https://doi.org/10.22201/fq.18708404e.2023.3.84459

Isomerización catalítica: Evonik®, como un catalizador versátil para examinar los conceptos importantes en Catálisis Heterogénea

Julián Andrés Enciso Vargas[a], Cristian David Miranda Muñoz[b] y Alfonso Enrique Ramírez Sanabria[c]

Resumen

La isomerización catalítica de alcohol alílico, se presenta como una reacción sencilla que puede ser empleada como ejemplo en la enseñanza de los conceptos básicos de la catálisis heterogénea, entre ellos él como relacionar la caracterización fisicoquímica de un sólido, con las propiedades catalíticas: actividad, selectividad y estabilidad. Así mismo, se muestra como esta reacción puede ser empleada para mostrar algunos de los principios de la química verde, relacionadas con el diseño de rutas sintéticas menos peligrosas, y además permite abordar el concepto de economía atómica.

Palabras clave:

Catálisis Heterogénea, Alcohol Alílico, Evonik®, Ru/Al2O3, Isomerización.

Catalytic isomerization by catalyst Evonik®: A versatile example to examine concepts in heterogeneous catalysis

Abstract

The catalytic isomerization of allyl alcohol is presented as a simple reaction that can be used as an example in teaching the basic concepts of heterogeneous catalysis, including how to relate the solid physicochemical characterization, with the catalytic properties: activity, selectivity and stability. Likewise, it is shown how this reaction can be used to show some of the principles of green chemistry, related to the design of less dangerous synthetic routes and allows to address the concept of atomic economy.

Keywords:

Heterogenous catalysis, Allyl Alcohol, Evonik® catalyst, Ru/Al2O3, Isomerization.




Introducción

El papel del laboratorio ha sido fundamental en los procesos enseñanza-aprendizaje, pues este se ha catalogado como el sitio donde se diseña la forma de someter a contraste las ideas concebidas por el estudiante versus los conceptos, con la misión de proveer elementos de juicio que conllevan a un aprendizaje significativo (MEN, 1998). Tanto así, que la American Chemical Society (ACS), describe el papel del laboratorio en el aprendizaje de la química de la siguiente manera: “La química es una ciencia de laboratorio y no se puede enseñar de manera efectiva sin una sólida experiencia de laboratorio para los estudiantes en los niveles de secundaria y preparatoria” (Hofstein, 2022).

Shulman y Tamir (Robert, 1973), enumeraron cinco grupos de objetivos que pueden lograrse mediante el uso del laboratorio en las clases de ciencias:

1. Habilidades: manipulación, indagación, investigación, organización, comunicación.

2. Conceptos: por ejemplo, hipótesis, modelo teórico, categoría taxonómica

3. Habilidades cognitivas: pensamiento crítico, resolución de problemas, aplicación, análisis, síntesis

4. Comprensión de la naturaleza de la ciencia: empresa científica, científicos y cómo trabajan, existencia de una multiplicidad de métodos científicos, interrelaciones entre la ciencia y la tecnología y entre las diversas disciplinas de la ciencia

5. Actitudes: por ejemplo, curiosidad, interés, toma de riesgos, objetividad, precisión, confianza, perseverancia, satisfacción, responsabilidad, consenso, colaboración y gusto por la ciencia.

El entendimiento y la comprensión de la catálisis heterogénea, muchas veces se convierte en un proceso complejo para los aprendices, puesto que deben asimilar conceptos de un fenómeno superficial que en muchas ocasiones resulta ser nuevo para ellos; por ejemplo, se consideran términos como actividad, selectividad, estabilidad y mecanismo de reacción. En (Heveling, 2012), podemos encontrar las definiciones para estos conceptos:

Esto provoca, en quien enseña, una búsqueda exhaustiva de ejemplos donde se logren explicar todos estos conceptos, recurriendo a diversos catalizadores y diferentes reacciones. Algunos ejemplos los encontramos en las siguientes citas (Bussi et al., 1991; Heveling, 2012; Jacobse et al., 2017; Luengo y Sermon, 1991; Mendes et al., 2003; Walczak et al., 1996). En nuestro grupo de investigación, hemos explorado diferentes reacciones y procesos en los cuales se logren agrupar la mayoría de estos conceptos a un solo proceso de reacción, encontrando en la isomerización RedOx del alcohol alílico catalizada por rutenio soportado en alúmina, un ejemplo simple y replicable. Además, esta reacción es un ejemplo apropiado en la enseñanza de algunos de los principios de la química verde, como lo son la economía atómica (Tabla 1) y el diseño de síntesis menos peligrosas al obtener un producto de oxidación de un alcohol sin el uso de agentes oxidantes contaminantes y tóxicos.

