http://dx.doi.org/10.22201/fq.18708404e.2023.2.83239

Diversidad y bioactividad de análogos semisintéticos de cannabidiol

Florencia Antonella Musso[a]

Resumen

La especie vegetal Cannabis sativa (Cannabaceae) posee importantes propiedades medicinales gracias a los componentes bioactivos que posee. El fitoestrógeno CBD se puede encontrar en la planta y debido a las características terapéuticas y estructurales de la molécula, lo convierte en un interesante andamio susceptible a numerosas modificaciones sintéticas, con el fin de mejorar su eficacia y potencia terapéutica. Este trabajo proporciona información sobre los distintos análogos sintéticos de CBD descubiertos en los últimos años (2010 - 2021). La búsqueda bibliográfica se realizó en distintas bases de datos, con distintas palabras clave. Dicha búsqueda se limitó a los años 2010 - 2021, y se consideraron revisiones, micro revisiones y meta-análisis de mayor impacto. Se recopilaron alrededor de 40 nuevos análogos sintéticos de CBD y fueron clasificados según el blanco estructural modificado. Estos compuestos poseen una importante bioactividad e incluso, muchos conservan la actividad de su precursor. Sin embargo, en muchos casos, el conocimiento de su mecanismo de acción aún se encuentra en estudio por lo que se necesitan numerosas investigaciones farmacológicas y medicinales.

Palabras clave:

Cannabis; fitocannabinoides; cannabidiol; derivados sintéticos; química medicinal.

Diversity and bioactivity of semisynthetic cannabidiol analogs

Abstract

The plant species Cannabis sativa (Cannabaceae) has important medicinal properties due to its bioactive components. The CBD phytoestrogen can be found in the plant and, due to the therapeutic and structural characteristics of the molecule, makes it an interesting scaffold susceptible to numerous synthetic modifications, in order to improve its efficacy and therapeutic potency. This work provides information on the different synthetic analogues of CBD discovered in recent years (2010 - 2021). The bibliographic search was carried out in different databases, with different keywords. This search was limited to the years 2010 - 2021, and reviews, micro-reviews and meta-analyses with the greatest impact were considered. About 40 new synthetic CBD analogs were collected and classified according to the modified structural target. These compounds have significant bioactivity and many even retain the activity of their precursor. However, in many cases the knowledge of its mechanism of action is still under study, which is why numerous pharmacological and medicinal investigations are needed.

Keywords:

Cannabis; phytocannabinoids; cannabidiol; synthetic derivatives; medicinal chemistry.




Introducción

La especie vegetal Cannabis sativa, también conocida como cáñamo indio, pertenece a la familia Cannabaceae y es cultivada principalmente en Asia Central (India y China). Teniendo en cuenta los aspectos botánicos, Cannabis sativa es una planta herbácea anual que según las condiciones ambientales y variedad genética puede alcanzar hasta los cinco metros de altura (Figura 1a). Sus hojas palmeadas están compuestas por cinco a siete folíolos afilados en ambos extremos, cuyos bordes son dentados (Figura 1b). En cuanto a las flores, las masculinas son estaminadas y las femeninas son pistiladas, organizándose estas últimas, en racimos (Figura 1c) (Bonini, 2018; Messina, 2015). Por otra parte, esta planta posee abundantes protuberancias glandulares microscópicas de origen epidérmico, más conocidas como tricomas glandulares, que se encuentran distribuidas mayormente, en la superficie de brácteas y flores de las plantas femeninas, y en menor medida, en superficies de tallos y hojas (Figura 1d). La principal función de estos tricomas es la de almacenar y secretar una “sustancia pegajosa”, conocida como resina, la cual contiene los metabolitos secundarios propios de la planta (Bonini, 2018; Messina, 2015; Fanovich, 2020).

Figura 1. Especie vegetal Cannabis sativa. a. Planta entera. b. Hojas palmeadas de cinco y siete folíolos. c. Flores femeninas y masculinas. d. Tricomas glandulares.

Tanto las semillas como los tallos y la fibra que posee dicha especie vegetal cuentan con un alto valor económico y medicinal, por lo que Cannabis sativa ha sido utilizada por el hombre desde tiempos remotos en textiles, papel, aceites industriales, alimentos funcionales saludables, cosméticos y medicamento, entre otros. Sin embargo, debido a sus importantes propiedades psicoactivas, ha sido muy empleada, principalmente, para fines recreativos (Bonini, 2018; Li, 2020). Debido a esto último, Cannabis sativa fue considerada a lo largo de los años como una droga ilegal, por lo que su uso medicinal resultó controversial y prohibido en muchos países, imposibilitando, de esta manera, la investigación de sus componentes bioactivos y efectos farmacológicos (Fanovich, 2020). Desde hace unos años, la percepción social de la planta ha dado un giro importante, tanto a nivel social y legal, así como también a nivel medicinal, por lo que ha habido un progreso considerable en la investigación de Cannabis sativa. Estudios farmacológicos recientes han logrado demostrar las diversas propiedades medicinales que posee, las cuales van desde efectos analgésicos, antibacterianos, antiinflamatorios, antialérgicos, antihipertensivos, antitrombóticos, antitumorales hasta efectos favorables en numerosas patologías neurológicas, logrando, de esta manera, una mayor evidencia científica de sus propiedades terapéuticas (Li, 2020).

Actualmente, se han aislado más de 565 compuestos diferentes de Cannabis sativa, entre los cuales se encuentran los cannabinoides, terpenoides, flavonoides y alcaloides, entre otros (Bonini, 2018; Li, 2020). Cabe destacar, que más de 120 del total de los compuestos identificados corresponden al grupo de cannabinoides (Figura 2), los cuales son los principales compuestos responsables de las propiedades psicoactivas que posee la planta (Bonini, 2018; Li, 2020).

Figura 2. Principales cannabinoides de la especie vegetal Cannabis sativa.

Los cannabinoides son compuestos orgánicos pertenecientes al grupo de los terpenofenoles y según su sitio de síntesis, se los puede clasificar en endocannabinoides, si son sintetizados dentro del organismo, fitocannabinoides cuando su origen es vegetal y cannabinoides sintéticos cuando son sintetizados de manera artificial en un laboratorio (Kratz y García de Palau, 2018). Desde el punto de vista químico, la estructura de los fitocannabinoides está compuesta por un núcleo resorcinilo, el cual posee dos sustituyentes paraorientados: un grupo terpenilo, con un grado de isoprenilación determinado (prenilo, sesquiterpenilo, etc.) y un grupo alquilo, que, a su vez, puede encontrarse ramificado (Hanus, 2016).

