http://dx.doi.org/10.22201/fq.18708404e.2022.4.0.81520

Fundamentos y analogías para entender mejor la espectroscopía de RMN

Mariel Anahí García González[a], Ernesto Sánchez Mendoza[b], Noemí Herminia Waksman Minsky[a] y Alma L. Saucedo[a],[c]

Resumen

La Resonancia Magnética Nuclear (RMN) es una técnica espectroscópica utilizada en diversas áreas de las ciencias químicas, biológicas y de la salud. Es por ello, que la RMN forma parte esencial de la currícula de los programas educativos a nivel licenciatura en carreras afines a estas áreas. De acuerdo con nuestra experiencia docente, el primer abordaje de los estudiantes para aprender RMN se da a través de la lectura de bibliografía que comúnmente se encuentra en idioma inglés, por lo que hemos detectado dificultades iniciales, ya que además de la problemática asociada al dominio de la lengua extrajera, los estudiantes también tienen que lidiar con el entendimiento de conceptos de química, física cuántica y matemáticas. En este sentido, el objetivo de este artículo de divulgación es proporcionar un material didáctico que facilite a estudiantes y profesores la introducción a conceptos básicos de la teoría de RMN con ayuda de ejemplos y analogías. Este documento se recomienda como lectura previa a la impartición de la primera clase de fundamentos de RMN en los cursos de química orgánica, química analítica, química instrumental, y espectroscopía, entre otros.

Palabras clave:

Espectroscopía, resonancia magnética, espín nuclear, efecto Zeeman, transformada de Fourier, RMI.

Fundamentals and analogies to better understand NMR spectroscopy

Abstract

Nuclear Magnetic Resonance (NMR) is a spectroscopic technique widely applied in several areas of chemical, biological and health sciences. In related careers, NMR is an essential part of the curriculum in educational programs at the undergraduate level. According to our teaching experience, the first approach of students to learn NMR is through the reading of bibliography usually written in English. Hence, we have detected initial difficulties, because in addition to the problems associated with the domain of a foreign language, students also deal with the understanding of chemistry, quantum physics, and mathematics topics. In this sense, the objective of this article is to have available instructive material that supports students and teachers to review basic concepts of NMR theory with some examples and analogies. The reading activity of this text a priori to the first NMR class in organic chemistry, analytical chemistry, instrumental chemistry, and spectroscopy courses is recommended.

Keywords:

Spectroscopy, magnetic resonance, nuclear spin, Zeeman Effect, Fourier transform, IMR.