Tabla 1. Economía atómica para la isomerización RedOx de alcohol alílico.

Formula reactivos

Peso molecular reactivo

Átomos usados

Peso de los átomos usados

Átomos no usados

Peso de los átomos no usados

C3H6O

60

3C,6H, 1O

60

-

0

H2

2

2H

2

-

0

TOTAL

62

3C,8H, 1O

62

-

0

Lo anterior significa que la totalidad de la masa de los reactivos se incorporan al producto deseado.

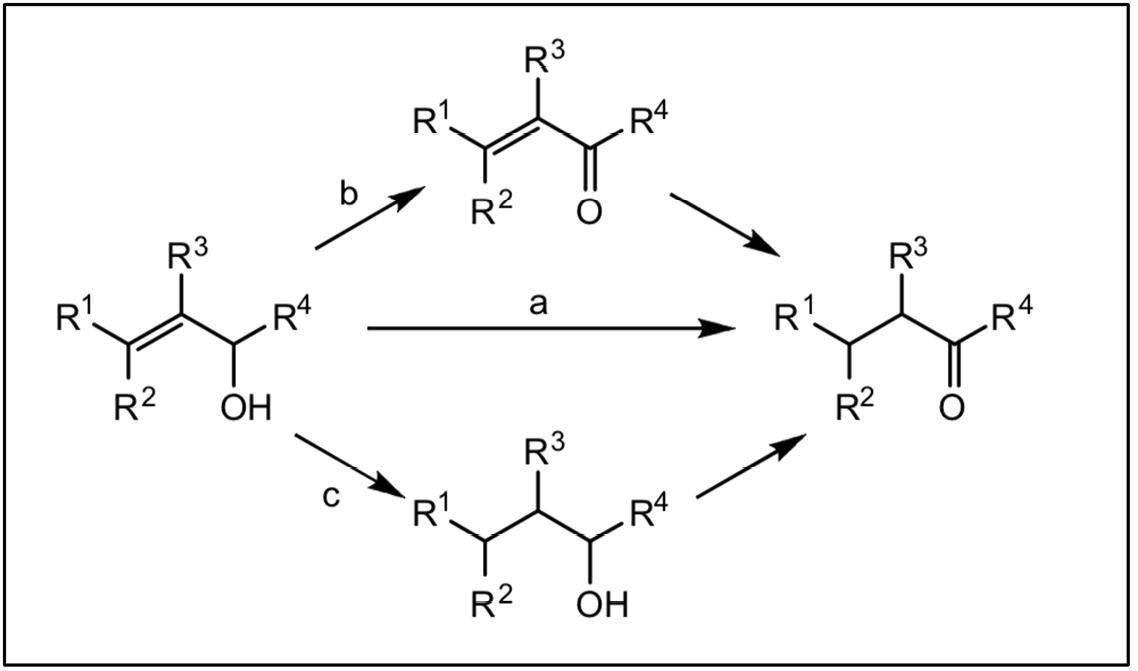
En la Figura 2, se muestra la obtención típica de compuestos carbonílicos saturados a partir de alcoholes insaturados, la cual es una ruta que comprende dos etapas: i) la oxidación del grupo hidroxilo (transformación b) y ii) la reducción del doble enlace C-C (transformación c). Mediante una isomerización RedOx de un alcohol α-β instaurado, empleando el catalizador adecuado, es posible generar el carbonilo saturado correspondiente en una única etapa de reacción (transformación a).

Figura 2. Isomerización RedOx de alcoholes alílicos.