Aunque estos compuestos tienen estructuras químicas similares, pueden provocar diferentes acciones farmacológicas, y esto depende de la interacción que ejerzan dentro del sistema endocannabinoide (SEC), ya sea con los receptores de cannabinoides y/o con las enzimas de síntesis y degradación de endocannabinoides. Cabe mencionar que el SEC, es un importante sistema molecular que se encuentra en el organismo humano y en el de otros mamíferos. Este sistema está regido por una compleja red de señales, y se compone de receptores de cannabinoides (CB1 y CB2 principalmente), sus ligandos endógenos (endocannabinoides) y un sistema enzimático responsable de su síntesis y degradación (Fanovich, 2020; Li, 2020; Atalay, 2020). El SEC desempeña diversos roles homeostáticos capaces de modular diferentes funciones vitales del organismo, y está implicado en la regulación del humor, el dolor, la relajación muscular, el hambre y las náuseas, entre otras (Hanus, 2016; Marzoratia, 2020).

Dentro de los fitocannabinoides hallados en Cannabis sativa, los que se encuentran en mayor abundancia son el ácido delta-9-tetrahidrocannabinólico (Δ9-THCA) (9) y el ácido cannabidiólico (CBDA) (10) (Figura 2), sin embargo, estos ácidos carboxílicos son descarboxilados naturalmente mediante procesos no enzimáticos, dando lugar a las especies neutras correspondientes: delta-9-tetrahidrocannabinol (Δ9-THC) (5) y cannabidiol (CBD) (2) (Figura 2) (Marzoratia, 2020; Rochfort, 2020). Desde el punto de vista medicinal, tanto 5 como 2 son los dos fitocannabinoides más conocidos por su potencial terapéutico. El THC (5) es el principal agente psicoactivo y presenta a su vez, propiedades antiinflamatorias, analgésicas, antieméticas y estimulantes de apetito. Por el contrario, el CBD (2), no está asociado con la psicoactividad, así como tampoco afecta por sí solo a la función motora, la memoria o la temperatura corporal. A su vez, posee efectos antipsicóticos, neuroprotectores, anticancerígenos y antidiabéticos, entre otros (Atalay, 2020; Aizpurua-Olaizola, 2016; Pisanti, 2017) y se encontró que es un agonista inverso del receptor CB2 humano, lo cual puede contribuir a sus efectos antiinflamatorios (Pisanti, 2017). Asimismo, 2 presenta una menor afinidad a los receptores CB1 y CB2 y se sabe que actúa como una molécula de séquito, reduciendo los efectos colaterales de 5, mejorando de esta manera, su perfil de seguridad (Figura 3) (Pisanti, 2017).

Figura 3. Efectos terapéuticos de CBD (2) según su interacción con distintos receptores.

Considerando la riqueza de propiedades terapéuticas atribuidas, la carencia de efectos psicoactivos que posee, su notable perfil de seguridad y que es uno de los compuestos más abundantes de Cannabis sativa, el CBD se convirtió en uno de los fitocannabinoides más interesantes para su estudio y representa una estructura líder para el desarrollo de nuevos cannabinoides sintéticos, que puedan potenciar e incluso mejorar sus propiedades bioactivas, así como también sus propiedades farmacocinéticas (Atalay, 2020; Morales, 2017; Lago-Fernandez, 2017).

Si bien la química del CBD ha sido investigada durante más de 30 años, son pocos los derivados sintéticos que se conocen al día de hoy, así como sus correspondientes métodos de obtención y bioactividad. Por lo tanto, el objetivo de este trabajo es proporcionar información de los distintos derivados de CBD, que fueron obtenidos en los últimos años mediante síntesis orgánica y que poseen actividad biológica reportada.

Materiales y métodos

Bajo el marco del objetivo de este trabajo, se realizó una búsqueda bibliográfica en distintas bases de datos, tales como ScienceDirect, Scopus, Scielo, PubMed, Google Scholar y Medline utilizando las palabras clave “cannabidiol derivatives”, “cannabidiol synthesis”, “cannabidiol structural analogues”, “cannabidiol analogues”, “cannabidiol medicinal chemistry”, “cannabidiol drugs based”, “cannabidiol drugs”. Asimismo, para cada caso, se cambió el término “cannabidiol” por las siglas “CBD”, así como también, en algunas de las bases de datos, se buscaron las palabras clave ya mencionadas, en idioma español. La búsqueda bibliográfica se limitó al intervalo de tiempo 2010 - 2021, con preferencia a las revisiones, micro revisiones y meta-análisis, así como también a los trabajos con fecha de publicación más reciente. El criterio de selección se basó, principalmente, en el factor de impacto de la revista correspondiente a cada trabajo. A su vez, se realizaron búsquedas en las listas de referencias de los trabajos analizados en busca de artículos relevantes sobre derivados bioactivos de CBD que no se hayan encontrado en las búsquedas en las bases de datos.

Resultados y discusión

Estructura química del CBD en relación a su bioactividad

El CBD fue aislado por primera vez de la planta de cannabis en el año 1940 por Adams y col. (1940). Posteriormente, en 1963, Mechoulam y col. (1963) dilucidaron su estructura y en el año 1977, Jones y col. (1977) reportaron la estructura cristalina de este fitocannabinoide e identificaron sus dos isómeros ópticos, aunque la estructura que se encuentra naturalmente en la planta es el enantiómero (-)-CBD. Su fórmula química es C21H30O2 y su peso molecular es de 314,46 g/mol.

La molécula terpenofenólica del CBD contiene un anillo de ciclohexeno (A), un anillo fenólico (B) y una cadena lateral pentilo (Atalay, 2020). Sin embargo, otros autores la describen como una combinación de tres núcleos: limoneno (rojo), resorcinol (azul) y una cadena alquílica unida al C-4’ (fucsia) (Figura 4) (Jung, 2019). Estudios de relación estructura-actividad de la molécula de CBD, más conocidos como estudios SAR, explican que la bioactividad del CBD se debe principalmente, a la ubicación de los grupos hidroxilo en las posiciones C-2’ y C-6’ del anillo fenólico (B), al grupo metilo ubicado en el C-1 del anillo de ciclohexeno (A), y a la cadena alquílica pentilo que se encuentra unida al C-4’ del anillo fenólico (B) (Atalay, 2020). Por tal motivo, las modificaciones químicas llevadas a cabo sobre la molécula de CBD involucran dichas posiciones.

Figura 4. Estructura química de (-)-CBD.

Teniendo en cuenta estos estudios y en función al sitio donde tenga lugar la modificación química, los nuevos derivados sintéticos del CBD se pueden clasificar como análogos de resorcinol (si la modificación se encuentra sobre el anillo fenólico o en sus grupos hidroxilos), análogos de limoneno (si la modificación química se encuentra sobre el anillo de ciclohexeno), análogos de la cadena alquílica (si la modificación está en la cadena alquílica unida al C-4’) y análogos doblemente modificados (cuando existen modificaciones químicas en más de un sitio de la molécula) (Li, 2020; Morales, 2017; Jung, 2019).

Análogos de resorcinol

En esta sección se citan los compuestos derivados de (-)-CBD que poseen una modificación química en el núcleo resorcinol, cuya actividad biológica se encuentra reportada. Se exceptúan las modificaciones correspondientes a la posición C-4’, las cuales se detallarán más adelante.

