http://dx.doi.org/10.22201/fq.18708404e.2024.1.86890

Didáctica de la Química

Validación de un instrumento para evaluar la gestión integral de la seguridad en laboratorios académicos

Clara Rosalía Álvarez-Chávez[a], Angélica García-Rendón[b], Luz S. Marín-Ramírez[c], Alma Angelina Flores-Soto[d] y Javier Esquer-Peralta[e]

Resumen

La seguridad en el laboratorio de ciencias es un área de importancia debido a los peligros a los que se puede encontrar expuesta la comunidad escolar usuaria. El instrumento original IGSSA (indicador de gestión, salud, seguridad y ambiente) fue propuesto para evaluar la gestión de la salud, seguridad, protección civil y ambiente en el laboratorio de ciencias de nivel medio superior. IGSSA está compuesto de un cuestionario (111 ítems) clasificados en 4 subindicadores. El objetivo del presente estudio fue validar el instrumento IGSSA para ser utilizado por los docentes en inspecciones de cumplimiento regulatorio en laboratorios académicos de ciencias. La metodología de validación del cuestionario incluyó grupos focales con representantes de entidades regulatorias y entrevistas cognitivas con docentes de laboratorio. El instrumento final IGSSA-LAB v1 consiste en un indicador compuesto que agrupa 85 ítems clasificados en 7 subindicadores. El instrumento tiene un enfoque participativo al proponer al docente como inspector de laboratorio, en apoyo al cumplimiento regulatorio, a la vez que fomenta la capacitación y el fortalecimiento de la cultura de seguridad y protección al ambiente en instituciones educativas de nivel medio superior.

Palabras clave:

Seguridad, laboratorio, gestión, evaluación, validación, instrumento.

Validation of an instrument to evaluate the integral management of safety in academic laboratories

Abstract

Safety in academic laboratories is a significant area of interest due to the different risk factors presented that expose laboratory staff as well as increase the likelihood of accidents. Through 111 items grouped into 4 dimensions, the original IGSSA instrument was proposed to comprehensively evaluate safety and health management along with civil and environmental protection in sciences laboratories at high schools. This study aimed to validate the IGSSA instrument to facilitate that teachers can conduct inspections to evaluate safety regulatory compliance in their science laboratories. The questionnaire content validation methodology included focus groups with representatives of regulatory agencies and cognitive interviews with laboratory teachers. The final IGSSA-LAB v1 instrument comprises a combined indicator, clustering 85 items into 7 dimensions. The instrument has a participatory approach since the inspection should be conducted by the laboratory teachers supporting the compliance with existing regulation. Additionally, it enhances knowledges and strengthens the safety culture and environment protection in high schools.

Keywords:

Safety, laboratory, management, assessment, validation, instrument.




Introducción

El laboratorio académico de ciencias es un lugar de aprendizaje donde se estimula a los estudiantes a desarrollar su habilidad de planear, realizar, interpretar y reportar experimentos científicos (Schenk et al., 2018). Durante los procedimientos de experimentación realizados en los laboratorios, se requiere el manejo de equipos y materiales, incluyendo sustancias químicas que varían en su nivel de peligrosidad para la salud y seguridad de los usuarios y del ambiente (Walters et al., 2017). Por lo anterior, se requiere que las actividades de experimentación en el laboratorio se realicen bajo condiciones seguras que permitan minimizar los riesgos de accidentes (Asiry y Ang, 2019; Marin et al., 2019) y daños a los alumnos, docentes, laboratoristas, personal de limpieza, las instalaciones y el ambiente. La subvaloración de los factores de riesgo presentes se identifica en la literatura como una de las causas de los accidentes ocurridos en laboratorios académicos (Olewski y Snakard, 2017) con graves consecuencias para los involucrados (Kaufman, 2020; Ménard y Trant, 2020), poniendo de manifiesto la necesidad de crear y fortalecer la cultura de la seguridad en los laboratorios de instituciones académicas (ACS, 2012; ACS, 2017; Ayi y Hon, 2018).

La seguridad en los laboratorios académicos ha sido atendida en la última década por sociedades científicas y organizaciones de profesionales, y entidades gubernamentales de algunos países a causa de la ocurrencia de accidentes graves y fatales (ACS, 2012; HSA, 2018; NRC, 2014; NSTA, 2015). En México, se carece de datos o registros oficiales de accidentes en el laboratorio académico; sin embargo, se tiene conocimiento de la ocurrencia de incendios y explosiones a través de anécdotas que comparten los docentes durante sesiones de capacitación sobre el tema (Álvarez-Chávez et al., 2018), por reportes en congresos (Blancas-Vergara, et al., 2019) y por notas periodísticas (El Sol de México, 2018; SinEmbargo, 2016; Uno TV, 2017). La Secretaría de Educación Pública en México proporciona disposiciones sobre la infraestructura de edificios, instalaciones y equipamiento para instituciones educativas donde se incluyen los laboratorios de ciencias (INIFED-SEP, 2014); sin embargo, aún es posible identificar importantes vacíos en la gestión de la seguridad y protección al ambiente en los laboratorios.