Un catalizador heterogéneo apropiado para promover la transformación “a” de la Figura 2, resulta ser el rutenio soportado en alúmina. Este sólido tiene numerosas aplicaciones catalíticas: síntesis de amoniaco (Fernández et al., 2016), reformado de metano (Cho et al., 2017), hidrogenación de CO2 (Mutschler et al., 2019), metanación de CO2 (Zamani et al., 2019), y también en reacciones que se emplean en la síntesis orgánica: hidrogenación de 2-benzilpiridina (Kim et al., 2017), transformación de HMF (Danielli da Fonseca Ferreira et al., 2019), hidrogenación de triciclopentadieno (Park et al., 2020), síntesis de propanal a partir de propilenglicol (Disselkamp et al., 2008), hidrogenólisis de lignina (Verziu et al., 2018), hidrodeoxigenación de glicerol (Jeon et al., 2018), oxidación de ciclohexano (Rekkab-Hammoumraoui y Choukchou-Braham, 2018) entre otras.

En este sentido, mediante el uso de un sólido comercial de rutenio soportado en alúmina empleado como catalizador en la isomerización del alcohol alílico y bajo diferentes atmósferas de reacción, se puede demostrar fácilmente los conceptos claves de la catálisis heterogénea.

Materiales y métodos

El catalizador de rutenio reducido soportado en óxido de aluminio (5%), fue suministrado por SIGMA-Aldrich, comercialmente distribuído como Evonik Noblyst® P3061 5% Ru.

Figura 3. Catalizador Evonik Noblyst® P3061 5% Ru.

Técnicas de caracterización

El área superficial fue determinada por la técnica de adsorción/desorción usando un equipo Micromeritics ASAP 2020, utilizando la ecuación BET y el volumen de poro usando el método de t-Plot. Los experimentos de temperatura programada de reducción se realizaron en un Chemisorb 2720, Micromeritics; con una mezcla de gas 10 vol.% H2/Ar en una rampa de 30 °C/ min desde 50 hasta 600 °C. La caracterización por difracción de rayos X, se realizó en un equipo PANalytical EMPYREAN con las siguientes caracteristicas CuKα (λ=1,5404 Å; 40 kV y 40 mA), registrando los difractógramas en modo reflección en un angulo 2θ en un rango de 25o a 80o en pasos de 0,0260 grados 2θ y un tiempo de conteo de 50,215 s.

Ensayo Catalítico

Las pruebas catalíticas se realizaron en una autoclave de vidrio (Figura 4), en diferentes atmósferas: Reductora: H2; Oxidante: O2; Inerte: N2. Las reacciones se llevaron típicamente a 10 h, 90 ºC, 1 bar, 10 mL de Tolueno (Fisher Chemical, 99,9%) y 3,44 mmol de alcohol alilico (Merck, >99%) con 5,0 % en peso de catalizador.

Figura 4. Sistema de reacción.

La conversión, selectividad y TOF de los productos de reacción fueron determinados mediante análisis cromatográfico empleando FID como detector -GC-FID- (Figura 5) usando el método de estándar interno (Dodecano, Acros Organics, 99%).

Figura 5. Sistema de seguimiento de la reacción.

Para determinar la estabilidad del catalizador, el sólido recuperado se lavó después del uso respectivo con agua desionizada y se secó durante 12 h a 80ºC antes de realizar una nueva reacción. Este proceso se efectuó dos veces para completar tres ciclos de reuso. En el segundo ciclo, además de lavar y secar, se efectúa un proceso de reactivación en un flujo de hidrógeno a 350 °C por 4 h.

Resultados y discusión

La presentación de los resultados se realizará en dos etapas; primero, nos centraremos en la caracterización del catalizador para analizar las propiedades intrínsecas del sólido deducibles a partir de las técnicas descritas en 2.1 y finalmente, relacionaremos dichas propiedades con los resultados catalíticos en la isomerización RedOx del alcohol alílico.

Propiedades del catalizador

Uno de los primeros conceptos que se puede comenzar a exponer frente al estudiante al emplear el sistema aquí propuesto, es la misma heterogeneidad; desde los conceptos generales de la química, se conoce que la reactividad química depende en gran medida del estado de la materia en las que se encuentren los reactivos. De esta manera, el estado líquido y gaseoso son más reactivos que el estado sólido. Industrialmente, no es viable mantener los procesos en estado gaseoso, lo que, en términos generales, el estado líquido de reactantes es el que predomina en las transformaciones químicas a nivel mundial. Si se cuenta con reactivos líquidos —o gaseosos— y al utilizar un catalizador que se encuentre en fase sólida y que eventualmente no será solubilizado en el sistema de reacción, se tratará de una reacción catalizada heterogéneamente. De esta manera, el rutenio soportado en alúmina, se visualiza como un catalizador heterogéneo al emplearse en la transformación del alcohol alílico. Por otro lado, el término “rutenio soportado” se refiere a que la parte activa principal del sólido —denominado fase activa—, en realidad será el Ru, que necesita ser colocado adecuadamente en otro sólido para garantizar, por un lado, que se tenga una buena dispersión, es decir que el rutenio esté distribuido a lo largo del soporte, con lo que se garantiza una mayor reactividad comparada al “bulk”, además el soporte, debe presentar una alta área superficial. Las propiedades físicas y químicas de la superficie afectan la activación de los metales soportados (Sakata et al., 2006), por ello debe seleccionarse apropiadamente. En este caso, se ha seleccionado la alúmina como soporte porque puede generar un efecto sinérgico en la reacción al actuar como un ácido de Lewis (Zsolnai et al., 2016) y favorecer la isomerización.