Introducción

La Resonancia Magnética Nuclear (RMN) es una herramienta espectroscópica poderosa y versátil es utilizada en diversas áreas de la química y en disciplinas relacionadas como la medicina o la ciencia de materiales, entre otras. Entre las principales aplicaciones que tiene la RMN en la investigación química, encontramos su aportación incomparable en la elucidación estructural de compuestos orgánicos de bajo peso molecular y de macromoléculas, esta importante información se obtiene a través de la interpretación de espectros de 1H y 13C, y multidimensionales (por ejemplo, en dos dimensiones: COSY, TOCSY, HSQC, etc.; en tres dimensiones: NOESY-HSQC, HNCA, etc.) (Breton & Reynolds, 2013). El estudio cinético de las reacciones químicas y la dinámica de las moléculas, son también un amplio campo de estudio en la RMN. Como herramienta de análisis cuantitativo, los métodos de RMN permiten la determinación precisa de la concentración del analito de interés, inclusive en matrices complejas. El análisis se basa en la cuantificación a partir de la integración de las señales del espectro de 1H o bien de 13C. Estas metodologías cumplen satisfactoriamente con los parámetros de validación usualmente indicados en guías internacionales como la International Council for Harmonisation of Technical Requirements for Pharmaceuticals for Human Use, ICH por sus siglas en inglés (ICH Guidelines, 1994), o como la guía de la European Federation of National Associations of Measurement, Testing and Analytical Laboratorios (Schönberger, Monakhova, & D.W. Lachenmeier, 2014), por lo que permiten la determinación precisa de la concentración del analito de interés, inclusive en matrices complejas, incrementado la aplicabilidad de las RMN como plataforma analítica. Recientemente, la identificación y detección múltiple de metabolitos orgánicos en matrices biológicas requeridas para llevar a cabo estudios de metabolómica se logran de manera robusta y reproducible mediante RMN. En consecuencia, a partir de un espectro de 1H es posible identificar la huella o perfil metabólico característico del sistema bajo estudio, y posteriormente es posible relacionarlo con los cambios en el flujo metabólico a nivel de células, tejidos, órganos, e inclusive, organismos completos (Zul-Hernández, Lucio-Gutiérrez, Waksman-Minsky, García-Ortiz, & Saucedo, 2022). Es por estas razones, entre muchas otras, que la espectroscopía de RMN forma parte esencial de la currícula de los programas educativos a nivel licenciatura en las carreras afines al área química. La RMN es usualmente estudiada como una sección de los cursos de química orgánica con la finalidad de aprender los conceptos básicos para llevar a cabo la elucidación estructural de moléculas (Wade, 2017). O bien, en los cursos de química analítica instrumental, en donde se realiza una revisión de las características de los componentes del equipo de RMN o de la infraestructura requerida para la obtención de los experimentos (Skoog, Holler, & Crouch, 2018). Así como en los cursos avanzados u optativos de los últimos semestres de las carreras de química en donde el objetivo es, principalmente, dirigir al estudiante a la elucidación estructural a partir del análisis conjunto de diversos métodos espectroscópicos (Silverstein, Webster, & Kiemle, 2005). Adicionalmente, es frecuente que dentro de los programas de estudios a nivel licenciatura de carreras como química farmacéutica, química de alimentos, química biológica, química industrial o química clínica, sea necesario que los estudiantes adquieran de forma rápida, en dos o tres sesiones de clase, nociones sobre los conceptos básicos de la teoría de la RMN y la generación de señales en los espectros. De acuerdo con nuestra experiencia, usualmente, el primer abordaje de los estudiantes para aprender sobre los temas básicos de la teoría de RMN se da a través de la explicación del docente durante la clase, o bien, mediante la lectura de bibliografía recomendada que comúnmente está en idioma inglés (Friebolin, 2010; Jacobsen, 2007). Y es precisamente en este punto, donde como docentes hemos encontrado dificultades iniciales, ya que además de la problemática asociada al dominio de una lengua extrajera, los estudiantes, usualmente también tienen que lidiar con el entendimiento de conceptos de química, física cuántica y matemáticas. En este sentido, consideramos idóneo que, para la introducción al tema, se tome como base referencias bibliográficas en nuestro idioma, facilitando así una mejor comprensión inicial de los conceptos teóricos de la RMN y que sirvan como puente para adentrarse posteriormente en los documentos en inglés. Lamentablemente, a la fecha son pocos los contenidos escritos en español que cubren con rigurosidad y de forma clara las bases de la RMN, y aunque existen traducciones muy bien logradas de libros de texto, es deseable contar con un material de clase adicional, accesible a los estudiantes que funcione como apoyo para adentrarse en el tema. Nuestro objetivo en este artículo de divulgación es generar un documento útil para la revisión de conceptos básicos de la teoría de RMN, que sirva de lectura previa a la impartición de la primera clase de fundamentos de RMN en los cursos de química orgánica, química analítica y de química instrumental, proporcionando en forma resumida y clara los conceptos básicos de la teoría de RMN.

La RMN como método espectroscópico

La espectroscopía es el estudio de la interacción entre la radiación electromagnética (REM) con la materia. En este sentido, la RMN es básicamente otra forma de espectroscopia similar a de la espectroscopia infrarroja, de ultravioleta o de rayos X. A diferencia de éstas, en las que explícitamente el nombre de la técnica espectroscópica se refiere a la región de la radiación del espectro electromagnético que es utilizada para la obtención de los espectros, las palabras “resonancia”, “magnética” y “nuclear”, no indican el tipo de REM que es empleada para la obtención de los espectros basados en RMN, y quizá hasta confundan un poco sobre el tipo de experimento del que se trata. Para entender mejor cada una de estas palabras en el contexto de la espectroscopía de RMN, tendremos que introducir algunos conceptos básicos de las propiedades del átomo y las partículas subatómicas, en particular del núcleo, así como también se deberán explicar las condiciones experimentales para hacer observable el fenómeno.