Las inspecciones de seguridad permiten identificar de manera sistemática las instalaciones y aspectos administrativos que pueden influir en las condiciones en las que se realiza un trabajo. Están diseñadas para contribuir a la protección de la salud y seguridad de las personas, para evitar daños a las instalaciones y al ambiente, así como aplicar multas por incumplimiento de la normativa relacionada. En las instituciones de educación, las deficiencias de seguridad y cuidado del ambiente en el laboratorio adquieren relevancia al ser espacios de enseñanza-aprendizaje. El conocimiento y conducta sobre este tema que el estudiante aprenda y desarrolle dependen, en gran medida, del liderazgo en seguridad de sus maestros (ACS, 2017). Por lo tanto, las escuelas deben estar comprometidas con la gestión de la seguridad y cuidado del ambiente a través de la implementación de políticas, de la oferta de instalaciones de laboratorio seguras y del compromiso con la capacitación periódica del personal docente en el tema de seguridad (Fivizzani, 2016).

Álvarez-Chávez et al. (2021) desarrollaron el instrumento denominado Indicador de Gestión en Salud, Seguridad y Ambiente (IGSSA), propuesto para evaluar la gestión de la salud, la seguridad y la protección al ambiente en laboratorios académicos de ciencias mediante una metodología flexible y adaptable. Este indicador se obtiene del cuestionario que fue construido al tomar como referencia el marco regulatorio mexicano existente para los laboratorios como lugar de trabajo y espacio educativo, así como las recomendaciones de expertos en el tema de seguridad en el laboratorio. IGSSA es un indicador general compuesto de 4 subindicadores: 1) políticas (iP), 2) manejo de sustancias químicas y residuos (iSQ), 3) instalaciones de laboratorio, equipo para emergencias y equipo de protección personal (iEPP) y 4) capacitación de los maestros (iCA) (Álvarez-Chávez et al., 2021).

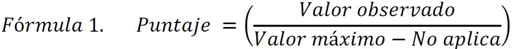
El puntaje de cada subindicador se calcula con la fórmula 1 a partir de los datos categóricos observados, es decir, si la respuesta es “Sí”, “No” o “No aplica” a ítems cuantificados de la siguiente manera:

Donde: Valor observado = ∑ número de ítems en cumplimiento, Valor máximo = Varía para cada subindicador según el número de ítems correspondientes aplicables, No aplica = ∑ número ítems no aplicables.

Los ítems no aplicables son aquellos que en el elemento a evaluar se encuentran ausentes en los laboratorios; por ejemplo, reglamento de laboratorio, suministro de gas L.P., área de almacenamiento de sustancias químicas independiente del laboratorio, etc. El indicador IGSSA se obtiene al sumar los subindicadores ponderados divididos entre la suma de los pesos correspondientes de cada uno de ellos en el cuestionario. La media ponderada para cada subindicador se calcula según su peso (p1, p2, p3, p4) (número de ítems) en el cuestionario y los ítems no aplicables correspondientes. Por último, el valor del indicador compuesto, IGSSA, se obtiene al sumar los subindicadores ya ponderados (p1, p2, p3, p4) dividido entre la suma de los pesos correspondientes de cada uno de ellos en el cuestionario (p1 + p2 + p3 + p4) como se muestra en la fórmula 2.

Donde: iPp1 es el subindicador de políticas ponderado, iSQp2 es el subindicador de manejo de sustancias químicas ponderado, iIEEp3 es el subindicador de instalaciones de laboratorio, equipo para emergencias e iCap4 es el subindicador de capacitación de los maestros de laboratorio.

El puntaje de los subindicadores y del indicador compuesto se clasifican en cuatro rangos y colores del semáforo de la siguiente forma: a) 7.51-10.00 (alto, verde): el laboratorio cumple satisfactoriamente con todos o casi todos los ítems evaluados, b) 5.01-7.00 (medio, amarillo): el laboratorio en el momento de la evaluación no cumple con algunos de los ítems evaluados, c) 2.51-5.00 (bajo, amarillo): el laboratorio en el momento de la evaluación cumple con pocos de los ítems evaluados, c) 0.00 - 2.50 (muy bajo, rojo): el laboratorio en el momento de la evaluación no cumple o cumple con muy pocos de los ítems evaluados.

El instrumento IGSSA fue utilizado para inspeccionar y evaluar laboratorios de ciencias de 41 bachilleratos privados del estado de Sonora en México, mostrando deficiencias de seguridad como: ausencia de políticas de seguridad para el laboratorio, presencia e inadecuado almacenamiento de sustancias de alta peligrosidad, manejo deficiente de residuos, falta de capacitación en el tema de seguridad, entre otros (Álvarez-Chávez et al., 2021). En la presente investigación se validó y actualizó el cuestionario IGSSA con el objetivo de que sea usado por el personal docente como una herramienta para inspeccionar, evaluar y contribuir al cumplimiento regulatorio en la gestión integral de la seguridad en los laboratorios académicos de ciencias de sus instituciones. Se busca, de esta manera, disminuir los riesgos a la salud, seguridad y protección al ambiente, posibles multas por incumplimiento legal, así como daños derivados de accidentes en laboratorios de instituciones educativas. Lo anterior atiende la problemática de la salud, seguridad y protección al ambiente en laboratorios académicos de ciencias en México, lo que contribuye a desarrollar y fomentar la cultura de seguridad en instituciones educativas.

