http://dx.doi.org/10.22201/fq.18708404e.2022.1.78917

Efecto del método de proyectos sobre el aprendizaje de química industrial

Mónica Ramos-Escudero,[a] Rafaela Teodosia Huerta Camones[b], Fernando Ramos-Escudero[c] y Celso Gonzáles Chavesta[d]

Resumen

El objetivo de este estudio fue determinar el efecto del método de proyectos en el aprendizaje de química industrial en estudiantes del cuarto semestre de Ingeniería Industrial de una universidad privada, situada en la ciudad de Lima, Perú. Los temas abordados a través de esta metodología fueron: Normas de seguridad de laboratorios, materiales, reactivos y equipos de laboratorio, densidad de líquidos y sólidos, fenómenos físicos y/o químicos, métodos de separación de mezclas y medición del pH y grados Brix. El enfoque de investigación fue cuantitativo de diseño cuasiexperimental con pretest y postest en un grupo experimental y otro de control. Los resultados mostraron que la implementación del método de proyectos influye significativamente en el aprendizaje del grupo experimental.

Palabras clave:

Perú, aprendizaje, química industrial, método de proyectos, ingeniería industrial.

Effect of the method of projects on the Learning of Industrial Chemistry

Abstract

The aim of this study was to determine the effect of the project method in the learning of industrial chemistry in students of the fourth semester of Industrial Engineering of a private university, located in the city of Lima, Peru. The topics addressed through this methodology were: laboratory safety standards, materials, reagents and laboratory equipment, density of liquids and solids, physical and/or chemical phenomena, methods of separation of mixtures and measurement of pH and Brix degrees. The research approach was a quantitative quasi-experimental design with pretest and posttest in an experimental and a control group. The results showed that the implementation of the project method significantly influenced learning in the experimental group.

Keywords:

Peru; learning, industrial chemistry, project method, industrial engineering.




Introducción

La asignatura de Química Industrial es de naturaleza teórica y práctica, cuyo propósito es brindar al estudiante los conocimientos básicos de la ciencia y tecnología química a fin de contribuir al desarrollo de su capacidad profesional idónea en la gestión de la Industria Química. Sin embargo, la enseñanza tradicional, vertical y unidireccional de la química ha llevado a un aislamiento de docentes y estudiantes y a una comprensión inadecuada de la materia (Ordaz y Mostue, 2018), debido a que se ha basado sólo en la reproducción de los contenidos dados por el docente, lo cual influye en los bajos niveles de motivación, desarrollo del pensamiento crítico, capacidad para conectar los conceptos con las aplicaciones prácticas y el trabajo colaborativo de los estudiantes. Por tal motivo, en esta investigación se plantea aplicar el método de proyectos en el aprendizaje de Química Industrial en los estudiantes del cuarto semestre de Ingeniería Industrial de una universidad privada peruana.

En este sentido, el estudio de la química, coadyuva al desarrollo integral de la persona ya que favorece el desarrollo de actitudes de gran valor en la sociedad actual como el hecho de argumentar, razonar, comprobar, discutir, interpretar, formular, entre otros, además de facilitar la comprensión de fenómenos físicos y químicos de la vida real y profesional (Fernández y Moreno, 2008), así como también ayuda a interpretar de forma lógica y racional la realidad de los hechos y la promoción de actitudes críticas frente a hechos cotidianos. Por lo tanto, es imprescindible contar con estrategias de enseñanza que promuevan la motivación y el interés del estudiante, haciéndole hincapié la importancia del estudio de la química en nuestra sociedad. Para lo cual el docente debe desarrollar metodologías activas que permitan al estudiante involucrarse e interesarse cada vez más por las ciencias experimentales.

La literatura por indagación da cuenta que la enseñanza de la química requiere de la aplicación de métodos activos que permitan que los estudiantes aprendan de manera efectiva la experimentación por medio de actividades investigativas, como un componente práctico del aprendizaje (Sandoval, Mandolesi y Cura, 2013). En este sentido, Reyes y Padilla (2012) afirman que la indagación y la enseñanza de las ciencias se centra en el constructivismo haciendo uso del trabajo colaborativo y enfatizando el papel del estudiante como sujeto activo y responsable de su aprendizaje. Uno de estos métodos activos es el aprendizaje basado en proyectos, el cual es una herramienta indispensable para enseñar química, aprender y construir conocimientos complejos y en general las ciencias naturales, pues provoca que los estudiantes trabajen en grupos con un claro sentido de propósito (Prieto, Díaz y Santiago, 2014). Esta metodología permite ejercitar y entrenar en una serie de competencias que serán muy importantes para el empleo en la sociedad del conocimiento. Los estudiantes aprenden a aprender con autonomía, a crear soluciones, a diseñarlas e implementarlas. Estas son competencias que les serán de gran utilidad en su futuro.

