http://dx.doi.org/10.22201/fq.18708404e.2022.4.83537

Pruebas presuntivas y confirmatorias de sangre: enseñanza de la química en la hematología forense

Francisco Figueroa Martínez[1], Valeria Elena Martínez Romero[2] y Alexa Villavicencio Queijeiro[2]

Resumen

Una de las disciplinas de la Ciencia Forense que se centra en el estudio de los fluidos y materiales biológicos es la Hematología y Serología Forense. Ésta puede ayudar a responder preguntas como ¿Se trata de un fluido biológico de interés forense?; ¿Es de origen humano?; ¿Cómo se depositó el fluido en el lugar de investigación o “escena del crimen”?; todas ellas preguntas relevantes antes de enviar una muestra a análisis genéticos para finalmente identificar a quién pertenece dicho fluido biológico. Cada una de estas preguntas se puede responder mediante el uso de diversas pruebas y análisis, específicamente mediante pruebas presuntivas y confirmatorias. Aunque existen diversas pruebas, el fundamento de todas se centra en la presencia del grupo prostético de la hemoglobina (grupo hemo) y las reacciones en las que este grupo puede participar. El tema de pruebas presuntivas y confirmatorias es un punto de salida, en el marco de la primera modificación al Plan de estudios de la LCF para discutir sobre la pertinencia de los temas a seleccionar en los cursos de química considerando el perfil profesional de los egresados.

Palabras clave:

Sangre, pruebas presuntivas, pruebas confirmatorias, química, hematología forense.

Presumptive and confirmatory blood tests: chemistry teaching in forensic hematology

Abstract

Hematology and Forensic Serology is the part of Forensic Sciences that focuses on the study of biological fluids and materials. It can provide answers to questions such as: Is it a biological fluid of forensic interest? Is it of human origin? How was the fluid deposited at the crime scene? All of them are relevant questions before sending a sample to genetic analysis to finally identify who said biological fluid belongs to. Each of these questions can be answered using various tests and analyses, specifically through presumptive and confirmatory tests. Although there are various tests, the basis of all of them is centered on the presence of the prosthetic group of hemoglobin, the heme group, in the sample and the reactions in which this group can participate. The topic of presumptive and confirmatory tests is a starting point, within the framework of the first modification to the LCF Curriculum, to discuss the relevance of the topics to be selected in the chemistry courses considering the professional profile of the graduates.

Keywords:

Blood, presumptive tests, confirmatory tests, chemistry, forensic hematology.




Introducción

Se han publicado muchos reportes sobre la historia de la medicina legal o forense pero no hay tanto sobre la evolución que ha tenido el análisis de fluidos biológicos, especialmente la sangre en un contexto forense y médico legal.

Los primeros reportes que se tienen sobre el análisis de sangre se remontan a 1250 A.C. en el libro Hsi Yuan Lu o “Tratado para los forenses”, el cual fue compilado en China. En este documento se menciona la posibilidad de detectar una mancha de sangre vieja depositada sobre un cuchillo al calentar la mancha y tratarla con vinagre, observándose una mancha marrón como resultado de la formación de cristales de hematina por la reacción de la hemoglobina presente en la sangre con el ácido acético del vinagre.

Otra prueba mencionada en este libro abordaba la posibilidad de realizar una prueba de paternidad mediante un ensayo de “goteo” en el que las personas que tenían duda sobre su relación familiar depositaban una gota de su sangre en un contenedor con agua. Si las gotas de sangre se mezclaban de manera homogénea, se consideraba que existía un vínculo entre las personas, pero si se formaban cúmulos o aglomeraciones, causadas por reacciones antígeno-anticuerpo, entonces eran incompatibles y, por tanto, no estaban relacionados.

Aunque estos métodos no se considerarían confiables bajo los estándares actuales, constituyen los primeros antecedentes de pruebas para el estudio de fluidos biológicos, especialmente la sangre, y están basados en los mismos fenómenos que se emplean en la actualidad en algunas pruebas presuntivas o confirmatorias de sangre.

La sangre forma parte del tejido conjuntivo y cumple múltiples funciones necesarias para la vida, como el intercambio gaseoso, la defensa ante infecciones, y la distribución de nutrientes. La sangre se conforma por una fracción líquida —denominada plasma— y una porción sólida que contiene a los elementos formes: glóbulos rojos o eritrocitos, glóbulos blancos y a las plaquetas o trombocitos.