Las propiedades magnéticas del núcleo atómico

Un núcleo “activo en RMN” tiene la particularidad de “responder de alguna forma” a la presencia de un campo magnético externo (B0), este fenómeno se conoce como magnetización nuclear; para entender esto concepto es necesario revisar algunas propiedades nucleares que tiene su origen en la mecánica cuántica. A partir del modelo atómico de Bohr de 1911 aprendimos que el átomo (antes indivisible), está conformado por electrones con carga negativa y un núcleo central con carga positiva que está constituido por protones y neutrones, con excepción del átomo de hidrógeno (1H) que solo contiene en su núcleo un protón. También sabemos que cada electrón en un átomo tiene propiedades cuánticas que lo describen: el número cuántico principal, el momento angular, el momento magnético y el momento angular de espín. De igual manera, los protones y neutrones son también descritos por estas propiedades mecánico-cuánticas. Entre ellas, el momento angular total del núcleo que está intrínsecamente relacionado con el número cuántico de espín nuclear. Es importante resaltar que el espín nuclear (I) es una propiedad cuántica y debido a sus características tan particulares no puede ser explicado con una analogía de la física clásica, por lo que es conceptualmente erróneo asociarlo con un giro. El valor de I es único para cada uno de los isótopos del elemento de la tabla periódica y está determinado en gran parte por la cantidad de protones y neutrones que posee el núcleo. Para llevar acabo un experimento de RMN es indispensable que el núcleo atómico posea un valor de I ≠ 0. I puede tener valores enteros o fraccionarios como ½, 1, 3/2, etc., en estos casos, el movimiento de los protones y neutrones dentro del núcleo atómico genera una especie de circulación de la carga eléctrica produciendo un dipolo magnético. Esto sucede en el núcleo de átomos con número impar de protones o neutrones, como el 1H (Z=1, N=0) o el 13C (Z=6, N=7). Por otro lado, núcleos con número par de protones y neutrones tienen un número cuántico de espín igual a I = 0, como el 12C (Z= 6, N=6). La circulación de la carga en estos núcleos es homogénea por lo que no se genera ningún dipolo magnético y, en consecuencia, no son activos en RMN y por lo tanto pueden ser observados por esta técnica espectroscópica.

En la Figura 1, se muestra en una visualización de la tabla periódica, a aquellos elementos químicos y sus distintos isótopos que tienen número cuántico de espín nuclear diferente de cero. En un experimento de RMN, estos elementos serán la materia indispensable para realización de la interacción con la REM, aunque, como se explicará más adelante, es un requisito indispensable la presencia de un campo magnético externo para que pueda observarse esta interacción. Así entonces, la palabra “nuclear” en la RMN se refiere al núcleo atómico con I ≠ 0, que es la porción de la materia observable en el fenómeno de resonancia magnética.

Figura 1. Tabla Periódica de la RMN*. En esta versión de la tabla periódica se muestra con un código de color a los isótopos representativos de cada elemento químico que son “activos magnéticamente” y que, por lo tanto, son capaces de generar señales en el espectro de RMN. El código de color indica el número cuántico de espín (I) para cada isótopo. *Elaborada con la información disponible en http://triton.iqfr.csic.es/guide/eNMR/chem/NMRnuclei.html (acceso: 6-dic-21).

Por otra parte, al igual que las espectroscopias el UV-Vis o en el IR, en la RMN, la absorción de la REM involucra una transición de un estado energético basal a un estado excitado, con su posterior relajación. No obstante, el que un isótopo de un elemento químico tenga per se I ≠ 0 no es suficiente para generar una señal de RMN: para establecer las condiciones que permitan dar paso a una transición energética será necesario inducir previamente una “perturbación” en estos núcleos atómicos, de manera tal, que generen distintos estados energéticos. Esto se debe a que en ausencia de un campo magnético los estados energéticos del núcleo atómico (con I ≠ 0) están degenerados, es decir, tienen la misma energía. Sin embargo, en presencia de un campo se producen diferencias energéticas. Para entenderlo mejor, otra vez necesitaremos revisar algunos conceptos.