Metodología

Las deficiencias de seguridad e incumplimiento regulatorio en los laboratorios de ciencias de los 41 bachilleratos privados del estado de Sonora, identificadas mediante el instrumento IGSSA (Álvarez-Chávez et al., 2021), fueron presentados por los investigadores del presente estudio en una reunión al Comité Técnico Consultivo de Materiales Peligrosos del Estado de Sonora (CTCMPES), presidido por la Coordinación de Protección Civil de este estado, para informar y generar interés en la problemática y en el instrumento de evaluación utilizado. El CTCMPES está legalmente constituido por representantes de las dependencias gubernamentales federales y estatales que atienden la salud y seguridad laboral, protección civil, protección al ambiente, cuerpos de emergencia, industria minera e instituciones de educación (Cluster Minero de Sonora, 2017); su objetivo es la capacitación y colaboración de sus integrantes para prevenir y atender emergencias con sustancias químicas en el estado de Sonora. El interés mostrado por los integrantes del CTCMPES llevó a la revisión y análisis del cuestionario de IGSSA para asegurar que los ítems incluidos cubrían correctamente la normativa en materia de salud y seguridad ocupacional, protección al ambiente y protección civil aplicables al entorno de los laboratorios escolares.

La revisión y análisis del instrumento se llevó a cabo mediante la metodología de grupos focales (Hamui y Varela, 2013) con la participación de representantes de las siguientes dependencias del gobierno estatal (entre paréntesis el número de participantes): la Subdirección de Educación Media y Superior (2), el Instituto Sonorense para la Infraestructura Educativa (1), la Comisión Estatal para la Planeación y la Programación de la Educación Media Superior (1), la Coordinación Estatal de Desarrollo Sustentable (2), la Procuraduría Ambiental del Estado de Sonora (3) y la Unidad Estatal de Protección Civil (2). Por parte del gobierno federal participó la Secretaría del Trabajo y Previsión Social (2), la Secretaría de Medio Ambiente y Recursos Naturales (1) y la Procuraduría Federal de Protección al Ambiente (1).

1. Desarrollo del grupo focal. La logística para la realización de las sesiones del grupo focal fue mediante la invitación formal a las dependencias federales y estatales mencionadas anteriormente y relacionadas con la seguridad en el trabajo, protección al ambiente, protección civil y de educación media superior, por parte del grupo de investigación y con apoyo del coordinador del Plan de Desarrollo Sustentable de la Universidad de Sonora (UNISON). Se indicó que la invitación consistía en participar en la revisión y análisis de los ítems del cuestionario IGSSA mediante reuniones en las instalaciones universitarias, por ser un sitio de fácil acceso y con infraestructura para reuniones grupales. El cuestionario IGSSA fue proporcionado al representante respectivo de cada dependencia con anticipación al inicio de las sesiones del grupo focal para agilizar el proceso.

En la sesión inicial, los investigadores mostraron el instrumento IGSSA y, nuevamente, los hallazgos de la inspección y evaluación de laboratorios de ciencias de 41 bachilleratos privados del estado de Sonora, reportados por Álvarez-Chávez et al., (2021). Posteriormente el moderador de la institución anfitriona informó a los participantes el objetivo y la dinámica de las sesiones que consistió en presentar uno por uno los 111 ítems del cuestionario IGSSA en una pantalla, el moderador leyó en voz alta el ítem para posteriormente solicitar la opinión de los participantes sobre la contribución del mismo al cumplimiento del marco regulatorio en el tema de salud y seguridad ocupacional, protección civil y al ambiente aplicado al laboratorio académico de ciencias e infraestructura escolar. Posteriormente, se cedió la palabra al representante de la instancia de competencia para conocer su opinión y sugerencias, así como también se dio pie a la participación de las otras instancias, teniendo cuidado de estimular la participación equitativa y discutir cada ítem hasta agotar. Se solicitó también que se indicara la necesidad de agregar ítems para asegurar el cumplimiento normativo en cada uno de los temas evaluados. Al término de la sesión, el moderador agradeció, valoró la participación y solicitó la firma de los asistentes.

Durante las sesiones estuvieron presentes los investigadores del presente estudio que observaron y tomaron nota de manera meticulosa de todos los comentarios y sugerencias vertidas, posteriormente se analizaron de manera ordenada los comentarios de los funcionarios y se realizaron los cambios resultantes en el cuestionario.

2) Entrevistas cognitivas. El cuestionario resultante de los grupos focales se sometió a una serie de 2 rondas de entrevistas cognitivas (Willis, 1999) realizadas de manera individual con 9 docentes que imparten laboratorio de química en escuelas de nivel medio y medio superior en Sonora, tanto del sistema administrativo estatal y federal, como del sector privado. La logística de estas sesiones fue invitar a docentes que imparten prácticas de laboratorio de ciencias, quienes, de manera voluntaria, aceptaron ser entrevistados. Se les informó previamente que el objetivo era asegurar la comprensión de los ítems; es decir, la intención y significado de los términos utilizados, para evitar dudas o confusiones al momento que los docentes hagan uso del cuestionario para inspeccionar un laboratorio. La dinámica de las sesiones incluyó la técnica de sondeo verbal y parafraseo (Willis, 2005), que consistió en solicitarle al docente cara a cara que leyera uno a uno y en voz alta los ítems del cuestionario. Posteriormente a la lectura del ítem se le solicitó parafraseara o explicara con sus propias palabras lo que pensaba se le estaba preguntando en el ítem en cuestión. Se le preguntó también si consideraba que el ítem era fácil de responder y en casos donde se observó que dudaba se le preguntó qué era lo que pensaba en el momento de leerlo o si conocía el significado de los términos incluidos. Durante el proceso, el investigador observó y tomó nota si la interpretación era de manera correcta o si la persona entrevistada mostraba indicios de dificultad al interpretar los ítems o los términos incluidos en ellos hasta terminar de evaluar todos los ítems del cuestionario. Las entrevistas fueron grabadas en audio con fines de control de calidad previa aprobación del entrevistado.

