https://doi.org/10.22201/fq.18708404e.2024.2.86707

Didáctica de la Química

Introducción a la interpretación de Ciclos Catalíticos: una metodología sencilla para estudiantes universitarios de segundo año

Itzel Guerrero-Ríos[a], Iván Darío Rojas-Montoya[a] y Antonio Reina[a]

Resumen

El conteo de electrones y la regla de los 18 electrones son herramientas importantes para la comunidad académica porque ofrecen información valiosa sobre un compuesto de coordinación, en particular para predecir su estabilidad y reactividad catalítica. En este trabajo, presentamos una metodología algebraica de fácil aplicación basada en el método de conteo covalente que permite al estudiante contar electrones mediante ecuaciones matemáticas. Además, proporciona información adicional sobre el compuesto de coordinación, incluyendo el número de electrones de valencia, el número de coordinación, el estado de oxidación y el número de electrones no enlazantes. A lo largo del manuscrito, mostramos cómo estos cuatro parámetros son útiles para reconocer los pasos elementales en catálisis, y se proporciona un árbol de decisiones para hacerlo. Finalmente, presentamos una metodología para interpretar ciclos catalíticos. Esta actividad se probó con más de 150 estudiantes de la Facultad de Química de la UNAM, con resultados alentadores en cuanto al conocimiento adquirido en el conteo de electrones e interpretación de ciclos catalíticos. Por lo tanto, creemos firmemente que esta estrategia puede ser muy útil para estudiantes universitarios, docentes e investigadores.

Palabras clave:

Segundo año de licenciatura; Química Inorgánica; Toma de decisiones; Catálisis; Organometálica; Estados de oxidación; Conteo de electrones; Ciclo catalítico.

Introduction to the interpretation of Catalytic Cycles: a straightforward methodology for second-year university students

Abstract

Electron counting and the 18-electron rule are important tools for the academic community because they offer valuable information about the metal complex in particular for predicting its stability and catalytic reactivity. Herein, we present an easy appliable algebraic methodology based on the covalent counting method that allows the student to count electrons with mathematical equations. Moreover, it provides further information about the metal complex including valence electron number, coordination number, oxidation state and non-bonding electron number. Across the manuscript we show how these four parameters are helpful for recognizing elementary steps in catalysis, and a decision tree is furnished to do so. Finally, we provide a methodology for interpretating catalytic cycles. This activity was tested with more than 150 students from Facultad de Química, UNAM with encouraging results in acquired knowledge for electron counting and catalytic cycle interpretation. Thus, we strongly believe that this strategy can be very useful for undergraduates, educators and researchers.

Keywords:

Second-year Undergraduate; Inorganic Chemistry; Decision Making; Catalysis; Organometallic; Oxidation State; Electron counting; Catalytic cycle.




Introducción

Cuando se discute sobre el contenido del plan de estudios de química a nivel licenciatura, en particular para el primer y segundo año, existe un debate sobre el hecho de que los cursos introductorios son demasiado abstractos. De hecho, es crucial que los estudiantes relacionen los contenidos discutidos en el aula con aplicaciones industriales y prácticas (Bhadari y Mukesh, 2001). En la Facultad de Química de la UNAM, una de las principales características del curso de Química Inorgánica I, curso de tercer semestre de tronco común a 5 carreras de orientación en química, es relacionar continuamente los temas revisados en clase con ejemplos de la vida real. Durante la clase sobre la introducción a los compuestos de metales de transición, presentamos a los estudiantes el tema de catálisis. Es importante mencionar que los compuestos de este tipo se denominan compuestos de coordinación, y dentro de esta categoría se encuentran los compuestos organometálicos, en los que hay al menos un enlace metal-carbono.

La catálisis, uno de los doce principios de la química verde, es el proceso que permite que una reacción tenga lugar al reducir su energía de activación mediante la generación de nuevos estados de transición que favorecen a los productos de la reacción química. El impacto de la catálisis en la economía mundial es inmensamente importante. El desarrollo de procesos catalíticos para productos derivados del petróleo, productos de química fina, productos farmacéuticos y plásticos sintéticos, entre otros, representa un negocio multimillonario en todo el mundo. De hecho, más del 80% de todos los productos manufacturados dependen directa o indirectamente de la catálisis. Sin embargo, la percepción de su importancia en la vida cotidiana, para las personas fuera del campo de la ciencia de la catálisis, es casi nula (Catlow et al., 2015). En particular, el uso de la catálisis homogénea de metales de transición se ha vuelto indispensable en las últimas décadas (Shao y Zhang, 2009). Algunos de los procesos más importantes son: la hidroformilación de olefinas para la síntesis de aldehídos (Delolo et al., 2021), la hidrosilación de Chalk-Harold para la formación de alquil silanos a partir de olefinas (Chalk y Harold, 1965), y la formación de ácido acético mediante la carbonilación de metanol patentada por Monsanto (Zoeller et al., 1992), entre muchos otros. De hecho, la introducción de la química organometálica y la catálisis al principio del plan de estudios de química ha demostrado ser una estrategia útil para preparar a los estudiantes en su formación profesional, ya sea en la academia o en la industria (Schaller et al., 2015; Reisner et al., 2012).

Para comprender a cabalidad la implicación de los catalizadores metálicos homogéneos en dichos procesos industriales, es fundamental dibujar e interpretar ciclos catalíticos. Además, ayuda a los estudiantes a comprender por qué los catalizadores se regeneran durante la reacción y aun cuando se forman diversos intermediarios de reacción que involucran especies metálicas, el catalizador no se modifica en el proceso global. En el aula, la combinación de la química introductoria, los compuestos de metales de transición y la catálisis homogénea, permite a los estudiantes interpretar ciclos catalíticos. Para hacerlo, los estudiantes deben relacionar el conteo de electrones de los compuestos de coordinación con los pasos elementales en la catálisis.