La magnitud intrínseca del dipolo magnético del núcleo con I ≠ 0 se expresa a través del momento magnético nuclear, µ. Por otra parte, de acuerdo con las teorías derivadas de la mecánica cuántica, el número magnético de spin (m) define el número de orientaciones que un núcleo atómico con I ≠ 0 podría generar de acuerdo con la fórmula:

m= 2I+1, y en donde m tomará valores de -I a I.

Por ejemplo: si I = ½, entonces m tendrá 2 orientaciones con valores de ±½, es decir m= -½ y m =+ ½.; si I = 1, entonces m tendrá 3 orientaciones con valores de –1, 0 y 1, es decir m= -1, m= 0 y m= 1.

Para generar estas orientaciones o estados energéticos, es necesario que los átomos sean sometidos a la presencia de un campo magnético. De hecho, este “desdoblamiento” de estados energéticos está en estrecha similitud con el efecto Zeeman generado por transiciones electrónicas, y observado, por ejemplo, en las líneas de emisión del sodio por efecto de un campo magnético, como se observa en la Figura 2A. Mientras que en la Figura 2B, se presenta un esquema de energía vs B0, donde muestra el desdoblamiento de los estados energéticos para núcleos con I = ½, como puede observarse, entre mayor es la fuerza de B0 mayor es la diferencia entre estos estados, esta perturbación ocasionada por B0 es fundamental para establecer un nuevo estado de equilibrio de los núcleos y es imprescindible para comenzar a realizar cualquier experimento de RMN. En los espectrómetros de RMN actuales el campo magnético es constante (B0) y los instrumentos comercialmente disponibles van desde un B0 de 1.4 a 28.2 tesla (unidades de campo magnético en el Sistema Internacional, T).

Figura 2. Desdoblamiento de estados energéticos por efecto de un campo magnético. A. Evidencia experimental del efecto Zeeman de las transiciones electrónicas en la línea P del sodio por efecto del campo magnético (B0)*. B. Representación esquemática de los estados energéticos en ausencia y en presencia de campo magnético (B0) en espines nucleares magnéticamente activos (con I = ½) durante un experimento de RMN. *La figura fue editada a partir de la original (Jackson, Kuhn, & Lindemann, 1938).

De esta manera se explica que la RMN es una técnica espectroscópica que se fundamenta en las propiedades magnéticas de los núcleos atómicos, en la que es indispensable la presencia de un campo magnético de varios teslas de magnitud para generar estados discretos de energía. Entonces, la palabra “magnética” de la RMN hace referencia a las propiedades magnéticas del núcleo (producidas por el espín nuclear) y a la necesidad instrumental de contar con un campo magnético intenso para generar los distintos estados energéticos, ya que ambas son fundamentales para generar el fenómeno.

Así, átomos como los de 1H, 13C, 15N, 31P (todos ellos con I = ½ y m= ±½), se comportarán como si el núcleo fuera un pequeño imán: si un conjunto de estos núcleos es colocado dentro de un campo magnético, éstos intentaran alinearse con él, de forma análoga a la aguja en una brújula que intenta alinearse con el campo magnético de la Tierra. Aun en campos magnéticos muy intensos, la diferencia energética entre los estados es muy pequeña y por consiguiente ambos estados energéticos se encuentran poblados (Figura 2B), aunque, existe un pequeño exceso de núcleos en el estado de mínima energía. Esta distribución de poblaciones en la condición de equilibrio que presenta tan solo un ligero exceso de espines nucleares en el estado de menor energía será responsable de generar la señal o señales en el espectro. Es por esta razón que la RMN es una técnica poco sensible comparada con el UV-Vis o la absorción atómica, ya que la respuesta de la absorción de la REM es generada por un número relativamente bajo de núcleos.

Hasta aquí hemos descrito las condiciones necesarias para dar paso al fenómeno de RMN, pero aún nos falta explicar qué tipo de REM será utilizada para producir la absorción y la señal de RMN, esto lo revisaremos en las siguientes secciones.