Los investigadores se reunieron al término de la primera ronda con 5 docentes para revisar con detalle la compilación de observaciones correspondientes a cada uno de los ítems durante las entrevistas, se llegaron a acuerdos y se realizaron cambios, rectificaciones en la redacción, eliminación o adición de ítems. El paso siguiente fue realizar la segunda ronda de entrevistas con 4 docentes para probar nuevamente el cuestionario siguiendo la misma logística y dinámica descritas en la primera ronda, donde se determinó que ya no era necesaria una tercera ronda.

Resultados

La presentación de los hallazgos e instrumento IGSSA en la reunión del CTCMPES propició el compromiso de agendar y realizar reuniones con las entidades de gobierno que forman parte de este comité en la revisión y análisis del instrumento para evaluar, gestión de la seguridad y cuidado del ambiente en los laboratorios académicos.

A. Desarrollo del grupo focal. Se llevaron a cabo 5 sesiones con duración promedio de 2 horas en un periodo de 3 meses, donde atendieron al menos 2 de los 5 investigadores del presente estudio y de 15 a 17 funcionarios de las dependencias gubernamentales. Los perfiles de los funcionarios se muestran en el anexo 1, todos contaban al menos con el grado de licenciatura y de 1 a 35 años de experiencia en el tema o puesto. Esta etapa arrojó un cuestionario con 80 ítems (ver Tabla 1) producto de la eliminación de ítems que, aunque aportaban a la seguridad, carecían de relevancia para el cumplimiento normativo obligatorio o que se consideró que por su objeto y especificidad estarían incluidos en un reglamento, manual de laboratorio, capacitación o programa de protección civil. Se agregaron ítems con respuesta abierta y de respuesta múltiple para identificar situaciones relacionadas con el manejo de sustancias, mantenimiento, estado y características de las instalaciones que no contribuyen al puntaje del indicador, pero proporcionan información del laboratorio y conocimiento al docente sobre aspectos que influyen en la seguridad (i.e. número de alumnos, material del mobiliario y construcción del laboratorio). Se pasaron ítems hacia elementos donde se consideró se alineaban mejor al tema para una mejor valoración del aspecto evaluado. Se mejoró la redacción de los ítems y, en general, quedaron de tipo interrogatorio.

Tabla 1. Elementos evaluados en IGSSA e IGSSA-LAB v1, número de ítems e indicadores.

Elementos para evaluar en el laboratorio académico de ciencias

Versión original
IGSSA

Después de grupo focal

Después de entrevistas cognitivas versión final IGSSA-LAB v1

Ítems

Subindicadores

Ítems

Ítems

Subindicadores

Políticas institucionales para la seguridad en el laboratorio

20

Políticas (iP)

11

13

Políticas (iP)

Equipo de protección personal

6

6

6

Equipo de protección personal (iEPP)

Manejo de sustancias químicas

14

Políticas (iP)

17

17

Manejo de sustancias químicas (iSQ)

Manejo de residuos

10

8

8

Manejo de residuos (iR)

Equipo de emergencia y de seguridad

12

Infraestructura y Equipo de emergencia y de seguridad (iEES)

10

10

Equipo de emergencia y de seguridad (iEES)

Protección contra incendios

9

4

4

Señalizaciones de seguridad

7

4

3

Seguridad eléctrica

5

3

3

Infraestructura (iI)

Instalaciones de laboratorio

13

13

16

Material de laboratorio

4

0

0

Capacitación del personal

11

Capacitación (iCa)

4

4

Capacitación (iCa)

Total

111

4

80

84

7

Políticas. Se eliminaron ítems cuyo objeto estaría contenido en un reglamento de laboratorio (p.ej., prohibición de comer, beber o usar el celular en el laboratorio, limpieza del área, etc.), y el que se refería a la recepción de donativos de materiales. Se cambiaron ítems (existencia de hoja de datos de seguridad, inventario y acceso al almacén de sustancias químicas) para mejorar la evaluación en el elemento de sustancias químicas; igualmente, el ítem sobre la existencia de manual de manejo de materiales y residuos peligrosos, incluido en el elemento de sustancias químicas, se cambió al de políticas. Se modificó el ítem sobre mantenimiento preventivo y correctivo para ser de opción múltiple y, así, indicar la instalación que recibe este servicio (electricidad, ventilación, gas, etc.). Se agregó el ítem sobre registro de usuarios del laboratorio al considerar que el laboratorio debe ser un sitio con acceso controlado.

Manejo de sustancias químicas. Se eliminaron ítems cuyo objeto estaría contenido en un manual de manejo de materiales y residuos peligrosos (p. ej., limitación de cantidades de uso, lugar de almacenamiento, uso de contenedores, etc.). Hubo migración de ítems al elemento de políticas y viceversa, como se mencionó anteriormente. Se agregaron ítems que ampliaron la información sobre el almacén de sustancias químicas, con el fin de conocer si fue construido especialmente para ese fin y determinar cantidades de sustancias en el inventario; también se agregaron ítems de opción múltiple relacionada con el tipo de mobiliario usado en el almacén, al protocolo de acceso al almacén y a las características de los termómetros de mercurio (para visualizar la cantidad de mercurio presente reconocido por su toxicidad a la salud y contaminación al ambiente).