Asimismo, la literatura advierte que el proyecto es una actividad previamente determinada cuya intención dominante es una finalidad real que oriente los procedimientos y les confiera una motivación; su función es hacer activo e interesante el aprendizaje de los conocimientos y habilidades necesarios para la vida (Ferrándiz, 2004); su función es hacer activo e interesante el aprendizaje de los conocimientos y habilidades necesarios para la vida; asimismo está diseñado para que el estudiante esté comprometido activamente con la resolución de las tareas (Martí, Heydrich, Rojas, y Hernández, 2010).

Por su parte, Matos, Arias y Caraballo (2015) afirman que, el aprendizaje por proyectos permite enriquecer el desempeño de los estudiantes en la competencia de resolución de problemas, independientemente del tipo de mediación que emplee el docente. De igual forma, este tipo de aprendizaje promueve el trabajo colaborativo y cooperativo, el apoyo mutuo entre los participantes del equipo, la interdependencia positiva, la interacción social y la responsabilidad individual que genera cada estudiante.

Vilá, Rubio y Berlanga (2014) enfatizan que con este método los estudiantes asumen un rol protagónico, autonomía y mayor responsabilidad de su propio aprendizaje, así como la aplicación de los conocimientos teóricos en proyectos reales, las habilidades y conocimientos adquiridos en su formación académica. Es un aprendizaje orientado a la acción, en el que el profesor no integra la fuente fundamental de acceso a la información. El propio estudiante es el que busca, indaga y selecciona las fuentes informativas, valora opciones y toma decisiones, tanto a nivel individual como en equipo. Con la aplicación de este método, se torna de gran relevancia el trabajo colaborativo, pues el producto final es fruto de las aportaciones de cada uno de los miembros del equipo.

La presente investigación responde a la necesidad actual de ayudar a mejorar el aprendizaje de los estudiantes del cuarto semestre de la Escuela Profesional de Ingeniería Industrial de una universidad privada peruana, dicha Unidad Académica es la encargada de la formación profesional de nuevos ingenieros industriales de alto nivel científico y tecnológico, con sólidos valores humanísticos, éticos y morales, que utilizan de manera racional y óptima los recursos de organizaciones empresariales de todo tipo con la finalidad de obtener bienes y servicios competitivos. Con la implementación del método de proyectos el estudiante planea, ejecuta, produce y evalúa proyectos académicos y tecnológicos que tienen aplicación práctica en la vida real y profesional. Este método de aprendizaje posibilita mejorar el desempeño educativo de los estudiantes de Ingeniería Industrial; por ser una alternativa para abordar los proyectos de laboratorio de manera heurística, integral y holística, y una oportunidad para enriquecer los conocimientos teóricos, y vivenciar activamente por medio de la experimentación desde la definición de los proyectos hasta la sustentación del producto final.

El objetivo principal de esta investigación fue determinar el efecto de la implementación del método de proyectos en el aprendizaje de Química Industrial en los estudiantes del cuarto semestre de Ingeniería Industrial de una universidad privada peruana. En este sentido, se parte de la hipótesis general de que la implementación del método de proyectos mejora el aprendizaje de Química Industrial en los estudiantes del grupo experimental con respecto a los estudiantes del grupo control que cursan la asignatura con el método tradicional de enseñanza (uso de manual de laboratorio).

Metodología

Diseño

Se llevó a cabo un diseño de investigación cuasi experimental porque analiza el efecto creado por la acción de una variable independiente sobre una dependiente, el cual constató de dos grupos: un grupo control y un grupo experimental (Tabla 1). En este caso, la variable independiente método de proyectos sobre la variable dependiente aprendizaje de química industrial. Los diseños cuasi-experimentales también manipulan deliberadamente, al menos una variable independiente para observar su efecto y relación con una o más variables dependientes, solo que difieren de los experimentos “puros” en el grado de seguridad y confiabilidad que puede tener en la equivalencia inicial de los grupos (Hernández, Fernández y Baptista, 2010).