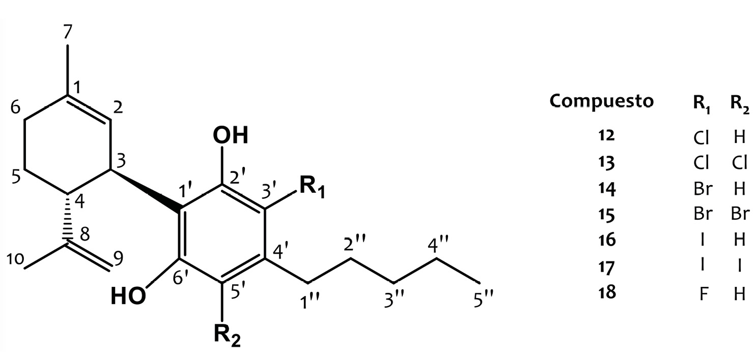
Diversos análogos de CBD fueron sintetizados mediante la incorporación de halógenos. En el trabajo de Usami y col. (1999), se describe la síntesis de derivados mono y dihalogenados de (-)-CBD. Para ello, fueron sustituidos ciertos hidrógenos del anillo fenólico por átomos de cloro, iodo y bromo. En cuanto a su actividad biológica, a comparación del control (CBD), los derivados monohalogenados 12, 14 y 16 (Figura 5) prolongaron el tiempo de sueño mediante la inhibición del metabolismo hepático de los barbitúricos utilizados para dicha sedación. Mientras que los derivados dihalogenados 13, 15 y 17 (Figura 5), si bien demostraron mejorar el efecto sedante con respecto al control, el mismo no fue significativo. Por otra parte, Breuer y col. (2016) reportan la síntesis del derivado monofluorado 18 (Figura 5). Este compuesto demostró mayor potencia que el (-)-CBD en la inducción de efectos antinociceptivos en ratones. A su vez, esta nueva entidad química demostró importantes efectos ansiolíticos, antidepresivos y antipsicóticos (Li, 2020).

Figura 5. Derivados halogenados de CBD.

Otros derivados relevantes obtenidos por la modificación del núcleo resorcinol, fueron las quinonas. La primera hidroquinona de (-)-CBD, (19), (Figura 6), fue reportada en el año 1968 por Mechoulam y col. (1968) quienes la obtuvieron, en bajos rendimientos, mediante la oxidación aeróbica del (-)-CBD. Sin embargo, en el año 2004, el rendimiento de obtención fue mejorado a través de un ajuste de temperatura de la reacción (Kogan, 2004). En lo que respecta a su bioactividad, se demostró que 19 posee una elevada potencia para reducir el crecimiento de células HT-29 de carcinoma de colon humano, aunque el mecanismo de acción es independiente de los receptores cannabinoides CB1 y CB2 (Kogan, 2004). Asimismo, estos autores describen la importancia del grupo quinona para la actividad antiproliferativa contra diversas líneas celulares de cáncer. Otro de los efectos biológicos atribuidos a este compuesto, es la inhibición de la enzima citocromo P450 (Bornheim, 1998).

Posteriormente, a partir de esta hidroquinona surgieron nuevos análogos con sustituyentes butilamino (20) y bencilamino (21) (Figura 6), en el C-3’ que desarrollaron actividad neuroprotectora. El primero, está considerado como fármaco huérfano por la FDA y por la Agencia Europea de Medicamentos para el tratamiento experimental de la esclerodermia. A su vez, una formulación de este compuesto se encuentra transitando los estudios clínicos para la esclerosis múltiple (Morales, 2017; Mitsubishi Tanabe Pharma Development America, Inc. [MTPDA], 2020; del Río, 2018).

Figura 6. Hidroquinonas análogas de CBD.

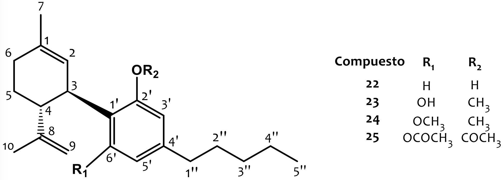
Asimismo, se han analizado modificaciones en los grupos hidroxilos del anillo fenólico, dado que estudios computacionales sugirieron que la eliminación de uno de los OH del anillo puede permitir que el ligando alcance el sitio de unión del CB1. Por lo tanto, se sintetizó el desoxi-CBD (22) (Figura 7), cuyos estudios computacionales demostraron un agonismo parcial sobre CB1 (Morales, 2017).

Figura 7. Derivados de CBD con modificaciones en los OH fenólicos.

Otros grupos, desarrollaron diversas alquilaciones en uno o ambos grupos OH del anillo. Así, los derivados monometilado (23) y dimetilado (24) (Figura 7) revelaron una mayor potencia y selectividad como inhibidores de la 15-lipoxigenasa en comparación con el CBD (Takeda, 2009). Otros estudios, sugirieron que el compuesto 24, más conocido como CBDD, no sólo demostró ser un potencial prototipo para el tratamiento de la aterosclerosis, sino también una herramienta farmacológica para el estudio de los mecanismos de regulación del peso corporal (Takeda, 2015). Por otra parte, se ha descripto la obtención del O-propil y O-pentil CBD, así como su caracterización estructural (Malingré, 1975), aunque sus características farmacológicas aún no han sido descriptas.

Otros análogos de (-)-CBD a considerar en esta sección, son los compuestos que se obtienen tras la incorporación de grupos protectores en los OH fenólicos, dando lugar a derivados éteres fenólicos, acetofenólicos y ésteres fenólicos, entre otros (Morales, 2017). Uno entre tantos ejemplos, es el producto diacetilado del (-)-CBD (25) (Figura 7), el cual demostró propiedades antiinflamatorias in vitro e in vivo en un modelo murino de artritis inducida por colágeno (Haj, 2015). Este tipo de compuestos, que llevan una o ambas sustituciones en el grupo hidroxilo se han caracterizado por presentar notables efectos antiinflamatorios (Mechoulam, 2008). Muchos de ellos, presentan parámetros de solubilidad, estabilidad y biodisponibilidad mejorados a comparación de su precursor, por lo que podrían ser considerados como profármacos (Fasinu, 2016). Por ejemplo, la compañía farmacéutica AllTranz, desarrolló soluciones transdérmicas compuestas por ésteres y carbonatos de CBD, entre otros, mejorando de esta forma la biodisponibilidad del fitocannabinoide (Stinchcomb, 2009). La empresa Kalytera Therapeutics se encuentra actualmente desarrollando la etapa preclínica de K-1012, derivado bifosfato del CBD que fue diseñado como profármaco para el síndrome de dificultad respiratoria.