Cada una de éstas células cumplen una función: los glóbulos rojos, mediante la hemoglobina, son los responsables de transportar oxígeno desde los pulmones a los tejidos y órganos y recogen y transportan el dióxido de carbono de regreso a los pulmones para que sea exhalado. Los glóbulos blancos son parte del sistema inmune y ayudan a combatir infecciones causadas por bacterias, hongos, virus y otros patógenos. Las plaquetas ayudan a la coagulación de la sangre cuando ocurre un corte o una herida, ya que se agregan alrededor de ésta deteniendo el sangrado.

Una de las moléculas más relevantes para la detección de sangre en el campo forense es el grupo hemo (figura 1) el cual es el grupo prostético de la proteína responsable de transportar oxígeno y dióxido de carbono, la hemoglobina.

Figura 1. Estructura del grupo hemo, una molécula orgánica heterocíclica conocida como porfirina, con un átomo de hierro coordinado en el centro de la molécula.

La hematología forense en la investigación de delitos

Entre los indicios de tipo biológico se pueden encontrar diversos fluidos corporales como: sangre, semen, saliva, orina, vómito y también restos óseos como dientes, huesos, osamentas y material biológico como tejidos y órganos.

Una de las disciplinas de la Ciencia Forense que se centra en el estudio de estos fluidos y materiales biológicos es la Hematología y la Serología Forense. Ésta puede ayudar a responder preguntas como: ¿Se trata de un fluido biológico de interés forense?; ¿Es de origen humano?; ¿Cómo se depositó el fluido en el lugar de investigación o “escena del crimen”?; todas ellas preguntas relevantes para determinar si se realizan pruebas más sofisticadas diseñadas para responder la pregunta principal: ¿A quién pertenece dicho fluido biológico?. Cada una de estas preguntas se puede abordar mediante el uso de diversas pruebas y análisis, específicamente mediante pruebas presuntivas, destinadas a evaluar la probabilidad de que una muestra sea un fluido biológico de interés forense, y pruebas confirmatorias, destinadas a comprobar que efectivamente así sea.

En la Licenciatura en Ciencia Forense de la UNAM se imparte la asignatura Hematología y Serología Forense (HySF) durante el sexto semestre. Los estudiantes que llegan a este semestre han cursado ya varias asignaturas relacionadas con HySF (ver tabla 1), de los ejes químico (Química general, Química orgánica, Química forense y Toxicología); Biológico (Microscopía, Bioquímica-Biología Celular, Genética-Biología Molecular); Médico (Ciencias Morfofuncionales); Físico-Matemático (Estadística I y II) también ya acreditaron asignaturas del eje Jurídico y es de particular relevancia señalar las asignaturas del eje Criminalístico (Fotografía forense, Metodología de la Investigación Científica y Forense, Metodología de la Investigación en el lugar de los hechos, Dactiloscopía y Criminalística), ya que estas guardan una especial relación con la materia.

Tabla 1. Ejes del Plan de estudios de la Licenciatura en Ciencia Forense. Elaborada con base en el documento “Criterios para la Evaluación del Personal Académico de la Licenciatura en Ciencia Forense”. Publicado en la gaceta de la Facultad de Medicina el 8 de noviembre del 2017.

El curso se imparte durante ocho semanas y el contenido tiene como objetivo brindar a los estudiantes los fundamentos de Hematología y Serología y la aplicación de éstos al área forense. Partiendo de la base brindada por las asignaturas previas las y los alumnos conocen qué pruebas presuntivas y confirmatorias se pueden aplicar a los indicios biológicos encontrados en el lugar de los hechos y son capaces de interpretar los resultados y realizar un plan de análisis con base en los ellos.

En el marco de la primera modificación al Plan de estudios de la Licenciatura, el Colegio de Química de la LCF discutió la pertinencia de los temas que debían priorizarse en los cursos de química de la carrera considerando el perfil de los egresados así como su inserción en el campo laboral.

La HySF tiene una relevancia especial en las investigaciones forenses. De acuerdo con la Encuesta Nacional de Victimización y Percepción sobre Seguridad Pública (ENVIPE) 2021 durante 2020, el 28.4% de los hogares del país tuvo, al menos, una víctima de delito y en este periodo se cometieron 27.6 millones de delitos asociados a 21.2 millones de víctimas.