Para introducir el tema de conteo electrónico podemos referirnos a la química de elementos representativos, en la cual la estabilidad de las moléculas se puede describir con las estructuras de Lewis y la regla del octeto, donde cada átomo está rodeado por 8 electrones, lo que corresponde a la configuración de gas noble estable ns2np6. De manera similar a la regla del octeto, cuando hablamos de metales de transición, es necesario tomar en cuenta los 5 orbitales d, que necesitan 10 electrones adicionales para lograr una configuración de capa cerrada, como lo introdujo Langmuir en 1921 (Jensen, 2005). A principios de la década de 1920, Langmuir ilustró que Ni(CO)4, Fe(CO)5 y Mo(CO)6 tenían estructuras consistentes con esta regla (Langmuir, 1921; Mingos, 2004). La regla de los 18 electrones y los métodos de conteo de electrones correspondientes son herramientas básicas poderosas en la química inorgánica, ya que proporcionan información sobre la estabilidad de un compuesto y permiten hacer predicciones sobre la reactividad de los compuestos de coordinación en la catálisis (Tolman, 1972; Bochmann, 2015; Elschenbroich y Salzer, 1992; Hartwig, 2010; Miessler y Spessard, 1991; Duncan y Johnson, 2007; Housecroft y Sharpe, 2012; Powell, 1998; Reina et al., 2021; Reina et al., 2022). Sin embargo, al igual que la regla del octeto, se pueden encontrar muchas excepciones a la regla de los 18 electrones (Tolman, 1972). Varios trabajos se han centrado en enfoques pedagógicos para enseñar estructuras de Lewis y la regla del octeto, sin embargo, pocos trabajos han tratado la regla de los 18 electrones (Jackson et al., 2020; McArdle, 2019; See, 2009; Ahmad y Zakaria, 2000; Straub, 1995; Ahmad y Omar, 1992; Jensen y Abegg, 1984; Zandler y Talaty, 1984; Lever, 1972; Brady et al., 1990; Nassif y Czerwinski, 2015; Joki y Aksela, 2018). Recientemente, Rasmussen, inspirado en el trabajo de Mitchell y Parish, discutió en profundidad la teoría detrás de la regla de los 18 electrones a través de orbitales moleculares, mostrando el efecto de los ligantes σ y π, y los factores que determinan si se cumple o no está regla (Rasmussen, 2015; Mitchell y Parish, 1969). Además, ejemplifica las metodologías clásicas de conteo de electrones, así como los posibles errores derivados de mezclar ambas estrategias. De hecho, existen dos metodologías principales para el conteo de electrones: el método iónico y el método covalente. Ambos son herramientas válidas y siempre deben proporcionar la misma respuesta. Cabe destacar que en este trabajo se utiliza el término “ligante”, que es el más utilizado en México, en detrimento del término “ligando”. En el método iónico, todos los ligantes donan pares de electrones al centro metálico catiónico. Por lo tanto, es clave conocer la carga formal de todos los correspondientes ligantes y el estado de oxidación formal del centro metálico, así como relacionar los conceptos de acidez y basicidad de Lewis. En algunos casos, esto no es trivial. En el método covalente, todos los ligantes se consideran como neutros, al igual que el centro metálico, lo que evita determinar su estado de oxidación formal. Los ligantes que se considerarían como cargados se tratan como radicales. Basándose en el método covalente, como resumió Didier Astruc, el conteo de electrones mediante ecuaciones puede proporcionar más información sobre el compuesto de coordinación, incluyendo el número de electrones de valencia, el número de coordinación, el estado de oxidación del centro metálico y el número de electrones en los orbitales d del metal (Astruc, 2007). La adaptación que realizamos a esta metodología permite además introducir que existen compuestos bimetálicos y que se puede determinar el número de enlaces metal-metal, lo que suele ser un tema confuso para los estudiantes.

Las reacciones catalíticas involucran compuestos organometálicos en los que ocurren pasos elementales, que permiten que la reacción catalítica se lleve a cabo. Estos pasos incluyen procesos como la sustitución de ligantes, la transmetalación, la inserción migratoria y la eliminación, así como la adición oxidante y la eliminación reductora. Al emplear el conteo algebraico de electrones, se adquiere información valiosa sobre el compuesto de coordinación, facilitando el análisis de los parámetros específicos que sufren modificaciones durante cada paso elemental. Estos parámetros son distintos para cada paso, proporcionando herramientas para interpretar y comprender cada etapa individual dentro de un ciclo catalítico.

En este trabajo, presentamos una actividad realizada con estudiantes sobre cómo utilizar dichas ecuaciones y recuperar información para identificar pasos elementales e interpretar ciclos catalíticos.

Diseño de la actividad

La actividad fue diseñada para coincidir con la clase acerca de la introducción a los compuestos de metales de transición en el contexto del curso de Química Inorgánica en el Departamento de Química Inorgánica y Nuclear de la Facultad de Química de la UNAM. Este Departamento ofrece cursos de química general y química inorgánica a más de 4,000 estudiantes de 6 carreras del área de química cada semestre. La actividad se probó durante dos sesiones de 1.5 horas, con un total de 192 estudiantes. Durante la primera sesión, se enseñó a los estudiantes la metodología algebraica para el conteo de electrones, que se describe a continuación en la sección de Secuencia Didáctica. La segunda sesión consistió en una introducción a la interpretación de ciclos catalíticos. Los estudiantes inscritos en esta clase no estaban familiarizados con el conteo de electrones para compuestos de metales de transición, por lo tanto, no se les pidió que realizaran una evaluación diagnóstica previa. Los estudiantes realizaron una prueba posterior para determinar sus habilidades para contar correctamente electrones e interpretar ciclos catalíticos. Los alentadores resultados mostraron que los estudiantes adquirieron la capacidad de contar electrones correctamente e interpretar ciclos catalíticos, a pesar de no tener nociones de química organometálica.