Finalmente, existen derivados conocidos como derivados “atípicos”, y son regioisómeros del (-)-CBD, tales como Abn-CBD (26), O-1602 (27), O-1918 (28) y O-1821 (29) (Figura 8), los cuales han demostrado poseer propiedades antiinflamatorias y antioxidantes, así como también, posibles efectos antidiabéticos (Romero-Zerbo, 2020). Considerando la actividad biológica, los más estudiados fueron los dos primeros. Para el caso de 26, se demostró su capacidad vasodilatadora, antibacteriana y antidiabética, además de comportarse como un potente protector del daño retiniano inducido por la luz en ratones (Morales, 2017; Romero-Zerbo, 2020; Silvaroli, 2019; Vonga, 2019). Mientras que el derivado 27, mostró actividad antiinflamatoria en ratones con pancreatitis aguda inducida y existen diversos reportes que muestran su potencial terapéutico para enfermedades relacionadas al sistema nervioso central (Ashton, 2012) o para enfermedades metabólicas (Romero-Zerbo, 2020).

Figura 8. Derivados “atípicos” de CBD.

Análogos de limoneno

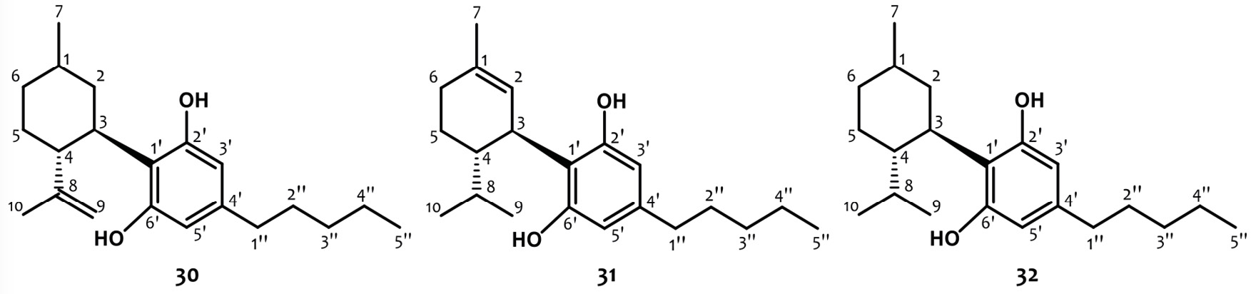
Los derivados de CBD en los cuales se ha modificado el núcleo de limoneno y cuya actividad biológica está reportada, no son muchos, pero dentro de ellos, los más conocidos son los productos de hidrogenación (Ben-Shabat, 2006). La hidrogenación leve de (-)-CBD con PtO2 catalítico resultó en una mezcla de (-)-1,2-H2-CBD (30) y (-)-8,9-H2-CBD (31), mientras que la hidrogenación en condiciones más drásticas dio lugar al (-)-H4-CBD (32), el cual posee ambos carbonos, C-1 y C-8, hidrogenados (Figura 9) (Li, 2020; Ben-Shabat, 2006). Todos ellos, mostraron una gran capacidad antiinflamatoria mediante la inhibición de intermediarios reactivos de oxígeno tales como óxido nítrico. A diferencia del CBD, los derivados hidrogenados poseen afinidad por el CB1. Mientras que 31 demostró un efecto anticonvulsivo comparable al del CBD (Mascal, 2019).

Figura 9. Productos de la hidrogenación de CBD.

Por otra parte, los enantiómeros (-) y (+)-8,9-dihidro-7-hidroxi-CBD (33a y 33b) (Figura 10), fueron sintetizados y caracterizados biológicamente utilizando un modelo inflamatorio de células T encefalitogénicas por Kozela y col. (2015). Ambos compuestos mostraron potencial antiinflamatorio en modelos de enfermedades inflamatorias y autoinmunes. Otros derivados descriptos por estos mismos autores son los compuestos que cuentan con el doble enlace del C-8 hidrogenado y que, a su vez, están dotados de grupos hidroxilo en las posiciones C-6 y C-7, respectivamente. Sin embargo, el segundo, solo exhibió una afinidad ligeramente mayor por CB1 que su precursor (-)-CBD.

Figura 10. Enantiómeros de CBD hidrogenados e hidroxilados.

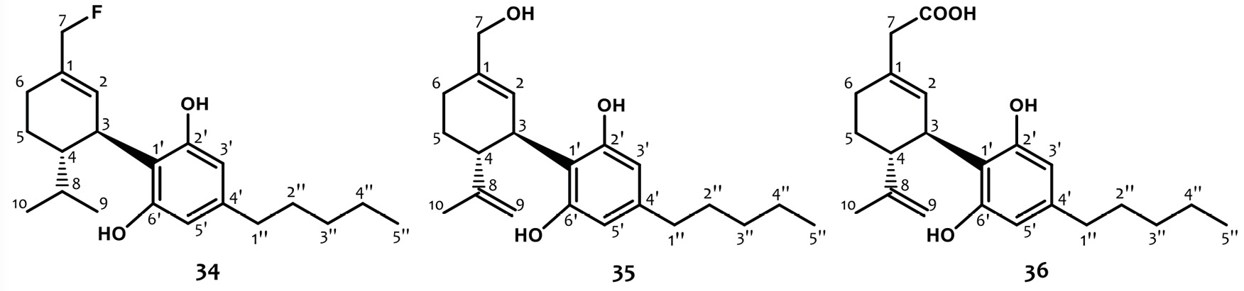
Breuer y col. (2016) sintetizaron el derivado halogenado de (-)-8,9-H2-CBD, con un átomo de flúor en el metilo C-7 (34) (Figura 11), aunque su actividad antipsicótica, antidepresiva y ansiolítica no resultó ser significativa (Li, 2020; Breuer, 2016).

Por último, otro de los derivados importantes a mencionar en esta sección son los compuestos oxidados en la posición C-7, el 7-OH-CBD (35) y el 7-COOH-CBD (36) (Figura 11), que, si bien son metabolitos del CBD generados en el primer paso hepático por la enzima citocromo P450, también fueron sintetizados a partir de (-)-CBD por el grupo de Mechoulam y col. (2000). Sin embargo, aún no se han revelado las actividades farmacológicas atribuidas a estos metabolitos (Li, 2020; Jung, 2019; Mechoulam, 2002; Tchilibon, 2000).

Figura 11. Derivados de CBD con sustituyentes en el C-7.

Análogos de la cadena alquílica

La molécula de CBD posee una cadena de n-pentilo unida al C-4’ del anillo aromático y se han informado diversos derivados sintéticos con variaciones en esta cadena alquílica. Basados en trabajos previos de Mechoulam y col. (1988), en los que la sustitución de la cadena pentilo del Δ9-THC por la cadena alquílica lipofílica 1’,1’-dimetilheptilo (DMH), resultó en compuestos más activos que el Δ9-THC, se hipotetizó que podría ocurrir lo mismo para el caso del andamio CBD. Por lo tanto, la síntesis de DMH-CBD ha sido informada por el grupo de Mechoulam, donde la introducción de la cadena alquílica de DMH en (-)-CBD no afectó la afinidad de éste por los receptores CB1 y CB2. En cuanto a la actividad medicinal, (-)-DMH-CBD (37) (Figura 12) ha mostrado propiedades antiinflamatorias y antiproliferativas en leucemia mieloide aguda humana, células T microgliales o encefalitogénicas (Leite, 1982; Hanus, 2005; Mechoulam, 1990; Juknat, 2016).