Cuando una persona encargada de procesar un lugar de los hechos, del hallazgo o de la investigación —lo que por las series de entretenimiento se conoce como escena del crimen— llega al mismo, realiza una observación detallada del lugar y de sus condiciones para tratar de identificar indicios que se presuma tengan relación con un hecho delictivo y que por su confirmación o certeza pasen a ser evidencias para el caso que se está investigando. Un indicio es todo objeto, instrumento, arma, huella, marca, mancha, señal, rastro o vestigio que se localiza en el lugar donde se presume ha ocurrido un delito. El análisis de los indicios que se recuperan es la base de la investigación que puede lograr la identificación de quien cometió el delito, aportar pruebas de la comisión del hecho y permitir la reconstrucción de los hechos para utilizar un indicio como medio de prueba en audiencia para llegar a una conclusión cierta y comprobable de los hechos que son materia de la imputación.

La persona responsable de procesar el lugar debe realizar la documentación fotográfica y la descripción por escrito del lugar y posteriormente, la persona experta en criminalista de campo, en química forense o en genética forense, según sea el caso, procede a recolectar y embalar los indicios con su respectivo registro de cadena de custodia para su traslado al laboratorio y que se realicen análisis complementarios (Figura 5).

Quizá la idea que solemos tener de cómo se aprecia una “escena del crimen” está basada en series de entretenimiento como las franquicia CSI o NSCIS (entre otras), pero la realidad es que quienes se enfrentan a la labor de analizar el lugar donde se pudo haber cometido un delito, por lo general, encuentran lugares desde poco ordenados hasta contaminados, en los que deben definir -muchas veces en un tiempo muy breve- qué es relevante y qué no. Para auxiliarse, las y los peritos, que son los responsables de realizar el procesamiento de un sitio abierto, cerrado o mixto, utilizan diferentes herramientas y métodos. Un tipo de pruebas que se aplican son las que se denominan pruebas presuntivas, también llamadas de cribado o de tamizaje. Éstas permiten de manera rápida y relativamente económica, inferir la presencia o ausencia del analito de interés, es decir, ayudan a responder la pregunta: ¿Se trata de un fluido biológico de interés forense?. Debido a que pueden presentarse falsos positivos y negativos, estas pruebas se consideran de orientación ya que un resultado positivo únicamente sugiere la presencia del fluido biológico, por lo que dicho resultado debe de verificarse utilizando pruebas que se denominan confirmatorias.

De manera general, el curso de HySF en la Licenciatura en Ciencia Forense se apoya en conocimientos que los alumnos han adquirido de manera previa y el tema de pruebas presuntivas y confirmatorias es una oportunidad que permite a los docentes echar mano del aprendizaje previo no sólo de los ejes más afines a la química sino también de los ejes Jurídico y Criminalístico. Por tanto, la orientación pedagógica en el curso de HySF busca preparar a los estudiantes no solo en las tareas de análisis de las pruebas físicas recuperadas en el lugar sino también en que comprendan el impacto que las pruebas pueden tener en la resolución de controversias jurídicas. Lo anterior ha sido abordado en el artículo publicado en este número especial por las autoras Zoraida García Castillo y Alejandra Castillo Alanís quienes plantean la trascendencia de la formación del experto en química forense en los procesos penales.

Pruebas presuntivas en sangre

Las pruebas presuntivas de sangre están basadas en la habilidad del grupo hemo presente en la hemoglobina de catalizar, bajo las condiciones correctas, reacciones similares a la reacción que catalizan las enzimas peroxidasas. Las peroxidasas son enzimas que catalizan la reducción de una molécula de peróxido de hidrógeno (H2O2) (u otros peróxidos orgánicos) a dos moléculas de agua, utilizando una molécula orgánica como donador de electrones, como se observa en la figura 2A. En las pruebas presuntivas que evalúan la presencia de sangre, el grupo hemo es capaz de catalizar la misma reacción, utilizando como compuesto donador de electrones alguna sustancia orgánica que cambia su estructura cuando se oxida, el cual se puede observar como un cambio en sus características físicas (Figura 2B). Si bien todos los conceptos asociados con el fundamento de las pruebas presuntivas son aprendidos por los estudiantes en tres asignaturas en particular: Química general, Química Orgánica y Bioquímica-Biología Celular, en ocasiones representa un reto para los alumnos conectar conocimientos previos -que parecen desligados entre sí- para comprender cómo se relacionan y sobre todo para ponerlos en un contexto forense en el cual el foco está no sólo en la aplicación de las pruebas y sus resultados sino en la implicación que éstos pueden tener en una controversia jurídica.

