T. (1992). Química orgánica. Argentina: Addison-Wesley Iberoamericana.

Odian, G. (2004). Principles of polymerization. Nueva York, USA: John Wiley & Sons.

Raman, Y., Surif, J., e Ibrahim, N. H. (2024). The effect of problem-based learning approach in enhancing problem-solving skills in chemistry education: A systematic review. International Journal of Interactive Mobile Technologies, 18(5). https://doi.org/10.3991/ijim.v18i05.47929

Soderberg, T. (2024). The nucleophilic acyl substitution mechanism. Is licensed CC BY-NC-SA 4.0. Consultada en febrero 20, 2024 en https://digitalcommons.morris.umn.edu/chem_facpubs/1/

Solomons, T. W. G., Fryhle, C. B., y Snyder, S. A. (2017). Solomons’ Organic Chemistry. Singapur: Wiley.

Wade, L. G., y Simek, J. W. (2017). Química orgánica (Vol. 1 y 2). España: Pearson.



Recepción: 2024-02-16. ▪ Aceptación: 2024-11-13.


Cómo citar:

Herrera-González, A. M., Trejo-Carbajal, N., y Caldera-Villalobos, M. (2025, enero-marzo). Aplicando la química orgánica en la síntesis de polímeros por el mecanismo en etapas. Educación Química, 36(1). https://doi.org/10.22201/fq.18708404e.2025.1.87808.


[a] Instituto Federal de Educação, Ciência e Tecnologia de São Paulo Brasil.

[b] Universidad Autónoma del Estado de Hidalgo, México.

[b] Universidad Americana del Noreste, México.