Con el fin de mejorar la biodisponibilidad oral y los problemas de solubilidad del (-)-CBD, se realizaron modificaciones en la cadena alquílica lipofílica utilizando grupos donores y aceptores de puente de hidrógeno, que le proveen a la molécula un área de carácter polar. Entre estos nuevos derivados, el compuesto conocido como KLS-13019 (38) (Figura 12), que contiene el resto de N-acetil azetidina, se destaca por ser 50 veces más potente y más de 400 veces más seguro que el (-)-CBD, sumado a una biodisponibilidad oral mejorada en comparación al precursor (Kinney, 2016). Otro derivado de este tipo es el compuesto en el que la cadena de pentilo se reemplaza por 6’’-azido-hex-2’’-ino (39) (Figura 12), el cual demostró un antagonismo CB1 más fuerte. A su vez, se observó que no mejoró las amplitudes de contracción evocadas eléctricamente en los conductos deferentes del ratón, por lo que se necesitan más experimentos para determinar si este derivado es un antagonista cannabinoide CB1 neutral (Thomasa, 2004).

Figura 12. Derivados de CBD con modificaciones en C-4’.

Análogos doblemente modificados

A lo largo de este trabajo se han citado los derivados del CBD en los que se ha modificado uno de los núcleos que conforman la molécula. En esta sección se mencionarán los que han sido modificados en más de uno de los núcleos.

Anteriormente se habló del compuesto 37, DMH-CBD, en el que la cadena pentilo del CBD fue sustituida por la cadena alquílica DMH. A partir de éste, se realizaron nuevas modificaciones sintéticas para la obtención de análogos de CBD doblemente modificados (Leite, 1982; Hanus, 2005; Mechoulam, 1990). Estas nuevas entidades mostraron bioactividades mejores que el (-)-CBD, tales como efectos ansiolíticos, analgésicos, antiinflamatorios o antiproliferativos en diversos ensayos (Burstein, 2015; Fride, 2005; Pertwee, 2005; Sumariwalla, 2004). Así, el 7-OH-DMH-CBD (40) y el 1-COOH-DMH-CBD (41) (Figura 13) demostraron ser potenciales antidiarreicos y antiinflamatorios para el tratamiento de la enfermedad inflamatoria intestinal y la fibrosis quística, mientras que el compuesto 40 mostró unirse moderadamente a los receptores CB2 y resultó ser un inhibidor de la captación de anandamida, por lo que podría ser utilizado como antagonista del receptor de cannabioides (Fride, 2005). A su vez, 40 exhibió una potente inhibición de las contracciones evocadas eléctricamente de los conductos deferentes del ratón que no fue mediada por CB1, CB2, TRPV1, opioides o receptores A2-adrenérgicos (Morales, 2017). Mientras que 41, indujo efectos antiinflamatorios e inmunosupresores, en un modelo in vivo de artritis inducida por colágeno (Sumariwalla, 2004).

Figura 13. Derivados de DMH-CBD oxidados en C-7.

Por otra parte, se ha estudiado la hidrogenación de DMH-CBD (Ben-Shabat, 2006). La hidrogenación parcial de dicho compuesto dio H2-DMH-CBD (42), como epímero principal (hidrogenación en C-8), obteniéndose pequeñas cantidades del epímero C-1 hidrogenado (43). La hidrogenación completa permitió la formación de H4-DMH-CBD (44). Estos compuestos hidrogenados (Figura 14), se unen al receptor CB1 con constantes de afinidad que se encuentran en el rango nanomolar por lo que mostraron efectos antiinflamatorios débiles en comparación con el CBD o el DMH-CBD (Morales, 2017).

Figura 14. Compuestos hidrogenados de DHM-CBD.

Otro novedoso compuesto fue sintetizado por Breuer y col. (2016), el cual contiene un flúor en el grupo isopropileno del núcleo limoneno, y ambos OH del grupo resorcinol acetilados (45) (Figura 15). Este compuesto mostró potentes efectos ansiolíticos, antidepresivos, antipsicóticos y anticovulsivos.

A su vez, en cuatro análogos de CBD diacetilados, CBD-aldehído-diacetato (46), 6-oxo-CBD-diacetato (47), 10-hidroxi-CBD-triacetato (48) y 6-hidroxi-CBD-triacetato (49) (Figura 15), se demostró la actividad anticonvulsivante in vivo en un modelo de ratón (Carlini, 1975). Cabe destacar, que la seguridad, la eficiencia y la potencia de estos cuatro compuestos fueron menores que las del CBD en los mismos ensayos.

Figura 15. Análogos de CBD con diversas modificaciones.

Finalmente, uno de los derivados más conocidos de CBD que se puede mencionar en esta sección, es el derivado de α-pineno dimetoxi-DMH-CBD (50) (Figura 16), producto de la condensación del grupo resorcinol con el 4-hidroximyrtenil pivalato, cuya síntesis está descrita en el trabajo de Hanus y col. (1999). Se trata de un potente agonista periférico selectivo de CB2 (Mechoulam, 1990; Hanus, 1999), que, además, ha mostrado propiedades antiinflamatorias, analgésicas, neuroprotectoras y antitumorales. A su vez, se ha utilizado como herramienta farmacológica en numerosos estudios de cannabinoides que han contribuido al conocimiento en este campo (Burstein, 2015; Hanus, 1999; Ofek, 2006; Rajesh, 2007 a y b). Más recientemente, se ha probado su eficacia en la pérdida ósea inducida por la ovariectomía y la inflamación del oído (Smoum, 2015), mostrando una relación inversa entre la afinidad de unión y la potencia biológica.

Figura 16. Derivado de α-pineno de CBD.

Conclusiones

Con el objetivo de encontrar nuevas entidades químicas que cuenten con un perfil terapéutico más efectivo que su precursor químico y que carezcan de efectos adversos, muchos químicos sintéticos toman como molécula andamio al CBD, el cual se destaca sobre otros fitocannabinoides debido a sus propiedades farmacológicas, a la ausencia de efectos psicotrópicos y a su perfil de seguridad considerable. A su vez, la síntesis química de análogos de CBD evita algunos problemas relacionados al cultivo, tales como el uso de pesticidas, contaminación microbiana o fúngica, así como problemas asociados con la obtención de extractos, tal como el uso de solventes tóxicos, entre otros.