Secuencia didáctica

Primera sesión:

Clasificación de ligantes

Para determinar el número de electrones de valencia en compuestos de coordinación y organometálicos, es necesario identificar correctamente el tipo de ligantes unidos al centro metálico. Es importante señalar que en esta clasificación de ligantes, se considera que todos los ligantes son neutros. Podemos dividir los ligantes en tres grupos principales, los ligantes tipo X, los ligantes tipo L y los ligantes de tipo Z (Figura 1) (Green, 1995; Crabtree y Mingos, 2007; Green y Parkin, 2014):

Figura 1. Clasificación de ligantes de tipo X, L y Z.

Es importante señalar que la existencia de ligantes multidentados puede describirse como una combinación de ligantes tipo X y L. Con el fin de analizar los ligantes y clasificarlos como ligantes LaXb, una estrategia útil es dibujar la estructura de Lewis del ligante y determinar cuántos electrones puede compartir con un centro metálico. Como se muestra en la Figura 1 y en la Tabla 1, la estructura de Lewis nos permite determinar el número de electrones compartidos o donados por un ligante dado. Por ejemplo, el ligante ciclopendienilo (Cp, C5H5) puede describirse como L2X porque tiene dos enlaces dobles (dos ligantes L tipo alqueno) y un alcano, ligante X. El benceno es un ligante neutro y tiene 3 enlaces dobles, por lo tanto, es un ligante L3. El alilo tiene un enlace doble y un radical alquilo; por lo tanto, es un ligante LX.

En el caso de los ligantes nitrosilo, dos estructuras resonantes son posibles, el nitrosilo angular con un enlace NO doble y el nitrosilo lineal con un enlace NO triple. En el último caso, el par electrónico libre de nitrógeno tiene la simetría adecuada para ser donado al centro metálico, actuando como un ligante LX. De manera similar, el ligante imido lineal dona un par adicional de electrones al metal en comparación con el ligante imido angular. En el caso del ditiocarbamato, la estructura de Lewis permite identificar claramente que un átomo de azufre está donando un par de electrones (ligante L), mientras que el otro átomo de azufre comparte 1 electrón con el metal (ligante X). Los carbenos (X2) y carbinos (X3), que comparten dos y tres electrones con el centro metálico respectivamente, se identifican fácilmente mediante esta metodología, a diferencia del método de conteo iónico en el que los carbenos y carbinos de Schrock y Fischer donan diferentes números de electrones. Cabe destacar que, en algunos casos, los ligantes X con pares electrónicos libres, como haluros o alcóxidos, pueden actuar como ligantes LX para estabilizar los centros metálicos.

Tabla 1. Clasificación de ligantes usando estructuras de Lewis.

Ligante

Estructura de Lewis

Clasificación

Número de electrones compartidos

Ciclopentadienilo

(Cp) h5-C5H5

L2X

5

Benceno

L3

6

Alilo h3-C3H5

LX

3

Nitrosilo (angular)

X

1

Nitrosilo (lineal)

LX

3

Imido (angular)

X2

2

Imido (lineal)

LX2

4

Ditiocarbamato

LX

3

Carbeno

X2

2

Carbino

X3

3

Método algebraico para el conteo de electrones

A continuación, se les enseñó a los estudiantes una metodología algebraica basada en el trabajo reportado por Astruc (Astruc, 2007). Esta metodología se basa en el método de conteo covalente utilizando la clasificación de ligantes explicada anteriormente. De manera general, un centro metálico de un complejo organometálico se puede describir como [MnLaXbLcXdke]q (Esquema 1):

Esquema 1. Representación general de un complejo organo(bi)metálico.

Empleando esta nomenclatura, podemos determinar algebraicamente el número de electrones de valencia, el número de coordinación, el estado de oxidación y el número de electrones en el orbital d para un metal dado, que corresponden a los electrones no enlazantes. Es importante destacar que el conteo de electrones siempre se realiza para un solo centro metálico.

Electrones de valencia: EV = N + 2(a) + b + c + d + e - q

Número de coordinación: NC = a + b + c + d + e

Estado de oxidación: EdOx = b + d + q

Electrones en el orbital d: dn = N - b - d - e - q

Donde:

Veremos más adelante por qué los ligantes puente deben ser considerados aparte y por qué se requiere especial cuidado al considerarlos. A continuación, evaluaremos esta metodología a través de los siguientes ejemplos que demuestran que el enfoque algebraico es útil para compuestos neutros, cargados y mono —y multi-metálicos (Tabla 2).

Tabla 2. Método algebraico aplicado al conteo de electrones de diferentes compuestos de coordinación y organometálicos.

Complejo

Identificación

Método algebraico

1

  • Cr [Ar] 3d5 4s1 tiene 6 electrones de valencia
  • CO es una molécula neutra, ligante L
  • El ciclopentadienilo es un ligante L2X

[CrL5X]-

EV = N + 2(a) + b - q = 6 + 2(5) + 1 - (-1) = 18

NC = a + b = 5 + 1 = 6

EdOx = b + q = 1 + (-1) = 0

dn = N - b - q = 6 - 1 - (-1) = 6

2

  • Mo [Kr] 4d5 5s1 tiene 6 electrones de valencia
  • El imido angular es un ligante tipo X2
  • El imido lineal es un ligante tipo LX2
  • El ditiocarbamato es un ligante tipo LX

[MoL3X6]