El área superficial se define como la medida del área total que ocupa un gramo del sólido y puede ser determinada con fisisorción de nitrógeno a -196ºC empleando el método BET que se basa en el cálculo del número de moléculas de adsorbato, en este caso de nitrógeno, adsorbidas en monocapa, es decir, el número de moléculas necesario para cubrir la pared del sólido con una única capa. Tener un área superficial considerable es muy importante en catálisis heterogénea porque al tratarse de un fenómeno superficial, entre más área superficial habrá un mayor contacto de los reactantes con la fase activa. Para el catalizador Ru/Al2O3, el área resultante fue de 93.34 m2/g.

El estado de oxidación del rutenio establecido como activo para la isomerización de alcoholes alílicos es el Ru0 (Hitrik et al., 2016). En ese sentido, la técnica de H2-TPR es adecuada para examinar cuál es el tratamiento térmico apropiado para reducir el catalizador, es decir, a qué temperatura existe una mayor cantidad de rutenio en estado de oxidación cero (0). El H2-TPR, mide el consumo de hidrógeno realizado por el sólido en un barrido de temperatura dado, con lo que se evidencia en qué rango de temperatura exactamente se da el más alto de consumo del gas reductor. Para el Ru/Al2O3, el perfil del TPR, Figura 2a, muestra que de 100 a 250 0C, se da al consumo de H2 y corresponden a la reducción de diferentes tipos de óxidos de Ru (Li et al., 2009).

Figura 6. Perfiles para el sólido Ru/Al2O3: a) H2-TPR; b) DRX.

Mediante la técnica de difracción de rayos X, se puede comprobar la presencia de rutenio metálico en el catalizador después de realizar la reducción. En la Figura 3b, se evidencia la formación de un pico a 43.8º 2θ debido a la difracción del plano (101) del rutenio hexagonal compacto (hcp). Los picos a 37 y 67º, son característicos de γ-Al2O3 (ICDD 00-010-0425).

Una vez establecidas las propiedades fisicoquímicas del catalizador sólido, es posible estudiar su comportamiento en la reacción de isomerización de alcohol alílico.

Evaluación catalítica

En la presentación de los resultados de la evaluación catalítica del Ru/Al2O3 en la isomerización del alcohol alílico, es importante comprender los conceptos de conversión, selectividad, actividad y estabilidad. A continuación, se muestra cada uno de estos parámetros.

Conversión

La conversión está relacionada directamente con relación entre la cantidad de productos generados respecto a la cantidad de reactivos iniciales. En el caso de la reacción de isomerización del alcohol alílico, se tiene en cuenta la cantidad de productos respecto a los 3.44 mmol de alcohol alílico bajo cada una de las atmósferas de reacción consideradas. Ec. (1), muestra el cálculo empleado.

Los resultados que son mostrados en la Tabla 2, sugieren que hay una clara influencia de la atmósfera de reacción con la cantidad de alcohol alílico transformado. En presencia de hidrógeno, se obtiene la más alta conversión comparada con la atmósfera inerte y oxidante. Esto está relacionado precisamente con la capacidad que tiene el rutenio para realizar la disociación del hidrógeno y de esta manera activarlo químicamente (Wang y Yang, 2008). La misma reacción de isomerización bajo atmósfera inerte (N2) y oxidante (O2) genera solamente 11 y 16% respectivamente, sugiriendo que los hidrógenos presentes en la superficie del Ru/Al2O3 (reducido) son los responsables de dicha conversión y bajo estas atmósferas no es activo el catalizador y no se promueve la transformación del alcohol alílico.