Como se vio en este trabajo, a lo largo de los últimos años se lograron desarrollar diversas estrategias sintéticas que utilizan al CBD como molécula de partida para dar lugar a nuevos compuestos. Se citaron 39 nuevos análogos sintéticos de CBD, los cuales se clasificaron según la parte estructural modificada: análogos de limoneno, análogos de resorcinol y análogos de la cadena alquílica. Asimismo, se mencionó una cuarta categoría, en la que los compuestos categorizados en ella poseen modificaciones en dos o más sitios estructurales. Independientemente de la categoría a la que pertenecen, si bien los reportes citados demuestran que estos nuevos compuestos poseen una importante bioactividad e incluso, en algunos casos, conservan la actividad de su precursor, existen ciertas limitaciones en la comprensión de su mecanismo de acción y efectos biológicos. La complejidad de los procesos farmacológicos del CBD mediante los cuales desencadena los efectos terapéuticos característicos, hace que la evaluación farmacológica de sus derivados sintéticos resulte algo compleja. Por lo tanto, es un área que necesita más investigaciones tanto en la elucidación completa de las actividades biológicas de cada compuesto, así como la identificación de los objetivos moleculares implicados.

Referencias

Adams, R., Hunt, M., y Clark, J.H. (1940). Structure of Cannabidiol. III. Reduction and Cleavage. Journal of the American Chemical Society, 62(2), 735-737. https://doi.org/10.1021/ja01861a011

Aizpurua-Olaizola, O., Soydaner, U., Öztürk, E., Schibano, D., Simsir, Y., Navarro, P., Etxebarria N., y Usobiaga, A. (2016). Evolution of the Cannabinoid and Terpene Content during the Growth of Cannabis sativa Plants from Different Chemotypes. Journal of Natural Products, 79, 324-331. https://doi.org/10.1021/acs.jnatprod.5b00949

Ashton, J.C. (2012). The atypical cannabinoid O-1602: targets, actions, and the central nervous system. Central Nervous System Agents in Medicinal Chemistry, 12, 233–239. https://doi.org/10.2174/187152412802430156

Atalay, S., Jarocka‐Karpowicz I., y Skrzydlewska, E. (2020). Antioxidative and Anti‐inflammatory Properties of Cannabidiol. Antioxidants, 9, 21. https://doi.org/10.3390/antiox9010021

Ben-Shabat, S., Hanus, L.O., Katzavian, G., y Gallily, R. (2006). New cannabidiol derivatives: synthesis, binding to cannabinoid receptor, and evaluation of their antiinflammatory activity. Journal of Medicinal Chemistry, 49, 1113–1117. https://doi.org/10.1021/jm050709m

Bonini, S.A., Premoli, M., Tambaro, S., Kumar, A., Maccarinelli, G., Memo, M., y Mastinu, A. (2018). Cannabis sativa: A comprehensive ethnopharmacological review of a medicinal plant with a long history. Journal of Ethnopharmacology, 227, 300-315. https://doi.org/10.1016/j.jep.2018.09.004

Bornheim, L.M., y Grillo, M.P. (1998). Characterization of cytochrome P450 3A inactivation by cannabidiol-hydrozyquinone as a P450 inactivator. Chemical Research in Toxicology, 11, 1209–1216. https://doi.org/10.1021/tx9800598

Breuer, A., Haj, C.G., Fogaça, M.V., Gomes, F.V., Rodrigues Silva, N., Pedrazzi, J.F., Del Bel, E.A., Hallak, J.C., Crippa, J.A., Zuardi, A.W., Mechoulam, R., y Guimaraes, F.S. (2016). Fluorinated Cannabidiol Derivatives: Enhancement of Activity in Mice Models Predictive of Anxiolytic, Antidepressant and Antipsychotic Effects. Plos One, 11(7), 1-19. https://doi.org/10.1371/journal.pone.0158779

Burstein, S. (2015). Cannabidiol (CBD) and its analogs: a review of their effects on inflammation. Bioorganic & Medicinal Chemistry, 23, 1377–1385. https://doi.org/10.1016/j.bmc.2015.01.059

Carlini, E.A., Mechoulam, R., y Lander, N. (1975). Anticonvulsant activity of four oxygenated cannabidiol derivatives. Research Communications in Chemical Pathology and Pharmacology, 12, 1–15.

del Rio, C., Cantarero, I., Palomares, B., Gómez-Cañas, M., Fernández-Ruiz, J., Pavicic, C., García-Martín, A., Bellido, M.L., Ortega-Castro, R., Pérez-Sánchez, C., López-Pedrera, C., Appendino, G., Calzado, M.A., y Muñoz, E. (2018). VCE-004.3, a cannabidiol aminoquinone derivative, prevents bleomycin-induced skin fibrosis and inflammation through PPARγ- and CB 2 receptor-dependent pathways. British Journal of Pharmacology, 175, 3813 – 3831. https://doi.org/10.1111/bph.14450

Fanovich, M.A., Churio, M.S., y Ramirez, C.L. (2020). Medicinal cannabis: Pharmaceutical forms and recent analytical methodologies. En I. Ferrer y E.M. Thurman (Eds.), Comprehensive Analytical Chemistry (1-33). Elsevier.

Fasinu, P.S., Phillips, S., ElSohly, M.A., y Walker, L.A. (2016). Current status and prospects for cannabidiol preparations as new therapeutic agents. Pharmacotherapy, 36, 781–796. https://doi.org/10.1002/phar.1780

Fride, E., Ponde, D., Breuer, A., y Hanus, L. (2005). Peripheral, but not central effects of cannabidiol derivatives: mediation by CB1 and unidentified receptors, Neuropharmacology, 48, 1117–1129. https://doi.org/10.1016/j.neuropharm.2005.01.023

Haj, C.G., Sumariwalla, P.F., Hanuš, L., Kogan, N.M., Yektin, Z., Mechoulam, R., Feldmann, M., y Gallily, R. (2015). HU-444, a novel, potent anti-inflammatory, nonpsychotropic cannabinoid. Journal of Pharmacology and Experimental Therapeutics, 355, 66–75. https://doi.org/10.1124/jpet.115.226100

Hanus, L., Breuer, A., Tchilibon, S., Shiloah, S., Goldenberg, D., Horowitz, M., Pertwee, R.G., Ross, R.A., Mechoulam R., y Fride, E. (2016). Phytocannabinoids: a unified critical inventory. Natural Product Reports, 33, 1357–1392. https://doi.org/10.1073/pnas.96.25.14228

Hanus, L., Breuer, A., Tchilibon, S., Shiloah, S., Goldenberg, D., Horowitz, M., Pertwee, R.G., Ross, R.A., Mechoulam, R., y Fride, E. (1999). HU-308: a specific agonist for CB (2), a peripheral cannabinoid receptor. Proceedings of the National Academy of Sciences of the United States of America, 96, 14228–14233, https://doi.org/10.1073/pnas.96.25.14228

Hanus, L.O., Tchilibon, S., Ponde, D.E., Breuer, A., Frideb, E., y Mechoulam, R. (2005). Enantiomeric cannabidiol derivatives: synthesis and binding to cannabinoid receptors. Organic and Biomolecular Chemistry, 3, 1116–1123. https://doi.org/10.1039/b416943c

Jones, P.G., Falvello, L., Kennard, O., Sheldrick G.M., y Mechoulam, R. (1977). Cannabidiol. Acta Crystallographica, 33, 3211-3214. https://doi.org/10.1107/S0567740877010577