EV = N + 2(a) + b = 6 + 2(3) + 6 = 18

NC = a + b = 3 + 6 = 9

EdOx = b = + 6

dn = N - b = 6 - 6 = 0

3

  • Co [Ar] 3d7 4s2 tiene 9 electrones de valencia
  • El carbonilo terminal es un ligante L
  • El ciclopentadienilo es un ligante L2X
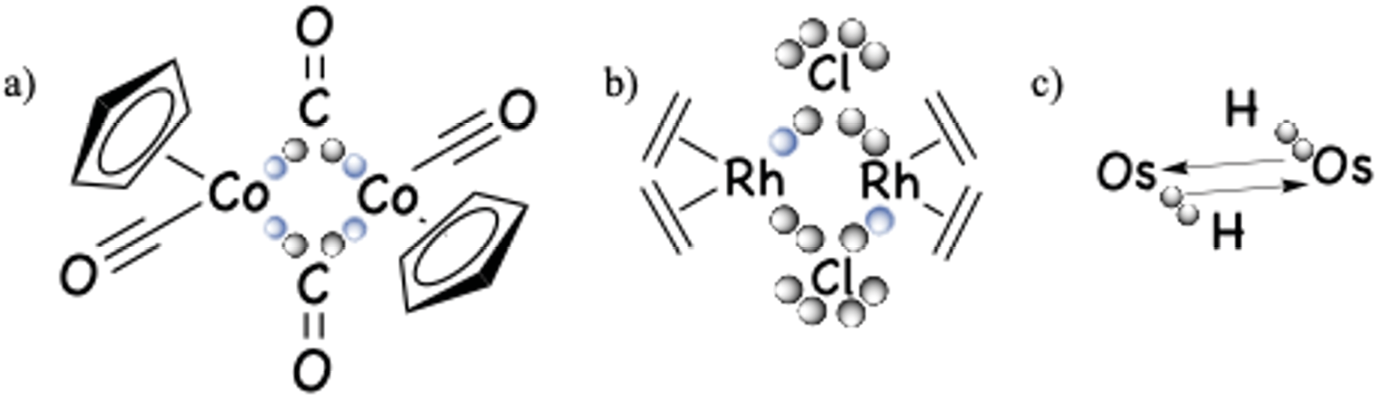
  • El carbonilo puente es un ligante puente de tipo L (Figura 2.a)

[CoL3XL2]

EV = N + 2(a) + b + c = 9 + 2(3) + 1 + 2 = 18

NC = a + b + c = 3 + 1 + 2 = 6

EdOx = b = + 1

dn = N - b = 9 - 1 = 8

4

  • Rh [Kr] 4d8 5s1 tiene 9 electrones de valencia
  • El octadieno terminal es un ligante tipo L2
  • El cloro puente es un ligante puente de tipo XL (Figura 2.b)

[RhL2XL]

EV = N + 2(a) + d + a = 9 + 2(2) + 1 + 2 = 16

NC = 2(a) + d + a = 2 + 1 + 1 = 4

EdOx = d = + 1

dn = N - d = 9 - 1 = 8

5

  • Os [Xe] 4f14 5d6 6s2 tiene 8 electrones de valencia
  • Los carbonilos son ligantes tipo L
  • El hidrógeno puente es un ligante puente de tipo X, pero solo uno de los dos hidrógenos comparte un electrón con cada centro metálico (Figura 2.c)
  • El centro metálico marcado en azul forma tres enlaces metal-metal con otros átomos de osmio.

[OsL3Xk3]

EV = N + 3(a) + d = 8 + 3(2) + 1 + 3 = 18

NC = a + d = 3 + 1 + 3 = 7

EdOx = d = + 1

dn = N - d - e = 8 - 1 - 3 = 4

Para evaluar los ligantes puente, las estructuras de Lewis también pueden ser muy útiles. Se presentan tres ejemplos en la Figura 2. Si dibujamos la interacción del carbonilo con un complejo bimetálico de cobalto, podemos observar que el CO tiene 2 electrones, por lo que dona 1 a cada centro metálico actuando como un ligante puente L (Figura 2.a). En cuanto a los átomos de cloro puente, la estructura de Lewis revela que el cloro comparte un electrón con un centro de rodio y dona un par de electrones al otro átomo de rodio, actuando como un ligante puente X y al mismo tiempo como un ligante L (Figura 2.b). En relación con el enlace hidrógeno-osmio, Os-H-Os es una unión de 3 centros y 2 electrones, lo que significa que un hidrógeno está compartiendo un electrón con el osmio y la densidad electrónica del par de electrones del enlace químico se dona parcialmente al otro metal (Figura 2.c). Por lo tanto, cada hidrógeno comparte 1 solo electrón con un centro metálico (Astruc, 2007).

Figura 2. Estructuras de Lewis de los ligantes puente en los compuestos organometálicos 3, 4 y 5.

Como se observa en la Tabla 2, el complejo de rodio(I) no sigue la regla de los 18 electrones. En realidad, los compuestos cuadrado-planos de dieciséis electrones son comunes para metales d8, en particular para aquellos cationes metálicos con estado de oxidación formal de 1+ y 2+ (Figura 3) (Crabtree y Mingos, 2007).

Figura 3. Metales que adoptan comúnmente una geometría cuadrada plana.

Segunda sesión:

Pasos elementales en catálisis

En la segunda sesión, se les enseñó a los estudiantes de pregrado acerca de los diferentes pasos elementales que puede experimentar un complejo organometálico: sustitución de ligantes y transmetalación, inserción migratoria y eliminación, y adición oxidante y eliminación reductora. En catálisis, los pasos elementales son la familia de reacciones que ocurren en el compuesto de coordinación y permiten los ciclos catalíticos. Dependiendo del tipo de paso elemental, los diferentes parámetros que determinamos mediante el conteo de electrones se modificarán de una manera específica (Astruc, 2007; Spessard y Miessler, 2010; Van Leuwen, 2004; Semba y Nakao, 2014).