Tabla 2. Conversión del alcohol alílico en diferentes atmósferas de reacción.

Atmósfera

O2

N2

H2

Conversión (%)

16

11

82

Selectividad

La selectividad hace referencia a la cantidad de un producto en particular que es obtenido a partir de una transformación química. En el caso de la reacción de isomerización del alcohol alílico bajo atmósfera reductora, es posible generar dos productos diferentes: el n-propanol y el n-propanal. La Figura 7, muestra las posibles vías de transformación.

Figura 7. Rutas de transformación del alcohol alílico.

La selectividad puede ser calculada empleando Ec. (2):

Para la reacción de isomerización de alcohol alílico bajo la atmósfera de hidrógeno, los resultados muestran una selectividad hacia el producto propanal de 46%, mientras que para la hidrogenación de un 54%. Aunque se observa una mayor producción hacia la reducción del doble enlace del alcohol alílico, la isomerización puede ser promovida por este catalizador, obteniendo una cantidad significativa el producto propanal. Este resultado es promisorio, teniendo en cuenta que en la mayoría de reportes sobre esta reacción se emplean catalizadores homogéneos. Bajo las atmósferas de O2 y N2, el producto mayoritario fue el de oxidación.

Actividad Catalítica

La actividad del catalizador Ru/Al2O3 empleado en las reacciones de isomerización, se puede calcular en función de las frecuencias de rotación (TOF), es decir, relacionando la cantidad de alcohol alílico transformado con la cantidad de fase activa presente en el catalizador en función de tiempo de reacción. De acuerdo a los resultados obtenidos, la actividad catalítica para el catalizador Ru/Al2O3 fue de 102 h-1, un valor muy superior incluso que algunos reportes con catálisis homogénea, como en el caso de [{RuCl26-C6Me6)}2]/Cs2CO3 (TOF = 28 h-1) (Cadierno et al., 2007).

Estabilidad

En catálisis heterogénea es muy importante examinar la estabilidad de los sólidos en términos del reuso. Existen muchos factores que hacen que se pueda a llegar a perder fase activa; por ejemplo, por efectos de sinterización en la superficie, envenenamiento irreversible provocado por alguna sustancia o la deposición de carbón u otras sustancias. Esto se reflejaría en la disminución de la actividad del catalizador tras haber terminado la reacción y ser sometido nuevamente a un nuevo ciclo de reacción. Para el caso del Ru/Al2O3, hemos examinado la conversión del alcohol alílico de dos maneras: i) después de culminar las 10 horas de reacción, el catalizador fue separado por filtración, lavado con etanol y secado a 100 0C. ii) El catalizador fue tratado como en el literal i) y como proceso final, se llevó a cabo una a reducción a 350 0C bajo atmósfera de H2. Los resultados se evidencian en la Figura 8.

Figura 8. Estabilidad del catalizador Ru/Al2O3. Ciclo 2, corresponde al catalizador sin reducción y ciclo 3, al catalizador activado con H2.

Conclusiones

Por medio de la reacción catalítica de isomerización del alcohol alílico, empleando un catalizador comercial heterogéneo de Ru/Al2O3 y bajo atmósferas diferentes (O2, N2 y H2) se mostró una alternativa muy simple para la enseñanza de los conceptos más relevantes en la catálisis heterogénea. Además de ser una reacción sencilla que emplea reactivos seguros y que se presenta como alternativa de síntesis en la obtención de compuestos carbonílicos saturados a partir de alcoholes alílicos.

Agradecimientos

Al sistema de investigación de la Universidad del Cauca (ID 4737)

Referencias

Bussi, J., Correa, C., y Coch Frugoni, J. A. (1991). An experiment on heterogeneous catalysis. Journal of Chemical Education, 68(2), 170. https://doi.org/10.1021/ed068p170

Cadierno, V., Francos, J., Gimeno, J., y Nebra, N. (2007). Ruthenium-catalyzed reduction of allylic alcohols: An efficient isomerization/transfer hydrogenation tandem process [10.1039/B618573H]. Chemical Communications(24), 2536-2538. https://doi.org/10.1039/B618573H