Juknat, A., Kozela, E., Kaushansky, N., Mechoulam, R., y Vogel, Z. (2016). Anti-inflammatory effects of the cannabidiol derivative dimethylheptylcannabidiol–studies in BV-2 microglia and encephalitogenic T cells. Journal of Basic and Clinical Physiology and Pharmacology, 27, 289–296. https://doi.org/10.1515/jbcpp-2015-0071

Jung, B., Lee, J.K., Kim, J., Kang, E.K., Han, S.Y., Lee, H.Y, y Choi, I.S. (2019). Synthetic Strategies for (-)-Cannabidiol and Its Structural Analogs. Chemistry: An Asian Journal, 14(21), 3749-3762. https://doi.org/10.1002/asia.201901179

Kinney, W.A., McDonnell, M.E., Zhong, H.M., Liu, C., Yang, L., Ling, W., Qian, T., Chen, Y., Cai, Z., Petkanas, D., y Brenneman, D.E. (2016). Discovery of KLS-13019, a cannabidiol-derived neuroprotective agent, with improved potency, safety, and permeability. ACS Medicinal Chemistry Letters, 7, 424–428. https://doi.org/10.1021/acsmedchemlett.6b00009

Kogan, N.M., Rabinowitz, R., Levi, P., Gibson, D., Sandor, P., Schlesinger, M., y Mechoulam, R. (2004). Synthesis and Antitumor Activity of Quinonoid Derivatives of Cannabinoids. Journal of Medicinal Chemistry, 47, 3800-3806. https://doi.org/10.1021/jm040042o

Kozela, E., Haj, C., Hanuš, L., Chourasia, M., Shurki, A., Juknat, A., Kaushansky, N., Mechoulam, R., y Vogel, Z. (2015). HU-446 and HU-465, derivatives of the non-psychoactive cannabinoid cannabidiol, decrease the activation of encephalitogenic T cells. Chemical Biology & Drug Design, 87, 143–153. https://doi.org/10.1111/cbdd.12637

Kratz, J.W., y García de Palau, M. (2018). Manual sobre cannabis medicinal. Kalapa Clinic.

Lago-Fernandez, A., Redondo, V., Hernandez-Folgado, L., Figuerola-Asencio, L., y Jagerovic, N. (2017). New Methods for the Synthesis of Cannabidiol Derivatives. En A.M. Pyle y D.W. Christianson (Eds.), Methods in Enzymology (237-257). Elsevier.

Leite, J.R., Carlini, E.A., Lander, N., y Mechoulam, R. (1982). Anticonvulsant effects of the (-) and (+) isomers of cannabidiol and their dimethylheptyl homologs. Pharmacology, 24, 141–146. https://doi.org/10.1159/000137588

Li, H., Liu, Y., Tian, D., Tian, L., Ju, X., Qi, L., Wang, Y., y Liang, C. (2020). Overview of cannabidiol (CBD) and its analogues: Structures, biological activities, and neuroprotective mechanisms in epilepsy and Alzheimer’s disease. European Journal of Medicinal Chemistry, 192. https://doi.org/10.1016/j.ejmech.2020.112163

Malingré, T., Hendriks, H., Batterman, S., Bos, R., y Visser, J. (1975). The essential oil of Cannabis sativa. Planta Medica, 28, 56-61. https://doi.org/10.1055/s-0028-1097829

Marzoratia, S., Friscioneb, D., Picchib, E., y Verotta, L. (2020). Cannabidiol from inflorescences of Cannabis sativa L.: Green extraction and purification processes. Industrial Crops and Products, 155. https://doi.org/10.1016/j.indcrop.2020.112816

Mascal, M., Hafezi, N., Wang, D., Hu, Y., Serra, G., Dallas, M.L., y Spencer, J.P.E. (2019). Synthetic, non-intoxicating 8,9-dihydrocannabidiol for the mitigation of seizures. Scientific Reports, 9, 7778. https://doi.org/10.1038/s41598-019-44056-y

Mechoulam R., y Shvo, Y. (1963). Hashish-I: The structure of Cannabidiol. Tetrahedron, 19, 2073-2078. https://doi.org/10.1016/0040-4020(63)85022-X

Mechoulam, R. (2008). Novel cannabidiol derivatives and their use as anti-Inflammatory agents. (WO Patent 2008/107879). https://patents.google.com/patent/WO2008107879A1/en

Mechoulam, R., Ben-Zvi, Z., y Gaoni, Y. (1968). Hashish-XIII: On the nature of the beam test. Tetrahedron, 24(16), 5615-5624. https://doi.org/10.1016/0040-4020(68)88159-1

Mechoulam, R., Feigenbaum, J.J., Lander, N., Segal, M., Järbe, T.U., Hiltunen, A.J., y Consroe, P. (1988). Enantiomeric cannabinoids: stereospecificity of psychotropic activity. Experientia, 44, 762–764. https://doi.org/10.1007/BF01959156

Mechoulam, R., Lander, N., University A., y Zahalka, J. (1990). Synthesis of the individual, pharmacologically distinct enantiomers of a tetrahydrocannabinol derivative. Tetrahedron: Asymmetry, 1, 315–318. https://doi.org/10.1016/S0957-4166(00)86322-3

Mechoulam, R., y Hanus, L. (2002). Cannabidiol: an overview of some chemical and pharmacological aspects. Part I: chemical aspects. Chemistry and Physics of Lipids, 121, 35-43. https://doi.org/10.1016/s0009-3084(02)00144-5

Messina, F., Rosati, O., Curini, M., y Marcotullio, C. (2015). Cannabis and Bioactive cannabinoids. En F.R.S. Atta-ur-Rahman (Ed.), Studies in Natural Products Chemistry (17-57). Elsevier.

Mitsubishi Tanabe Pharma Development America, Inc. (2020). Study to Evaluate Efficacy, Safety, and Tolerability of MT-7117. https://clinicaltrials.gov/ct2/show/NCT04440592.