Las ondas de radio o radiofrecuencias

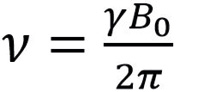
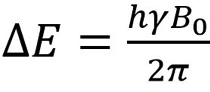
Como se mencionó previamente, en la ausencia de un campo magnético externo y en equilibrio térmico los dos estados cuánticos tienen la misma energía por lo que no es posible observar transiciones entre ellos. Pero cuando se aplica un campo magnético externo se establecen estados cuantizados, es decir, los dos estados posibles para espines ½ tienen un valor discreto de energía por lo que hay una separación o brecha de energía entre ellos. El estado de menor energía corresponde a los espines nucleares que se encuentran alineados con el campo magnético, mientras que el en estado de mayor energía los espines nucleares se encuentran en contra del campo magnético. La diferencia de energía entre estos dos estados (∆E) es directamente proporcional a la fuerza del campo magnético externo aplicado, por lo que, la ∆E aumenta a medida que se incrementa la fuerza de éste, dicha diferencia de energía entre los núcleos es proporcional a la energía de la radiación electromagnética necesaria para generar el fenómeno de la RMN. La energía necesaria para que pueda realizarse la transición de que un núcleo, pasando de un nivel de menor energía a uno de mayor energía es específica para cada tipo de isótopo, y es descrita por la ecuación:

(1)

Donde h es la constante de Planck, γ es la “fuerza del imán nuclear” o propiamente dicho, la constante giromagnética (una propiedad intrínseca de la materia y característica para cada núcleo atómico con I ≠ 0), finalmente, B0 corresponde a la fuerza del campo magnético externo. Experimentalmente, sin importar el tipo de núcleo y la intensidad del campo magnético (aún con los espectrómetros más potentes que existen actualmente), la ΔE oscila en el intervalo de energía de la región del espectro electromagnético que correspondiente a las ondas de radio (también llamada región de radiofrecuencia). Así, a partir de la relación de entre la energía y la frecuencia (ν), se establece que:

ΔE = hν

(2)

De modo que con la sustitución de las ecuaciones 1 en la 2 se obtiene que:

(3)

La ecuación 3, también llamada ecuación de Larmor, representa la condición “de resonancia” en la que será observa la transición de los estados energéticos e indica la frecuencia a la que se producirá el fenómeno de absorción que generará la excitación de los núcleos y que al relajarse producen a través de un detector, la señal en el espectro de RMN. Aquí resulta importante resaltar la relación directa que existe entre la frecuencia de resonancia y el campo magnético aplicado, y permite entender la razón por la cual se emplea la frecuencia de resonancia del núcleo de 1H para indicar la intensidad del campo magnético de los espectrómetros de RMN.

En un espectrómetro de RMN es posible realizar la detección de las señales generadas por los átomos del 1H y 2H (deuterio), y dependiendo de la configuración instrumental también de otros heteronúcleos (en RMN se llama heteronúcleos a todos aquellos núcleos detectados que no son hidrógeno), por ejemplo: 13C, 15N, 19F o 31P. Para cada tipo de núcleo la frecuencia de resonancia (ver la ecuación 3) es característica a consecuencia del valor que tiene la constante γ y del campo magnético al que fue expuesto; las señales observadas al obtener el espectro de RMN se distribuyen en un intervalo muy estrecho, de tal manera que en la mayoría de los casos no hay “interferencia” de un núcleo con otro.

Figura 3. Sintonización de núcleos en un espectrómetro de RMN de 500 MHz. De forma similar a cuando sintonizamos una estación de radio específica en el espectro radiofónico, cuando núcleos con I ≠ 0 son colocados en un campo magnético fuerte y absorben energía de radiofrecuencias, la frecuencia de detección es característica para cada núcleo. Para un mismo tipo de átomo, leves variaciones en la frecuencia (asociadas con el ambiente químico que lo rodea) brindarán a los espectroscopistas información detallada acerca de la estructura molecular en la que el átomo se encuentra.