Manejo de residuos. Se eliminaron ítems cuyo objeto estaría contenido en un manual de manejo de residuos (p. ej., minimización, características y límites de llenado de los contenedores, bitácora de residuos). Se discutió sobre el manejo de los residuos peligrosos al considerar la posibilidad de que exista desconocimiento y temor al hecho de revelar el incumplimiento al respecto. De allí, se modificó la redacción del ítem sobre el manual de manejo de residuos para saber si, al menos, contaba con instrucciones para ello y se creó un ítem con respuesta abierta para informar el tipo de recipientes usados para los residuos peligrosos, además de indicar que, en el caso de no generar residuos, se escribiera la frase “No se generan residuos peligrosos”. El ítem relativo a la eliminación de los residuos peligrosos en el drenaje se modificó al preguntar si se cuenta con los servicios de una compañía de servicio para su disposición final, y, en el caso de respuesta negativa, solicita mencionar la forma de eliminación de dichos residuos con un nuevo ítem de respuesta abierta.

Equipo de emergencia y de seguridad. Se eliminó un ítem sobre teléfonos de emergencia, ya que se incluyó la existencia de sirena y luz de emergencia. La importancia de la accesibilidad al equipo de emergencia fue discutida y se agregó un ítem que indicara que se encontraba libre de obstáculos, con el fin de eliminar ítems sobre distancia y tiempo para acceder a regaderas y lavaojos. Los ítems sobre inspección y evidencia de inspección de este equipo se integraron en un ítem de opción múltiple que lista sus componentes. El ítem sobre letrero de botiquín pasó al elemento de señalización. El ítem sobre la existencia de lavaojos se modificó para indicar que podía ser fijo o portátil. En el ítem sobre material para derrames se suprimieron las palabras “suficiente y adecuado” y se prefirió crear un ítem de opción múltiple que indicara los componentes del material y su existencia. Se creó un ítem sobre la existencia de detectores de gas L.P. o gas natural debido a la posibilidad de fugas de gases inflamables.

Capacitación del personal. Se eliminaron ítems cuyo objeto serían temas de la capacitación sobre el tema y del programa de protección civil (clasificación, comunicación y fuentes de información de los peligros y riesgos de sustancias químicas, acciones en caso de una emergencia). Los expertos sugirieron agregar ítem sobre infraestructura para que esta capacitación tuviera la opción de ser en modalidad virtual, a pesar de no ser una disposición de carácter normativo.

Señalizaciones de seguridad. Se eliminaron ítems cuyo objeto estaría contenido en un reglamento (uso obligatorio de equipo de protección personal, prohibición de uso de celular) o que se referían a tuberías con fluidos de uso industrial. El ítem sobre señalización para el extintor se modificó para generalizar el uso de letreros para los componentes del equipo de emergencia existente.

Protección contra incendios. Se eliminaron ítems (ubicación e inspección del extintor, compatibilidad del extinguidor con tipos de incendio y existencia de extintor fuera del laboratorio) que quedaron cubiertos en el elemento de señalización, en el ítem sobre mantenimiento preventivo del elemento de equipo de emergencia y en un nuevo ítem de opción múltiple para indicar el tipo de extinguidor con que se cuenta. Los ítems sobre la existencia de detectores de humo y gas se unieron en uno de opción múltiple que incluyera también otros componentes de un sistema contra incendio (sirena(s) y luz (luces) de emergencia). Se agregó un ítem sobre la existencia de manta antiflama.

Seguridad eléctrica. Se eliminó el ítem sobre el uso de extensiones eléctricas al considerarse como muy específico y también se eliminó el ítem sobre la realización de auditorías, que se cubre por el ítem de mantenimiento preventivo y correctivo en el elemento de políticas.

Instalaciones de laboratorio. Se eliminaron ítems muy específicos: gabinetes con productos químicos atados a la pared, software para prácticas virtuales, dimensiones del lavabo y descargas de vapores hacia el exterior. Los ítems sobre extractores o ventanas en el laboratorio se unieron para informar sobre la existencia de un sistema de ventilación y se creó un ítem de opción múltiple que enlista los componentes del sistema existente. En relación con las disposiciones del Instituto Nacional para la Infraestructura Educativa (INIFED), se agregaron ítems de opción múltiple para indicar las características del mobiliario y el material de construcción de las instalaciones de laboratorio. El ítem sobre el área y ocupación del laboratorio se separó en dos ítems, uno de respuesta abierta para indicar la superficie y otro de opción múltiple para indicar el número máximo de alumnos que asisten a una sesión de laboratorio.

Equipo de protección personal y material de laboratorio. Los ítems del elemento de equipo de protección personal se mantuvieron sin cambios, mientras que los relativos al material de laboratorio se eliminaron por considerarlos muy específicos y no esenciales en el cumplimiento normativo (material suficiente, en buenas condiciones y lugar de almacenamiento).