Sustitución de ligantes y transmetalación

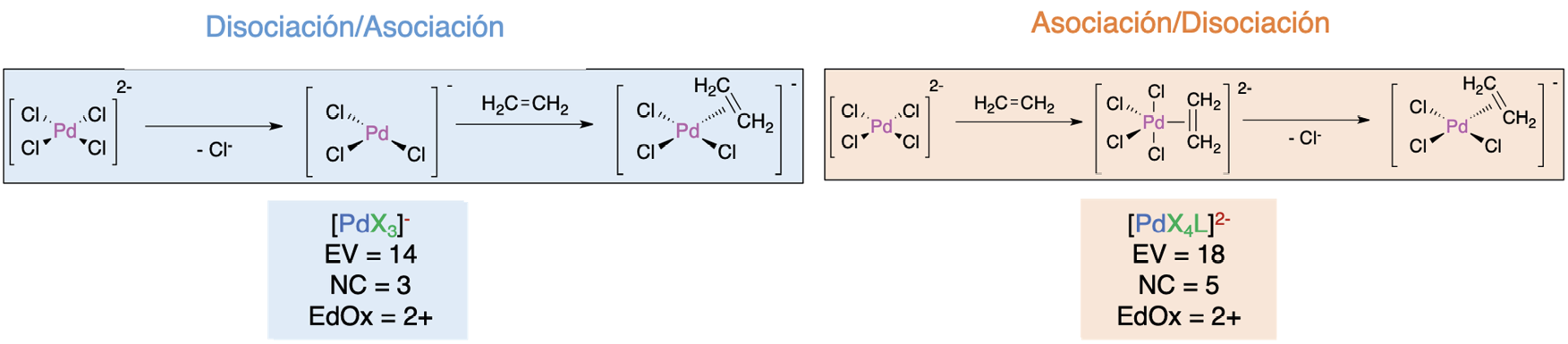
Durante la sustitución de ligantes, un ligante se asocia al centro metálico y otro se disocia. En este caso, no hay modificación en los parámetros: ni en el número de electrones de valencia, ni en el número de coordinación, ni en el estado de oxidación (Figura 4).

Figura 4. Sustitución de ligante de [PdCl4]2- para dar [Pd(Cl)3(H2C=CH2)]-.

Sin embargo, el conteo de electrones puede ser útil para determinar el mecanismo de reacción, ya sea que la asociación ocurra primero y luego la disociación, o viceversa. En este ejemplo, la vía más probable es que primero ocurra la adición del alqueno, y luego la disociación del cloruro, debido a que el complejo intermediario de paladio tendría 18 electrones. Este complejo es más estable que el intermediario de 14 electrones que se genera en el otro mecanismo (Figura 5).

Figura 5. Mecanismos posibles para la sustitución de ligantes de [PdCl4]2- para dar [Pd(Cl)3(H2C=CH2)]-.

La transmetalación es la sustitución de ligantes entre dos compuestos de coordinación o con un metaloide (Figura 6). Al igual que en la sustitución de ligantes, ninguno de los parámetros determinados se modifica durante esta reacción.

Figura 6. Transmetalación entre un complejo de paladio y un ácido arilborónico.

Inserción migratoria y eliminación

En la inserción migratoria, un ligante L coordinado al centro metálico es insertado en un enlace M-X en posición cis. O visto de otra manera, un ligante X migra hacia un ligante L en posición cis. Dado que hay poca información experimental sobre si ocurre una migración o una inserción, el proceso se llama inserción migratoria. En el ejemplo a continuación, el alqueno (ligante L) se inserta en el enlace metal-hidrógeno, o el hidrógeno (ligante X) migra hacia el alqueno (Figura 7). Durante esta reacción, el número de coordinación se reduce en 1 y el recuento de electrones de valencia también se reduce, pero el estado de oxidación no sufre ningún cambio.

La reacción inversa a la inserción migratoria se llama β-eliminación. Un átomo de hidrógeno en posición β se transfiere desde un ligante hasta el centro metálico. Como se muestra en la Figura 7, el átomo de hidrógeno en posición β (verde) está especialmente cerca del centro metálico y puede transferirse al rodio, mientras que el rodio dona electrones al enlace carbono-carbono para formar un alqueno. En este caso, el número de electrones de valencia aumenta y el número de coordinación aumenta en 1 unidad. Por lo general, la β-eliminación es una reacción no deseada que puede ser impedida utilizando ligantes sin hidrógenos en posición β, ligantes voluminosos con alto impedimento estérico, y en los casos donde el alqueno formado es inestable.

Figura 7. Inserción migratoria y b-eliminación en un complejo de rodio.

La descarbonilación también puede considerarse como una reacción inversa de la inserción migratoria: es la transferencia de un grupo carbonilo de un ligante al centro metálico (Figura 8). Al igual que en la β-eliminación, un aumento tanto en el recuento de electrones de valencia como en el número de coordinación es característico. La fuerza motriz de la descarbonilación es la liberación de monóxido de carbono gaseoso, lo que desplaza el equilibrio según el Principio de Le Châtelier.

Figura 8. Descarbonilación en un complejo de níquel.

Adición oxidante y eliminación reductora

La adición oxidante es un proceso en el cual se añade un ligante al compuesto de coordinación induciendo la oxidación del metal perdiendo 2 electrones (Van Leuwen, 2004). Esta reacción se favorece cuando la formación de enlaces metal-ligante es una fuerza motriz de la reacción y cuando ambos estados de oxidación, el inicial y el final, son estables. De hecho, la adición oxidante no puede ocurrir para metales con configuración d0 o d1, en los que el centro metálico ya está reducido. Durante este paso elemental, el recuento de electrones de valencia, el número de coordinación y el estado de oxidación aumentan todos en 2 unidades (Figura 9).

La eliminación reductora es la reacción inversa, en la cual un compuesto de coordinación elimina dos ligantes en posición cis (Van Leuwen, 2004). La reacción se favorece para metales con altos estados de oxidación o metales con estados de oxidación inestables. El compuesto de coordinación resultante muestra una disminución en el número de electrones de valencia, el número de coordinación y el estado de oxidación en 2 unidades (Figura 9).

Figura 9. Adición oxidante y eliminación reductora para un complejo de platino.

El siguiente árbol de decisión resume lo mencionado anteriormente y ayuda a identificar qué paso elemental ocurrió en una reacción dada (Figura 10).

Interpretación de ciclos catalíticos

La interpretación de ciclos catalíticos puede parecer muy complicada. Sin embargo, utilizando la metodología algebraica para el conteo de electrones y el árbol de decisión mostrado anteriormente, la tarea resulta mucho más sencilla. Se propone entonces la siguiente metodología para abordar el problema:

1. Identificar en el ciclo catalítico dónde se encuentran los reactivos y los productos.

2. Identificar cuántos compuestos organometálicos están involucrados.

3. Identificar cuántas reacciones tienen lugar. Hay que tener cuidado, porque a menudo dos pasos elementales pueden estar representados en una sola reacción.