Figura 2. A. Reacciones enzimáticas catalizadas por la catalasa (panel superior) y la peroxidasa (panel inferior). La reacción puede ser: RH2 + H2O2 → R + 2H2O, donde RH2 representa un compuesto orgánico reducido, y R un compuesto orgánico oxidado. B.

Lo anterior pone el foco en la necesidad de fomentar el trabajo colegiado, ya que el consenso entre docentes en materia curricular es una importante fuente de la validez de la enseñanza, como ya había sido señalado por Ana María Sosa y Jiro Suzuri Hernández en el artículo “¿Necesita el científico forense comprender la periodicidad?”.

Las pruebas presuntivas se clasifican en dos grandes categorías: luminosas (quimioluminiscentes y fluorescentes) y coloridas, de acuerdo con la manera en que el resultado positivo es apreciado o detectado. Entre las pruebas coloridas se encuentran la prueba de Adler, que utiliza como indicador y agente donador de electrones a la Bencidina y la de Kastle-Mayer, que usa fenolftaleína.

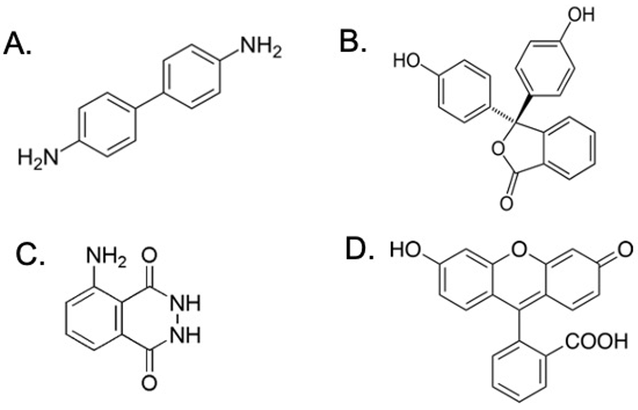
Figura 3. Estructura de reactivos empleados en pruebas presuntivas de sangre, se muestran de manera reducida. A.Bendicina. B.Fenolftaleína. C. Luminol y D. Fluoresceína.

La prueba de Adler utiliza bencidina, la cual se utilizaba en el pasado para colorantes para telas, papel y cueros. También como componente en el caucho y en la fabricación de láminas de plástico. La Bencidina es una amina aromática cuya estructura se muestra en la figura 3. Por otro lado, la prueba de Kastle-Mayer utiliza fenoftaleína, ambas moléculas cambian de color al pasar de un estado reducido a uno oxidado. La bencidina cambia a un color azul, mientras que la fenolftaleína se aprecia con un color rosado-magenta.

Para detectar vestigios de sangre, semen o saliva en estado líquido o seco, tanto en el sitio, como en cadáveres, vestimentas y también en personas asociadas con el hecho que se investiga, las y los peritos realizan un rastreo de fluidos biológicos, con una técnica denominada búsqueda con luz forense. Esta técnica utiliza luz ultravioleta para detectar manchas fluorescentes y se fundamenta en que algunos fluidos biológicos, como el semen y la sangre poseen fluorescencia intrínseca, sin embargo, ésta depende de la antigüedad de la muestra, así como de su concentración. Por ello, se emplean reactivos como el luminol y el BLUESTAR®, que cuando se oxidan exhiben quimioluminiscencia y se utilizan en las llamadas pruebas luminosas.

Desde hace aproximadamente treinta años, el fenómeno de la luminiscencia se ha convertido en una rama de la espectrometría aplicada, dentro de la química analítica. La quimioluminiscencia (QL) se define como la emisión de luz asociada con la disipación de energía con una sustancia electrónicamente excitada. La hemoglobina cuando está unida a oxígeno (oxihemoglobina) presenta bandas de absorción en la zona del espectro visible (575 y 540 nm) debido a los compuestos porfirínicos, cercanos a la región ultravioleta (UV).

Los conceptos asociados con el fenómeno de la luminiscencia, en particular las reacciones redox se abordan con poca profundidad en los cursos de Química General y Química Orgánica por lo que esto podría ser un área de oportunidad para los Profesores que imparten las asignaturas del eje Químico-Biológico para integrarlos a sus clases usando un tema conectado al campo forense como lo es la búsqueda de sangre en un lugar.