A. Entrevistas cognitivas. Los participantes contaban con de 8 a 30 años de experiencia docente, estudios de licenciatura y algunos de posgrado (Anexo 1). La primera ronda de 5 entrevistas arrojó observaciones y recomendaciones de los entrevistados que condujeron a la mejora en la redacción y a la reformulación de ítems. Se desglosaron 2 ítems del elemento de políticas que hacían referencia a la existencia y tipos de programas de mantenimiento sin diferenciar entre los tipos correctivo y preventivo; se separaron para evitar ambigüedades. El mismo procedimiento se realizó para el ítem sobre el material de acabado del interior del laboratorio que hacía referencia a techo, pared y piso. A continuación, se muestra un ejemplo de los ítems originales que se dividieron y su versión después de la primera ronda.

Versión inicial: ¿Existe un programa preventivo y correctivo de las instalaciones del laboratorio? Versión final: ¿Existe un programa preventivo de las instalaciones del laboratorio? ¿Existe un programa correctivo de las instalaciones del laboratorio?

Los docentes tuvieron dificultad en reconocer un interruptor de circuito de falla (GFCI) y una manta antiflama. Los ítems sobre el área de laboratorio, número de estudiantes a atender en una sesión de laboratorio, material de construcción y mobiliario fueron motivo de cuestionamiento. Debido a estas observaciones, se incluyeron enlaces a imágenes de este equipo y a las disposiciones de INIFED.

En la segunda ronda, se realizaron 4 entrevistas que mostraron que la versión del cuestionario era adecuada e indicaron que no se requería una ronda adicional. El resultado final fue un cuestionario de 84 ítems (ver Tabla 1). El anexo 2 muestra el cuestionario IGSSA original y los cambios realizados para obtener la versión IGSSA-LAB v1.

C. Instrumento para la Gestión de la Salud, Seguridad y Ambiente en el Laboratorio (IGSSA-LAB v1). A la versión resultante del proceso de validación se le denominó: Instrumento para la Gestión de la Salud, Seguridad y Ambiente en el Laboratorio (IGSSA-LAB v1). Al igual que el instrumento original IGSSA, evalúa la gestión integral de riesgos de una manera semicuantitativa (puntaje), utilizando la misma metodología con valores relacionados con el grado de cumplimiento del marco regulatorio mexicano aplicable a la salud y seguridad en el trabajo, protección civil y protección del ambiente en laboratorios académicos donde se utilizan sustancias químicas. La diferencia es que, este último, quedó compuesto de 7 subindicadores que incluyen 84 ítems totales a evaluar y que un docente de laboratorio respondería en un tiempo estimado de 2-3 horas. A continuación, se describen estos subindicadores.

1) Políticas para la salud, seguridad y protección al ambiente (iP). Evalúa la existencia de políticas en la escuela establecidas para prevenir accidentes, enfermedades o incidentes de los usuarios del laboratorio, minimizar el impacto hacia el medio ambiente y cumplir requerimientos legales.

2) Manejo de sustancias químicas (iSQ). Evalúa aspectos relacionados con la presencia, las condiciones de almacenamiento y el uso de las sustancias químicas en el laboratorio escolar de ciencias

3) Manejo de residuos peligrosos (iR). Evalúa los aspectos relacionados con el manejo, el almacenamiento, la clasificación y la disposición final de los residuos generados durante las prácticas de laboratorio.

4) Infraestructura del laboratorio (iI). Evalúa la existencia, condiciones y cumplimiento de la normativa nacional sobre las dimensiones del laboratorio, el suministro de agua potable, la energía eléctrica y el gas L.P., la señalización, las instalaciones eléctricas, el acabado interior, las mesas de trabajo, el sistema de ventilación, la salida de emergencia y la accesibilidad.

5) Equipo de emergencia y seguridad (iEES). Evalúa la existencia, condición y señalización del equipo de emergencia y contra incendios con los que debe contar un laboratorio, tales como regaderas y lavaojos funcionales, botiquín de primeros auxilios, extintores, sistema de alarma de emergencia y sistemas de detección de incendios.

6) Equipo de protección personal (iEPP). Evalúa el uso del equipo de protección personal requerido en el laboratorio durante las prácticas.

7) Capacitación del personal (iCa). Evalúa la capacitación del personal académico destinado al área de laboratorio en temas relacionados con la gestión de las sustancias químicas, seguridad en el laboratorio, cuidado al medio ambiente, evaluación de riesgos y acciones en caso de una emergencia en el laboratorio.

Discusión

El presente trabajo permitió la colaboración entre la academia y las diferentes instancias de los diferentes niveles de gobierno que, de manera fragmentada, atienden la seguridad y protección del ambiente para atender las deficiencias identificadas y las implicaciones que derivarían de un accidente en el laboratorio académico de ciencias.

La amplia trayectoria y experiencia de los representantes de las dependencias gubernamentales en el cumplimiento regulatorio, así como la experiencia de los docentes, fue complementario y fundamental para el proceso de validación, adaptación y uso del cuestionario que forma parte de un instrumento de gestión de la seguridad en el laboratorio académico de ciencias. Es pertinente mencionar que el entorno de laboratorio y sus particularidades era poco conocidos para algunos de los representantes gubernamentales, cuya formación profesional no estaba relacionada con el área de las ciencias químicas. De alguna forma, este hecho quedó subsanado con la experiencia de los investigadores en el tema de seguridad en los laboratorios, de los representantes de la Secretaría de Educación y de otros representantes gubernamentales cuya formación si era en el ámbito de estas ciencias.