4. Realizar el conteo de electrones para cada complejo organometálico utilizando la metodología algebraica.

5. Comparar los valores calculados para los compuestos, antes y después de la reacción, e identificar el paso elemental involucrado.

6. Repetir hasta completar el ciclo catalítico.

Figura 10. Árbol de decisión para determinar el tipo de paso elemental que le ocurre a un complejo organometálico durante una reacción.

Como ejemplo, interpretamos en clase el ciclo catalítico de la arilboración de alquenos catalizada por paladio y cobre (Esquema 2) (Semba y Nakao, 2014):

Esquema 2. Arilboración de alquenos catalizados por paladio y cobre. (Semba y Nakao, 2014).

El mecanismo de la reacción se puede representar como se muestra a continuación (Figura 11). En esta figura, se muestran explícitamente los sustratos y el producto, los compuestos organometálicos (a-c y a’-d’) y las reacciones (I-VI). El conteo de electrones mediante la metodología algebraica nos proporciona información sobre el número de electrones de valencia, el número de coordinación y el estado de oxidación de cada complejo organometálico.

Al analizar la reacción I, un complejo de paladio de 14 electrones sufre la adición de un ligante y da lugar a un complejo de paladio de 16 electrones. El aumento en 2 unidades del número de electrones, el número de coordinación y el estado de oxidación indica que tuvo lugar una adición oxidante. Durante la reacción II, correspondiente al ciclo del cobre, ninguno de los parámetros se modifica, lo que indica una reacción de sustitución de ligantes. La reacción III no produjo modificaciones en los parámetros del complejo, y el ligante se intercambia entre un metal (Cu) y un metaloide (B), por lo que corresponde a una reacción de transmetalación. Durante la reacción IV ocurrieron dos pasos elementales diferentes. Primero, la adición del sustrato alqueno aumenta el número de coordinación en 1, y luego ocurre una inserción migratoria, caracterizada por una disminución en el conteo de electrones de valencia y el número de coordinación. Para comprender la reacción V, es necesario analizar las modificaciones de parámetros en los compuestos d’ y a’, y en los compuestos b y c. Observamos que ninguno de los pares de metales sufre ninguna modificación, lo que indica una sustitución de ligantes. Dado que el intercambio ocurre entre dos compuestos de coordinación, esta reacción es una transmetalación. Finalmente, la reacción VI, que completa el ciclo, se caracteriza por la disminución en 2 unidades de todos los parámetros para el complejo de paladio, lo que indica que tuvo lugar una eliminación reductora.

Figura 11. Ciclo catalítico correspondiente a la arilboración de alquenos catalizada por paladio y cobre.

Discusión

En general, la metodología algebraica fue muy apreciada por los estudiantes, ya que descubrieron que contar electrones era muy fácil y que se podía extraer información valiosa. Observamos que los estudiantes tenían dificultades con la clasificación de ligantes. Por ejemplo, los estudiantes tienden a confundir entre ligantes X2 y ligantes L, porque en ambos casos están involucrados 2 electrones. Sin embargo, al usar los ejemplos en la Figura 1 y la Tabla 1, que son algunos de los ligantes más comunes en la química organometálica, los estudiantes pudieron nombrar correctamente los compuestos de coordinación y, por lo tanto, contar electrones. En cuanto a los otros parámetros obtenidos mediante la metodología algebraica, los estudiantes se sorprendieron al determinar los números de coordinación, que no son triviales para muchos de los casos estudiados. Además, los estudiantes apreciaron que todos los parámetros obtenidos en la metodología algebraica eran útiles para el análisis de ciclos catalíticos. En nuestra experiencia, los estudiantes suelen tener dificultades para reconocer pasos elementales, pero utilizando esta técnica fueron capaces de interpretar correctamente los ciclos catalíticos. De esta manera, la metodología presentada es una herramienta poderosa y sólida. Algunos estudiantes expresaron varios comentarios y observaciones sobre la actividad, que incluyen lo siguiente:

En consecuencia, los estudiantes involucrados pueden mejorar el proceso de aprendizaje relacionado con la química de coordinación y organometálica en lugar de simplemente memorizar pasos elementales. En resumen, la actividad no sólo proporciona conocimientos generales sobre el conteo de electrones, sino que también presenta algunas aplicaciones interesantes en el campo de la catálisis. A continuación, la actividad fue probada por un total de 192 estudiantes de la Facultad de Química de la Universidad Nacional Autónoma de México (UNAM). Todos los estudiantes estaban inscritos en el curso de Química Inorgánica I, que corresponde al segundo año para todas las carreras ofrecidas en la Facultad de Química de la UNAM. Finalmente, se realizó una prueba a los estudiantes, después de la actividad, con resultados que muestran una importante capacidad para determinar correctamente los electrones de valencia en un complejo organometálico. A continuación, analizamos los resultados de la prueba, mientras que en el Material Suplementario se presentan la prueba y los resultados detallados (Tablas 3 y 4). La Figura 12 presenta la prueba realizada por los estudiantes. La prueba plantea tres preguntas: la primera en la que los estudiantes deben determinar el número de electrones de valencia en diferentes compuestos de coordinación, y la segunda y tercera en las que deben aplicar el conteo de electrones para identificar pasos elementales en un ciclo catalítico. Estas preguntas implican contar correctamente los electrones y analizar la modificación de los diferentes parámetros durante la reacción.

Figura 12. Prueba realizada por los estudiantes. Las respuestas correctas están escritas en rojo.