Cho, E. H., Koo, K. Y., Lee, H. W., Park, Y.-K., Yoon, W. L., y Ko, C. H. (2017). Preparation of egg-shell-type Ni/Ru bimetal alumina pellet catalysts: Steam methane reforming for hydrogen production. International Journal of Hydrogen Energy, 42(29), 18350-18357. https://doi.org/https://doi.org/10.1016/j.ijhydene.2017.04.170

Danielli da Fonseca Ferreira, A., Dorneles de Mello, M., y da Silva, M. A. P. (2019). Catalytic Oxidation of 5-Hydroxymethylfurfural to 2,5-Furandicarboxylic acid over Ru/Al2O3 in a Trickle-Bed Reactor. Industrial y Engineering Chemistry Research, 58(1), 128-137. https://doi.org/10.1021/acs.iecr.8b05602

Disselkamp, R. S., Harris, B. D., Patel, J. N., Hart, T. R., y Peden, C. H. F. (2008). Propanal synthesis from aqueous propylene glycol/hydrogen peroxide on a Ru/alumina catalyst. Inorganic Chemistry Communications, 11(5), 561-563. https://doi.org/https://doi.org/10.1016/j.inoche.2008.01.024

Fernández, C., Bion, N., Gaigneaux, E. M., Duprez, D., y Ruiz, P. (2016). Kinetics of hydrogen adsorption and mobility on Ru nanoparticles supported on alumina: Effects on the catalytic mechanism of ammonia synthesis. Journal of Catalysis, 344, 16-28. https://doi.org/https://doi.org/10.1016/j.jcat.2016.09.013

Heveling, J. (2012). Heterogeneous Catalytic Chemistry by Example of Industrial Applications. Journal of Chemical Education, 89(12), 1530-1536. https://doi.org/10.1021/ed200816g

Hitrik, M., Dandapat, A., y Sasson, Y. (2016). A new mechanism for allylic alcohol isomerization involving ruthenium nanoparticles as a ‘true catalyst’ generated through the self-assembly of supramolecular triruthenium clusters [10.1039/C6RA14658A]. RSC Advances, 6(72), 68041-68048. https://doi.org/10.1039/C6RA14658A

Hofstein, A. H., M. (2022). Chapter 1 The Role of the Laboratory in Chemistry Teaching and Learning. In Teaching and Learning in the School Chemistry Laboratory (pp. 1-15). The Royal Society of Chemistry. https://doi.org/10.1039/9781839164712-00001

Jacobse, L., Vink, S. O., Wijngaarden, S., y Juurlink, L. B. F. (2017). Heterogeneous Catalytic Oxidation of Simple Alcohols by Transition Metals. Journal of Chemical Education, 94(9), 1285-1287. https://doi.org/10.1021/acs.jchemed.6b00909

Jeon, S., Park, Y. M., Park, J., Saravanan, K., Jeong, H.-K., y Bae, J. W. (2018). Synergistic effects of Nb2O5 promoter on Ru/Al2O3 for an aqueous-phase hydrodeoxygenation of glycerol to hydrocarbons. Applied Catalysis A: General, 551, 49-62. https://doi.org/https://doi.org/10.1016/j.apcata.2017.12.006

Kim, T. W., Oh, J., y Suh, Y.-W. (2017). Hydrogenation of 2-benzylpyridine over alumina-supported Ru catalysts: Use of Ru3(CO)12 as a Ru precursor. Applied Catalysis A: General, 547, 183-190. https://doi.org/https://doi.org/10.1016/j.apcata.2017.08.038

Li, L., Qu, L., Cheng, J., Li, J., y Hao, Z. (2009). Oxidation of nitric oxide to nitrogen dioxide over Ru catalysts. Applied Catalysis B: Environmental, 88(1), 224-231. https://doi.org/https://doi.org/10.1016/j.apcatb.2008.09.032

Luengo, M. A. M., y Sermon, P. A. (1991). Experiments illustrating heterogeneous catalysis. Journal of Chemical Education, 68(3), 251. https://doi.org/10.1021/ed068p251

Lineamientos Curriculares: Ciencias Naturales y Educación Ambiental. Referentes teóricos, implicaciones pedagógicas y didácticas. Ministerio de Educación Nacional (Colombia), 91 (1998).

Mendes, A., Magalhães, F., y Madeira, L. (2003). Sucrose Inversion: An Experiment on Heterogeneous Catalysis. International Journal of Engineering Education, 19, 893-901.