En la Figura 3, se muestra una analogía de la sintonización de núcleos en el espectrómetro de RMN con distintas frecuencias de resonancia. Cuando en un radio sintonizamos nuestra estación favorita, por ejemplo, en 94.5 MHz de FM, no escuchamos interferencias de las señales de radio de la estación que emite a 106.5 MHz de FM, pero sí podría darse el caso de escuchar simultáneamente dos estaciones si alguna emisora transmitiera señales de radio en 94 o 95 MHz, ya que las estaciones de radio transmiten en un intervalo de frecuencia. Afortunadamente, los átomos magnéticamente activos tienen frecuencias de absorción lo suficientemente diferentes como para que no exista posibilidad alguna de que haya interferencias entre ellos. De modo que una vez seleccionada la “ventana” de observación, por ejemplo, en la región de frecuencias de las señales de los átomos de 1H, las únicas señales que se observarán en el espectro de RMN corresponderán únicamente a los átomos de hidrógeno presentes en las moléculas irradiadas.

La condición de “resonancia”

El campo magnético externo que es aplicado sobre el núcleo (con I ≠ 0) ejerce una fuerza que lo afecta resultando en un movimiento circular llamado precesión. La precesión nuclear se puede ejemplificar como si fuese el movimiento que hace un trompo que después de ser lanzado poco a poco alcanza la vertical y se encuentra girando sobre su propio eje, como se muestra en la Figura 4A.

Figura 4. Representación del movimiento de precesión durante la relajación de la señal en el experimento de RMN utilizando como analogía el movimiento de un trompo. A. El campo magnético externo que es aplicado sobre los núcleos (con I ≠ 0) ejerce una fuerza que los afecta resultando en un movimiento circular llamado precesión y los orienta en una dirección, por convención el eje z. B. Cuando los núcleos son irradiados con REM de la región de las ondas de radio éstos absorben energía, en este esquema el estado excitado se ejemplifica como un cambio de posición del campo magnético de los núcleos por lo que ahora se orientan en dirección del eje y. C. La detección de la señal de RMN se realiza cuando los núcleos regresan al estado de equilibrio al precesar, como lo hace un trompo, alrededor del eje z y así alcanzar la posición original, es decir, el estado de equilibrio.

En los espectrómetros modernos, el campo magnético se mantiene constante y la irradiación de los núcleos magnéticamente activos con un pulso de radiofrecuencias de la misma magnitud que la frecuencia de precesión, provocará que los átomos con espines nucleares sean excitados y salgan del equilibrio y pasen a un estado de mayor energía. En la analogía del trompo, sería como provocar una rotación de la posición del giro en un ángulo de 90 °, Figura 4B. Por otro lado, en caso de los núcleos excitados, para regresar a la condición de equilibrio o estado basal, se generará una respuesta oscilatoria en forma de onda electromagnética cuya frecuencia de precesión estará modulada por las variables involucradas en la ecuación 3 y por otras más particulares relacionadas con la estructura molecular o ambiente químico que rodea a cada átomo. En el caso del trompo, se ejemplifica con el regreso a la posición vertical precisamente con un movimiento de precesión, como se muestra en la Figura 4C. El comportamiento ondulatorio producido durante la relajación de la señal rememora a las ondas acústicas que se producen en un instrumento musical y a la resonancia sonora que éste tiene cuando empieza a vibrar, de esta manera se explica el uso de la palabra “resonancia” en el contexto de la RMN y su asociación con la frecuencia de precesión. El modelo matemático que se utiliza para explicar estos conceptos se le conoce como “modelo vectorial” y está basado en el desarrollo teórico desarrollado por Felix Block en los albores de la RMN (Waksman Minsky & Saucedo Yáñez, 2019). Para aquellos estudiantes que deseen revisar con mayor profundidad este tema se sugiere que consulten la siguiente referencia: (Friebolin, 2010).