Morales, P., Reggio P.H., y Jagerovic, N. (2017). An Overview on Medicinal Chemistry of Synthetic and Natural Derivatives of Cannabidiol. Frontiers in Pharmacology, 8, 422. https://doi.org/10.3389/fphar.2017.00422

Ofek, O., Karsak, M., Leclerc, N., Fogel, M., Frenkel, B., Wright, K., Tam, J., Attar-Namdar, M., Kram, V., Shohami, E., Mechoulam, R., Zimmer, A., y Bab, I. (2006). Peripheral cannabinoid receptor, CB2, regulates bone mass. Proceedings of the National Academy of Sciences of the United States of America, 103, 696–701. https://doi.org/10.1073/pnas.0504187103

Pertwee, R.G., Thomas, A., Stevenson, L.A., Maor, Y., y Mechoulam, R. (2005). Evidence that (-)-7-hydroxy-40-dimethylheptyl-cannabidiol activates a non-CB1, non-CB2, non-TRPV1 target in the mouse vas deferens. Neuropharmacology, 48, 1139–1146. https://doi.org/10.1016/j.neuropharm.2005.01.010

Pisanti, S., Malfitano, A.M., Ciaglia, E., Lamberti, A., Ranieri, R., Cuomo, G., Abate, M., Faggiana, G., Proto, M.C., Fiore, D., Laezza C., y Bifulco, M. (2017). Cannabidiol: State of the art and new challenges for therapeutic applications. Pharmacology & Therapeutics, 175, 133-150. https://doi.org/10.1016/j.pharmthera.2017.02.041

Rajesh, M., Mukhopadhyay, P., Bátkai, S., Haskó, G., Liaudet, L., Huffman, J.W., Csiszar, A., Ungvari, Z., Mackie, K., Chatterjee, S., y Pacher, P. (2007a). CB2-receptor stimulation attenuates TNF-alpha-induced human endothelial cell activation, transendothelial migration of monocytes, and monocyte-endothelial adhesion. The American Journal of Physiology-Heart and Circulatory Physiology, 293, H2210–H2218. https://doi.org/10.1152/ajpheart.00688.2007

Rajesh, M., Pan, H., Mukhopadhyay, P., Bátkai, S., Osei-Hyiaman, D., Haskó, G., Liaudet, L., Gao, B., y Pacher, P. (2007b). Cannabinoid-2 receptor agonist HU-308 protects against hepatic ischemia/reperfusion injury by attenuating oxidative stress, inflammatory response, and apoptosis. Journal of Leukocyte Biology, 82, 1382–1389. https://doi.org/10.1189/jlb.0307180

Rochfort, S., Isbel, A., Ezernieks, V., Elkins, A., Vincent, D., Deseo M.A., y Spangenberg, G.C. (2020). Utilisation of Desing Experiments Approach to Optimise Supercritical Fluid Extraction of Medicinal Cannabis. Scientific Reports, 100. https://doi.org/10.1038/s41598-020-66119-1

Romero-Zerbo, S.Y., García-Fernández, M., Espinosa-Jiménez, V., Pozo-Morales, M., Escamilla-Sánchez, A., Sánchez-Salido, L., Lara, E., Cobo-Vuilleumier, N., Rafacho, A., Olveira, G., Rojo-Martinez, G., Gauthier, B.R., González-Mariscal, I., y Bermúdez-Silva, F.J. (2020). The Atypical Cannabinoid Abn-CBD Reduces Inflammation and Protects Liver, Pancreas, and Adipose Tissue in a Mouse Model of Prediabetes and Non-alcoholic Fatty Liver Disease. Frontiers in Endocrinology, 11, 103. https://doi.org/10.3389/fendo.2020.00103

Silvaroli, J.A., Widjaja-Adhi, M.A.K., Trischman, T., Chelstowska, S., Horwitz, S., Banerjee, S., Kiser, P.D., Blaner, W.S., y Golczak, M. (2019). Abnormal Cannabidiol Modulates Vitamin A Metabolism by Acting as a Competitive Inhibitor of CRBP1. ACS Chemical Biology, 14, 434−448. https://doi.org/10.1021/acschembio.8b01070

Smoum, R., Baraghithy, S., Chourasia, M., Breuer, A., Mussai, N., Attar-Namdar, M., Kogan, N.M., Raphael, B., Bolognini, D., Cascio, M.G., Marini, P., Pertwee, R.G., Shurki, A., Mechoulam, R., y Bab, I. (2015). CB2 cannabinoid receptor agonist enantiomers HU-433 and HU-308: an inverse relationship between binding affinity and biological potency. Proceedings of the National Academy of Sciences of the United States of America, 112, 8774–8779. https://doi.org/10.1073/pnas.1503395112

Stinchcomb, A. (2009). Prodrugs of cannabidiol, compositions comprising prodrugs of cannabidiol, and methods of using the same. (US Patent 2009036523A1). https://patents.google.com/patent/US20090036523A1/en

Sumariwalla, P.F., Gallily, R., Tchilibon, S., Fride, E., Mechoulam, R., y Feldmann, M. (2004). A novel synthetic, nonpsychoactive cannabinoid acid (HU-320) with antiinflammatory properties in murine collagen-induced arthritis. Arthritis & Rheumatology, 50, 985–998. https://doi.org/10.1002/art.20050

Takeda, S., Hirota, R., Teradaira,S., Takeda-Imoto, M., Watanabe, K., Toda A., y Aramaki, H. (2015). Cannabidiol-2’,6’-dimethyl ether stimulates body weight gain in apolipoprotein E-deficient BALB/c, KOR/Stm Slc-Apoe(shl) mice. The Journal of Toxicological Sciences, 40, 739–743. https://doi.org/10.2131/jts.40.739

Takeda, S., Usami, N., Yamamoto, I., y Watanabe, K. (2009). Cannabidiol-2´,6´-dimethyl ether, a cannabidiol derivative, is a highly potent and selective 15-lipoxygenase inhibitor. Drug Metabolism and Disposition, 37, 1733–1737. https://doi.org/10.1124/dmd.109.026930

Tchilibon, S., y Mechoulam, R. (2000). Synthesis of a primary metabolite of cannabidiol. Organic Letters, 2, 3301–3303. https://doi.org/10.1021/ol006369a

Thomasa, A., Rossa, R.A., Sahab, B., Mahadevanb, A., Razdanb, R.K., y Pertweea, R.G. (2004). 6’’-Azidohex-2’’-yne-cannabidiol: a potential neutral, competitive cannabinoid CB1 receptor antagonist. European Journal of Pharmacology, 487, 213–221. https://doi.org/10.1016/j.ejphar.2004.01.023

Usami, N., Okuda, T., Yoshida, H., Kimura, T., Watanabe, K., Yoshimura, H., y Yamamoto, I. (1999). Synthesis and pharmacological evaluation in mice of halogenated cannabidiol derivatives. Chemical and Pharmaceutical Bulletin, 47(11), 1641-1645. https://doi.org/10.1248/cpb.47.1641

Vonga, C.T., Tsenga, H.H.L., Kwanb, Y.W., Leea, S.M., y Hoi, M.P.M. (2019). Novel protective effect of O-1602 and abnormal cannabidiol, GPR55 agonists, on ER stress-induced apoptosis in pancreatic β-cells. Biomedicine and Pharmacotherapy, 111, 1176–1186. https://doi.org/10.1016/j.biopha.2018.12.126



Recepción: 18/08/2022
Aceptación: 25/11/2022


Cómo citar: Musso, F. A. (2023, abril-junio). Diversidad y bioactividad de análogos semisintéticos de cannabidiol. Educación Química, 34(2). http://dx.doi.org/10.22201/fq.18708404e.2023.2.83239


[a] Instituto de Química del Sur, INQUISUR (CONICET-UNS), Departamento de Química, Universidad Nacional del Sur, Argentina. florencia.musso@uns.edu.ar