Un ejemplo didáctico que podría plantearse usando el contexto forense para enseñar conceptos de química en educación básica es el publicado dentro de este número especial de la Revista en Educación Química por Rosa María Catalá Rodes en el que mediante el uso de luminol, se implementa una estrategia recreativa inspirada en técnicas de ciencia forense.

Una de las principales ventajas de las pruebas presuntivas lumionosas radica en que permiten emplear una instrumentación básica y sencilla, esencialmente una lámpara que emite luz en la región de ultravioleta. El procedimiento implica rociar el reactivo (Luminol o BLUESTAR®) sobre la superficie que se desea evaluar y posteriormente se enfoca la lámpara UV procurando que el espacio se encuentre en total obscuridad para poder apreciar la luminiscencia.

El Luminol (figura 4) es un derivado del ácido ftálico que es sólido a temperatura ambiente y poco soluble en la mayoría de solventes orgánicos. No posee centros asimétricos y se obtiene a partir del ácido 3-nitroftálico mediante la condensación de éste con hidracina.

La aplicación del reactivo en el área a examinar, no produce per se luminiscencia, para que esto ocurra es necesario oxidar al luminol añadiendo durante la preparación del reactivo de trabajo un agente oxidante, especificamente agua oxigenada H2O2 en un medio básico. La actividad peroxidasa del grupo hemo de la hemoglobina cataliza la oxidación del luminol concomitante a la reducción del H2O2 a agua. La efectividad de la prueba se puede incrementar rociando previamente la mancha con ácido clorhídrico al 2% para desnaturalizar la hemoglobina. Esto implica que la prueba es destructiva, lo cual aunado a la presencia de falsos positivos en presencia de sustancias como el hipoclorito de sodio (que funciona como agente oxidante) hicieron necesario generar otras pruebas como el BLUESTAR®.

El BLUESTAR® fue desarrollado por el Doctor Loic Blum en la Universidad Claude Bernard-Lyon con el objetivo de tener una molécula más estable que el luminol cuyo brillo fuera mayor y por un periodo de tiempo superior. Este reactivo tiene un límite de detección de sangre mayor que la técnica de luminol y al no ser necesaria la aplicación de ácido, se evita una mayor degradación del ADN. Existe un tercer ensayo llamado Hemasceína de la marca comercial Abacus Diagnostics, el cual permite revelar manchas latentes y se emplea de manera similar al luminol rociando el reactivo e iluminando el área empleando una lámpara. Al ser una prueba patentada, al igual que el BLUESTAR®, se desconoce la estructura exacta de la molécula que reacciona pero se ha reportado que la Hemasceína está basada en fluoresceína (figura 4).

La tabla 2 muestra un resumen de todas las pruebas presuntivas para sangre que se han reportado, así como el tipo de prueba de que se trata (colorida, de quimioluminiscencia o de fluorescencia). Independientemente del reactivo que las pruebas presuntivas utilicen o del resultado —luminoso o colorido— el fundamento químico es el mismo para todas: la oxidación del reactivo catalizada por el grupo hemo de la hemoglobina utilizando como agente oxidante el peróxido de hidrógeno.

Tabla 2. Resumen de pruebas presuntivas reportadas en la literatura. Se muestra el tipo de prueba presuntiva: Colorida (C), Quimioluminiscencia (QL) y de Fluorescencia (F). La tercera columna indica los reactivos que se aplican para realizar la prueba y finalmente se ilustra el color que se obtiene si el resultado es positivo.

Tipo

Prueba

Reactivos

Color

C

Adler

Bencidina + H2O2

Azul

C

Kastle-Meyer

Fenolftaleína + H2O2

Rosa

C

Orthotolidina

O-tolidina + H2O2

Azul

C

Verde de leucomalaquita (LMG)

LMG + H2O2

Azul-verdoso

C

Tetrametilbencidina (TMB)

TMB + H2O2

Azul-verdoso

C

Guaiacum

Ácido alfa-guaicónico + H2O2

Azul intenso

C

Aloina

Barbaloina + H2O2

Rojo

QL

Luminol

3-amino-ftalhidrazida + carbonato de sodio+ perborato de sodio + H2O2

Azul blanquecino (brillante)

BLUESTAR®

Alternativa commercial del luminol

Azul intenso (brillante)

F

Fluoresceína

Fluoresceína + UV

Verde fluorescente

Estas pruebas son fundamentales para la formación de los Científicos Forenses pero también por su atractivo constituyen una oportunidad para utilizarlas en la enseñanza de la química usando un contexto forense en actividades prácticas o de resolución de problemas.