Nos complació constatar que los resultados del desempeño de los estudiantes de licenciatura en los tres ejercicios son positivos (Figura 13). En cuanto al primer ejercicio, cabe destacar que el 61% de los estudiantes logró más de la mitad de las respuestas correctas, lo que resalta la efectividad del enfoque algebraico en el conteo de electrones. Los resultados del ejercicio 2 son impresionantes, considerando que se requería que los estudiantes contarán electrones con precisión e interpretarán ciclos catalíticos: 54% de estudiantes tienen arriba de 75% de respuestas correctas. No fue sorprendente encontrar que los resultados del ejercicio 3 fueron comparativamente más bajos. De hecho, el ejercicio 3 presenta un reto mayor, ya que los estudiantes deben proponer la estructura de los compuestos organometálicos formados en cada paso. A pesar de ello, 57% de los estudiantes se encuentran en los cuartiles superiores.

Figura 13. Respuestas de los estudiantes a los ejercicios 1, 2 y 3. Respuestas por cuartil (Q), para el ejercicio 1: Q1 (0-1), Q2 (2), Q3 (3), Q4 (4); ejercicio 2: Q1 (0-3), Q2 (4-6), Q3 (7-9), Q4 (10-12); ejercicio 3: Q1 (0-1), Q2 (2-3), Q3 (4-5), Q4 (6-7).

Conclusiones

En resumen, la metodología algebraica es una herramienta prometedora para el conteo de electrones en compuestos organometálicos. Constituye un método sencillo para contar electrones de valencia y proporciona otra información importante sobre los compuestos de coordinación, como el número de coordinación, el estado de oxidación y los electrones no enlazantes. Además, este procedimiento accesible permite identificar pasos elementales mediante el análisis de la modificación de los parámetros del complejo organometálico siguiendo un enfoque pragmático en forma de árbol de decisiones. Es importante destacar que esta actividad permite al educador abordar varios aspectos relevantes, como los metales que comúnmente no siguen la regla de los 18 electrones, los ligantes puente y el mecanismo de sustitución de ligantes, entre otros. Como resultado, la interpretación de ciclos catalíticos complejos se convierte en una tarea sencilla. La actividad fue probada por más de 150 estudiantes y los resultados del cuestionario posterior a la conferencia mostraron un conocimiento significativo adquirido para contar electrones de valencia e identificar pasos elementales en la catálisis. Por lo tanto, creemos firmemente que esta metodología puede ser efectiva y conveniente para estudiantes de pregrado, educadores e investigadores.

Agradecimientos

A.R. agradece el apoyo del programa UNAM DGAPA-PAPIIT con número IA204023 y al proyecto UNAM DGAPA-PAPIME PE203123.

Referencias

Ahmad, W.-Y., y Omar, S. (1992). Drawing Lewis structures: A step-by-step approach. Journal of Chemical Education, 69(10), 791-792. https://doi.org/10.1021/ed069p791

Ahmad, W.-Y., y Zakaria, M. B. (2000). Drawing Lewis Structures from Lewis Symbols: A Direct Electron-Pairing Approach. Journal of Chemical Education, 77(3), 329-331. https://doi.org/10.1021/ed077p329

Astruc, D. (2007). Organometallic Chemistry and Catalysis. Springer.

Bhadari, S., y Mukesh, D. (2014). Homogeneous Catalysis: Mechanisms and Industrial Applications. Wiley.

Bochmann, M. (2015). Organometallics and Catalysis: An Introduction. Oxford University Press.

Brady, J. A., Milbury-Steen, J. N., y Bureister, J. L. (1990). Lewis structure skills: Taxonomy and difficulty levels. Journal of Chemical Education, 67(6), 491-493. https://doi.org/10.1021/ed067p491

Catlow, C. R., Davidson, M., Hardacre, C., y Hutchings, G. J. (2015). Catalysis making the world a better place. Philosophical Transactions of the Royal Society A, 374, 20150089. https://doi.org/10.1098/rsta.2015.0089

Chalk, A. J., y Harrod, J. F. (1965). Homogeneous Catalysis. II. The Mechanism of the Hydrosilation of olefins Catalyzed by Group VIII Metal Complexes. Journal of the American Chemical Society, 87(1), 16-21. https://doi.org/10.1021/ja01079a004

Crabtree, R. H., y Mingos, D. M. P. (2007). Comprehensive Organometallic Chemistry III, Volume 1, Chapter 1. Elsevier.

Delolo, F. G., Yang, J., Neumann, H., dos Santos, E. N., Gusevskaya, E. V., y Beller, M. (2021). Cobalt-Catalyzed Hydroformylation under Mild Conditions in the Presence of Phosphine Oxides. ACS Sustainable Chemistry y Engineering, 9, 5148-5154. https://doi.org/10.1021/acssuschemeng.1c00205

Duncan, A. P., y Johnson, A. R. (2007). A “Classic Papers” Approach to Teaching Undergraduate Organometallic Chemistry. Journal of Chemical Education, 84(3), 443-446. https://doi.org/10.1021/ed084p443

Elschenbroich, C., y Salzer, A. (1992). Organometallic: A Concise Introduction. VCH.

Green, M. L.-H. (1995). A new approach to the formal classification of covalent compounds of the elements. Journal of Organometallic Chemistry, 500, 127-148. https://doi.org/10.1016/0022-328X(95)00508-N

Green, M. L.-H., y Parkin, G. (2014). Application of the Covalent Bond Classification Method for the Teaching of Inorganic Chemistry. Journal of Chemical Education, 91(6), 807-816. https://doi.org/10.1021/ed400504f

Hartwig, J. F. (2010). Organotransition Metal Chemistry: From Bonding to Catalysis. University Science Books.

Housecroft, C. E., y Sharpe, A. J. (2012). Inorganic Chemistry (Chapter 4). Pearson.

Jackson, B. A., Harshman, J., y Miliordos, E. (2020). Addressing the Hypervalent Model: A Straightforward Explanation of Traditionally Hypervalent Molecules. Journal of Chemical Education, 97(10), 3638-3646. https://doi.org/10.1021/acs.jchemed.0c00368

Jensen, W. B. (1984). Abegg, Lewis, Langmuir, and the octet rule. Journal of Chemical Education, 61(3), 191-200. https://doi.org/10.1021/ed061p191

Jensen, W. B. (2005). The Origin of the 18-electron rule. Journal of Chemical Education, 82(1), 28. https://doi.org/10.1021/ed082p28

Joki, J., y Aksela, M. (2018). The challenges of learning and teaching chemical bonding at different school levels using electrostatic interactions instead of the octet rule as a teaching model. Chemistry Education Research and Practice, 19, 932-953. https://doi.org/10.1039/C8RP00110C

Langmuir, I. (1921). Types of Valence. Science, 54, 59-67.