Las señales en el espectro de RMN

La frecuencia de resonancia es una característica del tipo de núcleo, sin embargo, un mismo tipo de núcleo puede tener pequeñas diferencias en sus frecuencias dependiendo de la posición en la que se encuentre el átomo dentro de la molécula, es decir, debido al “entorno químico” en el que reside el átomo. Esto se debe a que los núcleos atómicos están rodeados por electrones los cuales poseen una carga eléctrica por lo que al mismo tiempo que generan su propio campo magnético, que, aunque es pequeño con respecto al campo magnético del espectrómetro, es suficiente para modificar el entorno magnético “que siente” el núcleo en sus proximidades, esta característica es la que nos permite, por ejemplo, diferenciar a los hidrógenos aromáticos, de los alifáticos u olefínicos. Cuando los núcleos regresan al estado de equilibrio, es decir se relajan, en el receptor del espectrómetro se detecta una señal de decaimiento (que originalmente se denominó como decaimiento libre de inducción magnética o FID por sus siglas en inglés, por la forma en la que se generaban los espectros en los primeros equipos de RMN). Durante el registro del FID se detectan de forma simultánea las señales de resonancia de los núcleos que se están relajando. Es decir, la señal del FID contiene información de las diferentes frecuencias de resonancia de cada núcleo, que para un mismo tipo de átomo son modificadas por los distintos entornos químicos presentes en la molécula. Aunque la señal FID contiene toda la información de las frecuencias de resonancia de los distintos núcleos presentes, la interpretación del FID no es directa. La señal del FID deberá ser procesada con un tratamiento matemático basado en una Transformada de Fourier (TF) para convertir la señal registrada en el dominio del tiempo a un gráfico de frecuencias. En este gráfico de frecuencias observaremos las señales agudas con los patrones característicos del espectro de RMN (Keeler, 2010). De hecho, la TF aplicada al FID convierte cada señal de relajación monitoreada a lo largo de un tiempo (segundos, s) a una señal (o pico) expresada en unidades de frecuencia (hertzios, Hz o 1/s), como se muestra en la figura 5A.

Para entender con una analogía como la Transformada de Fourier permite “aislar” las señales de frecuencia de RMN, podemos suponer que los diferentes núcleos de una molécula son distintos instrumentos musicales que integran a una orquesta sinfónica. Durante un concierto, con toda la orquesta tocando al mismo tiempo, cada uno de los instrumentos musicales emite sonidos con diferentes frecuencias de resonancia (tonos) y nuestro oído lo que detecta es el sonido acumulado en conjunto, de forma simultánea, como un “FID sonoro”. Sin embargo, con un poco de esfuerzo auditivo, podemos ser capaces de distinguir los sonidos individuales generados por el violín, el piano, la trompeta, etc; en esta acción nuestro oído y cerebro hacen algo semejante a lo que realiza la Transformada de Fourier ya que somos capaces de diferenciar y reconocer el sonido emitido por cada instrumento al escuchar su tono, es decir, al identificar su frecuencia de resonancia característica y posteriormente “transformar” el sonido a la imagen del instrumento, este ejemplo se ilustra en la Figura 5B.

Figura 5. Analogía del procesamiento de la señal de RMN. A. Esquema que representa la conversión de la señal de decaimiento libre de la inducción magnética (FID) a través de la aplicación la Transformada de Fourier, para generar el espectro de resonancia magnética nuclear. B. Durante la ejecución de una obra por la orquesta sinfónica* cada uno de los instrumentos genera música con distintas frecuencias, lo que nuestro oído escucha en la combinación sonora de cada uno de ellos. Para identificar el sonido de un instrumento en particular, como el violín, el piano o la trompeta, el oído es capaz de reconocer al instrumento al identificar su tono o frecuencia de resonancia característica. Al hacerlo nuestro oído “aisla” la frecuencia de resonancia de ese instrumento en particular y en nuestro cerebro el sonido lo podemos “transformar” y asociar a la imagen del instrumento. *Fotografía tomada del sitio web https://www.marco.org.mx/concierto-de-clasicos-a-clasicos (Mayo 2019) con autorización del Museo de Arte Contemporáneo de Monterrey (https://www.marco.org.mx/).

Conclusión

La RMN es una herramienta analítica indispensable que está integrada como contenido de aprendizaje en la currícula de diversas carreras del área química. En este trabajo hemos hecho una revisión didáctica para explicar de forma introductoria los conceptos básicos de la teoría de la RMN, con la ambiciosa certeza de que será de utilidad a los estudiantes. La intención deriva de la necesidad docente de que los estudiantes tengan a su disposición un material bibliográfico que les sirva como guía para introducirse inicialmente en el tema. El entendimiento de los conceptos básicos del fenómeno y la obtención de los espectros RMN les permitirá tener claridad para profundizar más adelante sobre el alcance y aplicabilidad de esta técnica, que, aunque pudo haber sido llamada espectroscopía de ondas de radio, sin duda es un nombre que quedaría muy corto para reflejar el fondo teórico, el alcance multidisciplinario y la versatilidad de la espectroscopía de Resonancia Magnética Nuclear.