Pruebas confirmatorias en sangre

De manera general, se dice que las pruebas presuntivas son más sensibles que específicas ya que pueden detectar cantidades muy pequeñas de sangre, pero también pueden producir falsos positivos por la presencia de otros agentes oxidantes, la presencia de fluidos de animales o la presencia de enzimas peroxidasas de otras fuentes. Todo resultado positivo obtenido por medio de pruebas de orientación debe ser validado con una prueba de confirmación. Éstas se consideran más específicas que sensibles y representan las pruebas más utilizadas en el área de la hematología forense, a pesar de que su costo es más elevado que las pruebas coloridas y luminosas. Entre las pruebas confirmatorias de sangre se encuentran las técnicas espectrocópicas, las de microscopía o cristalográficas (Teichman y Takayama) y los inmunoensayos (Hematrace y RSID sangre, entre otras).

Los conceptos asociados con el fundamento de las pruebas confirmatorias se abordan en los cursos de Química General, Química Orgánica, Bioquímica-Biología Celular y Toxicología, por lo que este tema permite a los estudiantes consolidar el aprendizaje y conectar conceptos que aprenden de manera separada en una aplicación de gran importancia para la investigación de hechos delictivos en un lugar.

Otra de las pruebas confirmatorias que se pueden aplicar son las técnicas espectroscópicas se basan en el análisis de espectros de absorción que permiten identificar hemoglobina o alguno de sus derivados en una mancha -que fue presuntivamente señalada como sangre- con base en las bandas de absorción que se detectan. La tabla 3 muestra las bandas de absorción que se pueden observar al realizar el ensayo. Este tema es abordado en la asignatura de Química Forense, la cual se cursa durante el tercer semestre por lo que en la asignatura de Hematología y Serología Forense los estudiantes ven una aplicación forense de estos conceptos.

Tabla 3. Bandas de absorción del espectro visible para derivados de la hemoglobina.

Derivado de hemoglobina

Bandas de absorción del espectro visible (nm)

Hemoglobina

555

430

-----

Oxihemoglobina

577

541

413

Carboxihemoglobina

570

535

418

Metahemoglobina

630

500

406

Las pruebas cristalográficas están basadas en la formación de cristales, que pueden ser observados bajo el microscopio, como resultado de la evaporación del agua de la muestra en condiciones ácidas o básicas en presencia de un halógeno inorgánico.

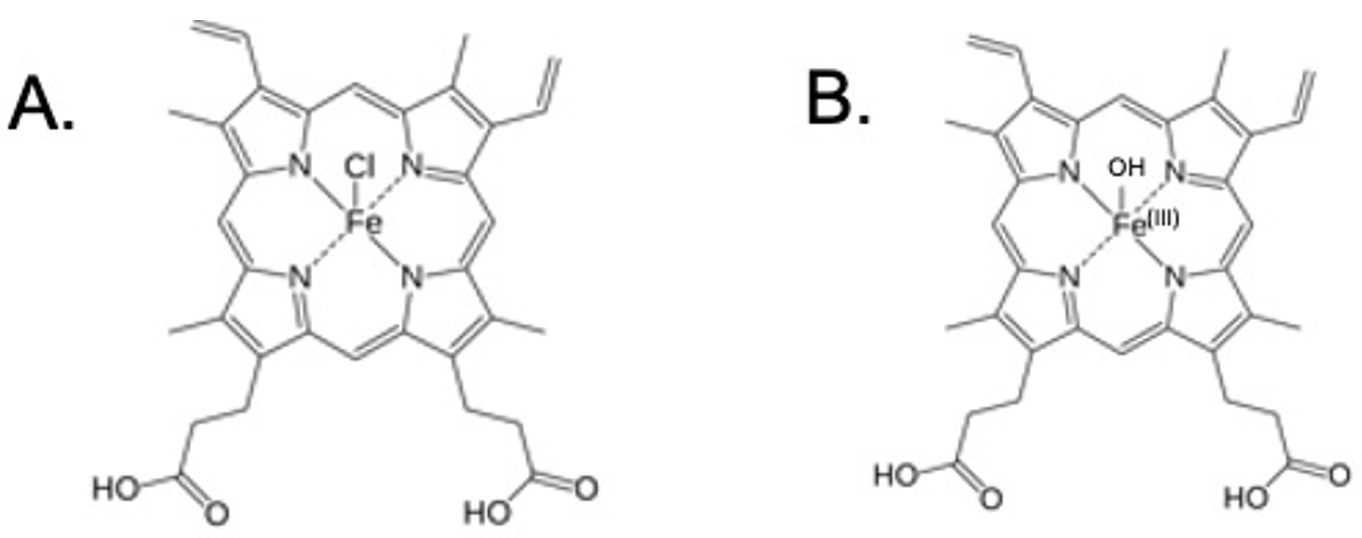
La prueba de Teichmann consiste en la cristalización de clorhidrato de hemina (figura 4), en forma de cristales romboédricos de color café, utilizando ácido acético glacial y cloruro de sodio. Lo anterior se logra calentando una tinción seca en presencia de un haluro y ácido acético glacial lo que ocasiona la desnaturalización de la hemogoblina separando la parte proteica (la globina) del grupo prostético (hemo). Durante la hidrólisis la parte proteica se desnaturaliza y libera el grupo hemo que en presencia de un halógeno inorgánico como el cloro forman cristales insolubles de cloruro de ferriprotoporfirina o hemina.