Lever, A. B. P. (1972). Lewis structures and the octet rule. An automatic procedure for writing canonical forms. Journal of Chemical Education, 49(12), 819-821. https://doi.org/10.1021/ed049p819

McArdle, P. (2019). Systematic Procedure for Drawing Lewis Structures Based on Electron Pairing Priority and the Explicit Use of Donor Bonds: An Alternative to the Normal Procedure Which Can Be Pen and Paper Based or Automated on a PC in User Interactive 3D. Journal of Chemical Education, 96(7), 1412-1417. https://doi.org/10.1021/acs.jchemed.8b00868

Mingos, D. M. P. (2004). Complementary spherical electron density model and its implications for the 18 electron rule. Journal of Organometallic Chemistry, 689, 4420-4436. https://doi.org/10.1016/j.jorganchem.2004.07.020

Miessler, G. L., y Spessard, G. O. (1991). Organometallic Chemistry: A Course Designed for Sophomore Chemistry Students. Journal of Chemical Education, 68(11), 16-19. https://doi.org/10.1021/ed068p16

Mitchell, P. R., y Parish, R. V. (1969). The Eighteen-Electron Rule. Journal of Chemical Education, 46(12), 811-814. https://doi.org/10.1021/ed046p811

Nassif, P., y Czerwinski, W. A. (2015). Teaching Beginning Chemistry Students Simple Lewis Dot Structures. Journal of Chemical Education, 92(8), 1409-1411. https://doi.org/10.1021/ed5007162

Powell, P. (1998). Principles in Organometallic Chemistry. Springer.

Rasmussen, S. C. (2015). The 18-electron rule and electron counting in transition metal compounds: theory and application. ChemTexts, 1, 10. https://doi.org/10.1007/s40828-015-0010-4

Reina, A., García-Ortega, H., Gracia-Mora, J., Marín-Becerra, A., y Reina, M. (2021). CADMIO: Creating and Curating an Educational YouTube Channel with Chemistry Videos. Journal of Chemical Education, 98(11), 3593-3599. https://doi.org/10.1021/acs.jchemed.1c00794

Reina, M., Guerrero-Ríos, I., y Reina, A. (2022). The Study of Metal–Carbonyl Complexes by Means of Computational IR Spectra Analysis: A Remote Didactic Approach Based on Chemical Thinking. Journal of Chemical Education, 99(9), 3211-3217. https://doi.org/10.1021/acs.jchemed.2c00577

Reisner, B. A., Stewart, J. L., Williams, B. S., Goj, L. A., Holland, P. L., Eppley, H. J., y Johnson, A. R. (2012). Virtual Inorganic Pedagogical Electronic Resource Learning Objects in Organometallic Chemistry. Journal of Chemical Education, 89, 185-187. https://doi.org/10.1021/ed200200w

Schaller, C. P., Graham, K. J., y Johnson, B. J. (2015). Modules for Introducing Organometallic Reactions: A Bridge between Organic and Inorganic Chemistry. Journal of Chemical Education, 92, 986-992. https://doi.org/10.1021/ed500817m

See, R. F. (2009). Which Method of Assigning Bond Orders in Lewis Structures Best Reflects Experimental Data? An Analysis of the Octet Rule and Formal Charge Systems for Period 2 and 3 Nonmetallic Compounds. Journal of Chemical Education, 86(10), 1241-1247. https://doi.org/10.1021/ed086p1241

Semba, K., y Nakao Y. (2014). Arylboration of Alkenes by Cooperative Palladium/Copper Catalysis. Journal of the American Chemical Society, 136(21), 7567-7570. https://doi.org/10.1021/ja5029556

Shao, Z., y Zhang, H. (2009). Combining Transition Metal Catalysis and Organocatalysis: A Broad New Concept for Catalysis. Chemical Society Reviews, 38(9), 2745−2755. https://doi.org/10.1039/B901258N

Spessard, G. O., y Miessler, G. L. (2010). Organometallic Chemistry. Oxford University Press.

Straub, D. K. (1995). Lewis Structures of Oxygen Compounds of 3p-5p Nonmetals. Journal of Chemical Education, 72(10), 889-891. https://doi.org/10.1021/ed072p889

Tolman, C. A. (1972). The 16- and 18-electron rule in organometallic chemistry and homogeneous catalysis. Chemical Society Reviews, 1, 337-353. https://doi.org/10.1039/CS9720100337

Van Leuwen, P. W. N. M. (2004). Homogeneous Catalysis. Kluwer Academic Publishers.

Zandler, M. E., y Talaty, E. R. (1984). The “6N+2 Rule” for writing Lewis octet structures. Journal of Chemical Education, 61(2), 124-127. https://doi.org/10.1021/ed061p124

Zoeller, J. R., Agreda, V. H., Cook, S. L., Lafferty, N. L., Polichnowski, S. W., y Pond, D. M. (1992). Eastman Chemical Company Acetic Anhydride Process. Catalysis Today, 13, 73-91. https://doi.org/10.1016/0920-5861(92)80188-S



Recepción: 24/09/2023.
Aceptación: 24/01/2024


Cómo citar:

Guerrero-Ríos, I., Rojas-Montoya, I. D., y Reina, A. (2024, abril-junio). Introducción a la interpretación de Ciclos Catalíticos: una metodología sencilla para estudiantes universitarios de segundo año. Educación Química, 35(2). https://doi.org/10.22201/fq.18708404e.2024.2.86707.


[a] Departamento de Química Inorgánica y Nuclear, Facultad de Química, UNAM, México. Autor para correspondencia: antonio.reina.0711@quimica.unam.mx.