De la misma manera, los comentarios, sugerencias y dudas recibidas por parte de los docentes de laboratorio durante las entrevistas cognitivas detonaron cambios y adaptaciones que permiten que este cuestionario pueda ser utilizado por otros docentes de laboratorio, al emplear un vocabulario accesible a ellos y que, incluso, sea una herramienta de capacitación que adicionalmente propiciaría el interés por profundizar en el tema al percatarse de las oportunidades de mejora.

Si bien este cuestionario fue desarrollado para inspeccionar y evaluar los laboratorios de instituciones de educación media superior del estado de Sonora, se considera que al igual que la primera versión de IGSSA, puede ser utilizado también para laboratorios de ciencias de instituciones de otros niveles educativos (educación media y superior) e incluso en otras regiones, dado que incluye aspectos básicos con los que debe cumplir este espacio de trabajo académico (Álvarez-Chávez et al., 2021). Asimismo, IGSSA-LAB v1 puede ser útil para el diagnóstico de la gestión de la seguridad en laboratorios escolares, así como para el seguimiento y evaluación de intervenciones de mejora, como parte de un programa de gestión de la salud, seguridad y protección al ambiente establecido de acuerdo con las necesidades de cada institución y conforme a los cambios en el marco regulatorio.

Conclusiones

El instrumento IGSSA-LAB v1 representa un apoyo al cumplimiento del marco regulatorio mexicano de manera integrada en aspectos de salud, seguridad, protección civil y medioambiente, así como en infraestructura educativa para los laboratorios académicos de ciencias, gracias a la retroalimentación recibida de los representantes de dependencias gubernamentales que regulan estos aspectos en México y en el Estado de Sonora, según su campo de competencia.

El instrumento IGSSA-LAB v1 fue validado tanto por actores gubernamentales como académicos para la evaluación de la gestión de la seguridad en el laboratorio de ciencias de nivel bachillerato. Es una herramienta de autogestión que contempla su uso por personal docente y contribuye a su capacitación en aspectos básicos de la seguridad y protección al ambiente. Por lo anterior, puede ser utilizado por instituciones de diferentes niveles educativos y regiones de México como parte de un programa de gestión, contribuyendo a introducir y fortalecer la cultura de la seguridad en la práctica experimental de las ciencias, que a la larga se traduciría en profesionistas empoderados en la gestión de la seguridad y protección al ambiente en beneficio de la sostenibilidad en el país.

Aclaración: IGSSA-LAB v1 es un instrumento de apoyo para la gestión de la salud, seguridad y protección al ambiente en los laboratorios académicos. Los autores no se responsabilizan por la aplicación y resultados del instrumento.

Referencias

ACS. (2012). ACS Guidelines and Recommendations for teaching middle and high school chemistry, consultada en febrero 1, 2022, en la URL https://www.acs.org/content/dam/acsorg/education/policies/recommendations-for-the-teaching-of-high-school-chemistry.pdf.

ACS. (2017). Safety in Academic Chemistry Laboratories. (8th ed.). American Chemical Society, consultada en Febrero 1, 2022, en la URL https://www.acs.org/content/dam/acsorg/about/governance/committees/chemicalsafety/publications/safety-in-academic-chemistry-laboratories-students.pdf.

Álvarez-Chávez, C.R., Arce-Corrales, M.E., Castañeda-Quesney, M.F., Duarte-Tagles, H.F., Esquer-Manríquez, R., Flores-Soto, A.A., Muñoz-Osuna, F. O. (2018). Diplomado en salud, seguridad y protección al ambiente en laboratorios de ciencias de educación media superior. (Octubre 7 de 2017 a Mayo 19 de 2018). Programa de Educación Continua de la Universidad de Sonora.

Alvarez-Chavez, C. R., Flores-Soto, A. A., Arce-Corrales, M. E., Esquer-Peralta, J., y Munguía-Vega, N. E. (2021). Tool for the Integrated Assessment of Health, Safety, Civil, and Environmental Protection Management in High School Laboratories (IHSCE Tool). ACS Chemical Health y Safety, 28(4), 279–289. https://doi.org/10.1021/acs.chas.0c00110.

Asiry, S., y Ang, L.-C. (2019). Laboratory Safety: Chemical and Physical Hazards (Vol. 1897, pp. 243–252). Humana Press. https://doi.org/10.1007/978-1-4939-8935-5_21.

Ayi, H.-R., y Hon, C.-Y. (2018). Safety culture and safety compliance in academic laboratories: A Canadian perspective. Journal of Chemical Health and Safety, 25(6), 6–12. https://doi.org/10.1016/j.jchas.2018.05.002.

Blancas-Vergara, F. García-Reyes, F., López-Escobedo, J. R. (2019). Accidentes por substancias peligrosas en los laboratorios escolares ¿prevención obligatoria ó descuido laboral? In Prevención Integral. ORP 19 Congreso Internacional, consultada en febrero 1, 2022. https://www.prevencionintegral.com/canal-orp/papers/orp-2019/accidentes-por-substancias-peligrosas-en-laboratorios-escolares-prevencion-obligatoria-o-descuido.

Cluster Minero de Sonora, A. C. (2017). Toma de Protesta del Comité Consultivo en Materiales Peligrosos del Estado de Sonora, consultada en febrero 1, 2022, en la URL https://fb.watch/aVyUNio6-1/.