Figura 4. Estructura de la hemina (A) y del hemocromógeno (B). Ambos forman cristales en las pruebas de Teichmann y Takayama, respectivamente.

La prueba de Takayama, se basa en la formación de hemocromógeno el cual se forma calentando una tinción seca en presencia de piridina y glucosa en condiciones alcalinas. En este caso, se considera que el resultado es positivo cuando se aprecian cristales de hemocromógeno color rosado y en forma de aguja.

Conclusión

La hematología y serología forenses forman parte de la medicina legal y ambas disciplinas tienen como objetivo definir mediante el análisis de indicios si se trata de fluidos de naturaleza biológica, si son de origen humano, cómo se depositaron en el lugar y, de ser posible, quién puedo haberlos depositado.

Dado que los fluidos biológicos como la sangre, el semen y la saliva, pueden encontrarse en un lugar donde se llevó a cabo la comisión de un delito o en el cuerpo de una víctima o victimario es de vital importancia aplicar de manera correcta pruebas que permitan su identificación.

La figura 5 muestra de manera general el proceso que se lleva a cabo durante la investigación de un hecho presuntamente delictivo. En la parte superior se muestran las etapas que las personas encargadas de realizar el procesamiento de un lugar donde se sospecha ha ocurrido un delito llevan a cabo, es decir la preservación del lugar, la observación para identificar indicios —llamados comúnmente evidencias— posteriormente la fijación fotográfica seguida de la descripción por escrito. Una vez que los indicios han sido identificados se realizan las pruebas presuntivas, llevando a cabo el levantamiento mediante diversos medios, por ejemplo hisopos estériles. El siguiente paso es la aplicación de las pruebas presuntivas y si estas son positivas se recolecta el indicio y éste es embalado, etiquetado y se realiza el Registro de Cadena de Custodia para su traslado al laboratorio donde se aplican pruebas confirmatorias. Si se obtiene un resultado negativo en las pruebas presuntivas, se debe evaluar si el indicio puede ser analizado por otra disciplina de la Ciencia Forense, por ejemplo un vaso en el que se evalúa una mancha en el borde y esta resulta negativa para sangre pero presenta huellas dactilares éste podría ser enviado a lofoscopía para el revelado de las mismas. Finalmente las personas que realizan los análisis emiten un dictamen, informe o reporte en que asientan sus hallazgos para que esta información pueda ser incorporada a la Carpeta de Investigación del caso.

Figura 5. Representación de la investigación forense.

Si bien la aplicación de pruebas presuntivas y confirmatorias representa una parte del proceso, su correcta aplicación e interpretación puede ser toral para el resultado de una investigación. Lo anterior plantea la necesidad de que las personas involucradas posean un entendimiento del fundamento de estas.