Referencias

Breton, R. C., & Reynolds, W. F. (2013). Using NMR to identify and characterize natural products. Natural Product Reports, 30(4), 501–524. https://doi.org/10.1039/c2np20104f

Friebolin, H. (2010). Basic One- and Two-Dimensional NMR Spectroscopy (5th Ed). WILEY‐VCH.

ICH Guidelines. (1994). Validation of Analytical Procedures: Text and Methodology Q2(R1). Retrieved January 20, 2020, from https://database.ich.org/sites/default/files/Q2_R1__Guideline.pdf

Jackson, D. A., Kuhn, H., & Lindemann, F. A. (1938). The hyperfine structure of the Zeeman components of the resonance lines of sodium. Proceedings of the Royal Society of London. Series A. Mathematical and Physical Sciences, 167(929), 205–216. https://doi.org/10.1098/rspa.1938.0127

Jacobsen, N. E. (2007). Fundamentals of NMR Spectroscopy in Liquids. In NMR Spectroscopy Explained (First Ed, pp. 1–154). John Wiley & Sons, Ltd. https://doi.org/https://doi.org/10.1002/9780470173350.ch2

Keeler, J. (2010). Chapter 5. Fourier transformation and data processing. In Understanding NMR Spectroscopy (2nd ed., p. 528). Sussex, UK: Jonhn Wiley & Sons, Ltd.

Schönberger, T., Monakhova, Y. B., & D.W. Lachenmeier, T. K. (2014). EUROLAB Technical Report 1/2014 “Guide to NMR Method Development and Validation – Part 1: Identification and Quantification.” Eurolab. Retrieved from http://www.eurolab.org/documents/EUROLAB Technical Report NMR Method Development and Validation May 2014_final.pdf

Silverstein, R. M., Webster, F. X., & Kiemle, D. J. (2005). Spectrometric identification of organic compounds. (N. Hoboken, Ed.) (6th Ed). John Wiley & Sons.

Skoog, D. A., Holler, F. J., & Crouch, S. R. (2018). Capítulo Diecinueve. Espectroscopía de resonancia magnética nuclear. In Principios de Análisis Instrumental (Séptima, p. 443). Ciudad de México: CENGAGE.

Wade, L. G. (2017). Capítulo 13. Espectroscopía de resonancia magnética nuclear. In Química Orgánica Volumen 1 (Novena, p. 800). Ciudad de México: Pearson Educación de México, S.A. de C.V.

Waksman Minsky, N., & Saucedo Yáñez, A. (2019). Breve historia de la Resonancia Magnética Nuclear: desde el descubrimiento hasta la aplicación en imagenología. Educación Química, 30(2), 129–139. https://doi.org/10.22201/FQ.18708404E.2019.2.68418

Zul-Hernández, E. A., Lucio-Gutiérrez, J. R., Waksman-Minsky, N., García-Ortiz, I., & Saucedo, A. L. (2022). Capítulo 8. La RMN en el estudio del metaboloma humano: Definiciones y aspectos prácticos. In Una aproximación a la Resonancia Magnética Nuclear (pp. 132–150). Universidad Tecnológica de la Mixteca. https://doi.org/10.48043/UTM



Recepción: 05/01/22
Aceptación: 13/08/22



Cómo citar:

García González, M. A., Sánchez Mendonza, E., Waksman Minsky, N. H. y Saucedo, A. (2022, octubre-diciembre). Fundamentos y analogías para entender mejor la espectroscopía de RMN. Educación Química, 33(4). http://dx.doi.org/10.22201/fq.18708404e.2022.4.0.81520.


[a] Universidad Autónoma de Nuevo León, Facultad de Medicina, Departamento de Química Analítica, México.

[b] Universidad Autónoma Metropolitana Unidad Xochimilco, México.

[c] Consejo Nacional de Ciencia y Tecnología, México.