El Sol de México. (2018). Sale mal experimento de química en CETIS de Coahuila, explosión deja 10 heridos. Nota Periodística, consultada en febrero 1, 2022, en la URL https://www.elsoldemexico.com.mx/doble-via/virales/cetis-coahuila-experimento-de-quimica-acido-1959014.html.

Fivizzani, K. P. (2016). Where are we with lab safety education: Who, what, when, where, and how? Journal of Chemical Health y Safety, 23(5), 18–20. https://doi.org/10.1016/j.jchas.2015.11.001.

HSA. (2018). Guidelines on managing safety, health and welfare in Post-primary schools. Revised guidelines. Health and Safety Authority, consultada en febrero 1, 2022, en la URL https://www.hsa.ie/eng/education/managing_safety_and_health_in_schools/new_guidelines_files/spp-part-a-b-c-interactive-f.pdf

Hamui-Sutton, A. y Varela-Ruiz, M. (2013). La técnica de grupos focales. Investigación en educación médica. 2(1), 55-60.

INIFED-SEP. (2014). Normas y Especificaciones, para estudios, prouectos, construcción e instalaciones. Volumen 3. Habitabilidad y Funcionamiento. Tomo II. Norma de accesibilidad, consultada en Enero 31, 2022, en la URL http://www.educacionespecial.sep.gob.mx/pdf/doctos/4Accesibilidad/1Normas_especificaciones_INIFED.pdf.

Kaufman J.A. (2020). Killed in lab accidents: Memorial wall. Laboratory Safety Institute, consultada en Enero 29, 2022, en la URL https://www.labsafety.org/memorial-wall.

Marin, L. S., Muñoz-Osuna, F. O., Arvayo-Mata, K. L., y Álvarez-Chávez, C. R. (2019). Chemistry laboratory safety climate survey (CLASS): A tool for measuring students’ perceptions of safety. Journal of Chemical Health y Safety, 26(6), 3–11. https://doi.org/10.1016/j.jchas.2019.01.001.

Ménard, A. D., y Trant, J. F. (2020). A review and critique of academic lab safety research. Nature Chemistry, 12(1), 17–25. https://doi.org/10.1038/s41557-019-0375-x

NRC. (2014). Safe Science: Promoting a Culture of Safety in Academic Chemical Research. National Academies Press. https://doi.org/https://doi.org/10.17226/18706.

NSTA. (2015). An NSTA Position Statement: Safety and School Science Instruction, consultada en Diciembre 20, 2020, en la URL https://static.nsta.org/pdfs/PositionStatement_Safety.pdf

Olewski, T., y Snakard, M. (2017). Challenges in applying process safety management at university laboratories. Journal of Loss Prevention in the Process Industries, 49, 209–214. https://doi.org/10.1016/j.jlp.2017.06.013.

Schenk, L., Taher, I. A., y Öberg, M. (2018). Identifying the Scope of Safety Issues and Challenges to Safety Management in Swedish Middle School and High School Chemistry Education. Journal of Chemical Education, 95(7), 1132–1139. https://doi.org/10.1021/acs.jchemed.8b00054.

SinEmbargo. (2016). Explosión durante práctica en laboratorio de la UAM Xochimilco deja 19 personas lesionadas, consultada en Febrero 1, 2022, en la URL https://www.sinembargo.mx/17-02-2016/1624885.

Uno TV. (2017). Accidente de laboratorio deja 16 alumnos lesionados en Tlaxcala, consultada en Febrero 1, 2022, en la URL https://www.unotv.com/noticias/estados/tlaxcala/detalle/accidente-laboratorio-deja-16-alumnos-heridos-tlaxcala-132627/.

Walters, A. U. C., Lawrence, W., y Jalsa, N. K. (2017). Chemical laboratory safety awareness, attitudes and practices of tertiary students. Safety Science, 96, 161–171. https://doi.org/10.1016/j.ssci.2017.03.017.

Willis, G. B. (1999). Cognitive Interviewing A “How To” Guide”, consultada en Diciembre 20, 2021, en la URL https://www.hkr.se/contentassets/9ed7b1b3997e4bf4baa8d4eceed5cd87/gordonwillis.pdf.

Willis, G. B. (2005). Cognitive interviewing. SAGE Publications, Inc., https://dx.doi.org/10.4135/9781412983655



Recepción: 02/02/2022.
Aceptación: 18/10/2023.


Cómo citar:

Álvarez-Chávez, C. R., García-Rendón, A., Marín-Ramírez, L. S., Flores-Soto, A. A., y Esquer-Peralta, J. (2024, enero-marzo). Validación de un instrumento para evaluar la gestión integral de la seguridad en laboratorios académicos. Educación Química, 35(1) https://doi.org/10.22201/fq.18708404e.2024.1.86890.


[a]Universidad de Sonora. Departamento de Ciencias Químico-Biológicas y Posgrado en Sustentabilidad. https://orcid.org/0000-0002-9948-8047.

[b]Exalumna del Posgrado en Sustentabilidad de la Universidad de Sonora. https://orcid.org/0000-0003-3058-8207.

[c]Universidad de Indiana en Pensilvania. Departamento de Ciencias de la Seguridad. https://orcid.org/0000-0002-1383-8166.

[d]Universidad de Sonora. Departamento de Ciencias Químico-Biológicas. https://orcid.org/0000-0002-1918-2364.

[e]Universidad de Sonora. Posgrado en Sustentabilidad. https://orcid.org/0000-0002-3031-1104.