Mutschler, R., Moioli, E., y Züttel, A. (2019). Modelling the CO2 hydrogenation reaction over Co, Ni and Ru/Al2O3. Journal of Catalysis, 375, 193-201. https://doi.org/https://doi.org/10.1016/j.jcat.2019.05.023

Park, Y., Ku, H., An, J.-Y., Han, J., Shin, C.-H., y Jeon, J.-K. (2020). Effect of MgO promoter on Ru/γ-Al2O3 catalysts for tricyclopentadiene hydrogenation. Catalysis Today, 352, 308-315. https://doi.org/https://doi.org/10.1016/j.cattod.2020.01.003

Rekkab-Hammoumraoui, I., y Choukchou-Braham, A. (2018). Catalytic Properties of Alumina-Supported Ruthenium, Platinum, and Cobalt Nanoparticles towards the Oxidation of Cyclohexane to Cyclohexanol and Cyclohexanone [Cyclohexane oxidation, Alumina, TBHP, Metal.]. 2018, 12. https://doi.org/10.9767/bcrec.13.1.1226.24-35

Robert, M. W. T. (1973). Second handbook of research on teaching; a project of the American Educational Research Association (R. M. Chicago, Ed.).

Sakata, Y., Tamaura, Y., Imamura, H., y Watanabe, M. (2006). Preparation of a New Type of CaSiO3 with High Surface Area and Property as a Catalyst Support. In E. M. Gaigneaux, M. Devillers, D. E. De Vos, S. Hermans, P. A. Jacobs, J. A. Martens, y P. Ruiz (Eds.), Studies in Surface Science and Catalysis (Vol. 162, pp. 331-338). Elsevier. https://doi.org/https://doi.org/10.1016/S0167-2991(06)80924-9

Verziu, M., Tirsoaga, A., Cojocaru, B., Bucur, C., Tudora, B., Richel, A., Aguedo, M., Samikannu, A., y Mikkola, J. P. (2018). Hydrogenolysis of lignin over Ru-based catalysts: The role of the ruthenium in a lignin fragmentation process. Molecular Catalysis, 450, 65-76. https://doi.org/https://doi.org/10.1016/j.mcat.2018.03.004

Walczak, M., Burkholder, H., y Thiel, P. (1996). A Laboratory Study of Heterogeneous Catalysis in Ultrahigh Vacuum. The Chemical Educator, 1, 1-16. https://doi.org/10.1007/s00897960026a

Wang, L., y Yang, R. T. (2008). Hydrogen Storage Properties of Carbons Doped with Ruthenium, Platinum, and Nickel Nanoparticles. The Journal of Physical Chemistry C, 112(32), 12486-12494. https://doi.org/10.1021/jp803093w

Zamani, A. H., Shohaimi, N. A. M., Rosid, S. J. M., Abdullah, N. H., y Shukri, N. M. (2019). Enhanced low temperature reaction for the CO2 methanation over Ru promoted Cu/Mn on alumina support catalyst using double reactor system. Journal of the Taiwan Institute of Chemical Engineers, 96, 400-408. https://doi.org/https://doi.org/10.1016/j.jtice.2018.12.009

Zsolnai, D., Mayer, P., Szőri, K., y London, G. (2016). Pd/Al2O3-catalysed redox isomerisation of allyl alcohol: application in aldol condensation and oxidative heterocyclization reactions [10.1039/C5CY01722J]. Catalysis Science y Technology, 6(11), 3814-3820. https://doi.org/10.1039/C5CY01722J



Recepción: 28/12/2022. Aceptación: 14/02/2023.


Cómo citar: Enciso Vargas, J. A., Miranda Muñoz, C. D. y Ramírez Sanabria, A. E. (2023, julio-septiembre). Isomerización catalítica: Evonik®, como un catalizador versátil para examinar los conceptos importantes en Catálisis Heterogénea. Educación Química, 34(3). https://doi.org/10.22201/fq.18708404e.2023.3.84459


[a] Grupo de Investigación en Catálisis, Departamento de Química, Universidad del Cauca. https://orcid.org/0000-0002-7557-4047

[b] Grupo de Investigación en Catálisis, Departamento de Química, Universidad del Cauca. https://orcid.org/0000-0002-5191-6524

[c] Grupo de Investigación en Catálisis, Departamento de Química, Universidad del Cauca. https://orcid.org/0000-0003-4699-5907