Por ello, se hace un reconocimiento de los conocimientos de la química aplicados en la enseñanza de la HySF, así como algunas propuestas de cambios en el marco de la modificación del plan que está en curso. También se hace una descripción de las reacciones, los procedimientos y escenarios con el propósito de que las y los profesores interesados en utilizar el contexto forense cuenten con información asequible que les permita generar estrategias didácticas para la enseñanza de la química utilizando alguna de las pruebas presuntivas o confirmatorias mediante un marco forense.

Agradecimiento

Los autores agradecen a Diego Ernesto Villanueva Hernández por sus comentarios y la revisión crítica del artículo.

Referencias

An, J., Shin, K., Yang, W., & Lee, H. (2012). Body fluid identification in forensics. BMB Reports45(10), 545-553. https://doi.org/10.5483/bmbrep.2012.45.10.206

Barksdale, L., & Matsoff, M. (2011). Bloodstains As Evidence. A Field Manual (1st ed.). Matisoff Publishing.

Bilous, P., Fossum, M., & Hallmark, C. (2011). Blood Enhancement Reagents, Luminol, Bluestar®, Fluorescein, and Hemascein™ : a quantitative comparison of properties essential for crime scene investigations. Presentation, IAFS Meeting. Portugal.

Bruin, k., Stole, R., & Limborgh, J. (2011). Mejora de la determinación del punto de origen en el análisis de patrones de mancha de sangre. Revista De Ciencias Forenses, 56. Retrieved 1 September 2022.

Castillo-Rodríguez, N., & Cortés-Osorio [, J. (2019). Validation of The Takayama Confirmatory Test for Blood Identification in Stains. Scientia Et Technica24(1), 140-145. Retrieved 1 September 2022.

Cedrón, J. (2011). El luminol. Revista De Química25(1-2), 13-14. Retrieved 1 September 2022.

Dilbeck, L. (2006). Use of Bluestar Forensic in lieu of Luminol at Crime Scenes. Journal Of Forensic Identification56(5), 706-729. Retrieved 1 September 2022.

FBI Academy Quantico. (1989). The examination of serological evidence (pp. 18-22).

Geografía, E. D. N. I. Y. (2021, 22 septiembre). Encuesta Nacional de Victimización y Percepción sobre Seguridad Pública (ENVIPE) 2021. INEGI. Recuperado 4 de septiembre de 2022, de https://www.inegi.org.mx/programas/envipe/2021/

Giles, H. (1924). The “Hsi Yüan Lu” or “Instructions to Coroners.”. Proceedings Of the Royal Society of Medicine17(Sect_Hist_Med), 59-107. https://doi.org/10.1177/003591572401701705

Lowis, T., Leslie, K., Barksdale, L., & Carter, D. (2012). Determining the Sensitivity and Reliability of Hemascein. Journal Of Forensic Identification62(3), 204-214. Retrieved 1 September 2022.

Springer, E., Almog, J., Frank, A., Ziv, Z., Bergman, P., & Gui Qiang, W. (1994). Detection of dry body fluids by inherent short wavelength UV luminescence: preliminary results. Forensic Science International66(2), 89-94. https://doi.org/10.1016/0379-0738(94)90332-8

Sosa, AM. Suzuri Hernández, J. (2019). “¿Necesita el científico forense comprender la periodicidad?”. Revista de Educación Química Vol. 30 (4), 115-124.

Yamagishi, K., Tsukada, K., Kato, A., Shiozaw, Y., & Ichioka, M. (2011). Effectiveness of New Bloodstain Preliminary Examination Reagent. Japan

UNAM. (2017, noviembre). Criterios para la Evaluación del Personal Académico de la Licenciatura en Ciencia Forense (Gaceta de la Facultad de Medicina el 8 de noviembre del 2017). Gaceta UNAM. http://consejo.facmed.unam.mx/home/PDF/criterios-evaluacion-forense-2017.pdf



Cómo citar: Figueroa Martínez, F., Martínez Romero, V. E. y Villavicencio Queijeiro, A. (2022, septiembre). Pruebas presuntivas y confirmatorias de sangre: enseñanza de la química en la hematología forense. Educación Química, 33(número especial). http://dx.doi.org/10.22201/fq.18708404e.2022.4.83537


[1] Catedrático CONACYT. Departamento de Biotecnología, Universidad Autónoma Metropolitana-Iztapalapa, San Rafael Atlixco 186, Col. Vicentina, Iztapalapa 09340, Mexico City, Mexico.

[2] Circuito de la, Investigación Científica S/N, C.U., Coyoacán, 04510 CDMX.