Tabla 1. Diseño de investigación.

Grupo

Pretest

Programa

Postest

Grupo Experimental

01

X

02

Grupo Control

03

04

GE: O1 X O2

GC: O3 -O4

Dónde:

Grupo experimental (GE): conformado por 20 estudiantes (varones y mujeres)

Grupo de Control (GC): conformado por 20 estudiantes (varones y mujeres)

01 : Pretest al grupo experimental

02 : Postest al grupo experimental

03 : Pretest al grupo de control

04 : Postest al grupo de control.

X : Aplicación del programa

- : No se aplica el experimento

Participantes

La implementación de la metodología se realizó con estudiantes del cuarto semestre en la asignatura de química industrial de la carrera profesional de Ingeniería industrial; comprendió 40 estudiantes, de los cuales 20 estudiantes conformaron el grupo experimental y 20 estudiantes el grupo control. Los estudiantes fueron de dos turnos distintos desde el inicio (Mañana y tarde) donde a uno se le aplicó la nueva metodología y al otro no. Ambos grupos cursaron la misma asignatura, Química Industrial, cada grupo estuvo a cargo de la misma docente investigadora quien personalmente aplicó la propuesta al grupo experimental, y también fue docente del grupo control en donde no se aplicó la experimentación.

Instrumento

Se utilizó la prueba de conocimientos como pretest (prueba objetiva de selección múltiple) y el post test (prueba objetiva de selección múltiple). Dicha prueba constó de 50 ítems que abarcan los temas de Normas de seguridad de Laboratorios (1-10), Materiales, reactivos y equipos de Laboratorio (11-16), Densidad de líquidos y sólidos (17-23), Fenómenos físicos y/o químicos (24-31), Métodos de separación de mezclas (32-43), Medición del pH y grados Brix (44-50), con 4 alternativas de respuesta de opción múltiple, el cual fue aplicado a los alumnos seleccionados tanto en el grupo experimental como en el grupo control. Tal como se observa en la tabla 2, se presentan algunos ítems del instrumento de investigación.

Tabla 2. Algunos ítems de los temas de investigación.

Temas

Ítems

Normas de Seguridad de Laboratorios

  • ¿Cuál es la forma correcta de trabajar con las sustancias volátiles?
  • ¿Qué debes hacer con los residuos de las sustancias químicas al terminar un experimento?

Materiales, reactivos y equipos de Laboratorio

  • Indicar el nombre de los siguientes instrumentos de laboratorio.
  • Señale el significado de los siguientes pictogramas de peligro.

Densidad de líquidos y sólidos

  • Un grupo de estudiantes realizó un estudio sobre la densidad de líquidos y sólidos a nivel experimental ¿Cómo determinaron el volumen de los sólidos irregulares?
  • Se tiene un trozo de metal que para saber si es de plata pura primero se pesa obteniendo una masa de 0.425 Kg, después se sumerge en una probeta que tiene agua. Al sumergir el trozo del metal en la probeta el nivel del agua cambia de 0.05 L a 0.09 L ¿Cuál es la densidad en g/mililitros del metal?

Fenómenos físicos y/o químicos

  • ¿Cuál de los siguientes fenómenos corresponde a un cambio físico?
  • ¿Cuál de los siguientes fenómenos corresponde a un cambio químico?

Métodos de separación de mezclas

  • ¿Cómo se llaman las sustancias que a simple vista se observan que están formadas por dos o más sustancias?
  • Un grupo de estudiantes tiene 5 Kg de cáscaras de naranja ¿Cuál es el método más apropiado para obtener aceite esencial a partir de estos residuos?

Medición del pH y grados Brix

  • ¿Cuál es la escala del pH?
  • ¿Qué aparato utilizarías para realizar mediciones de pH más precisas?

Procedimiento

El método de proyectos de la asignatura de química industrial se enfoca en desarrollar trabajos de investigación académica a nivel de Laboratorio, donde el estudiante es el protagonista de su propio aprendizaje. La puesta en marcha del método de proyectos consiste en la realización de un proyecto en equipo, por lo que también se pone énfasis en el aprendizaje colaborativo. El proyecto mencionado es evaluado previamente por la profesora para asegurarse de que los equipos formados tengan definido los objetivos necesarios para la resolución de los problemas planteados. Esta estrategia se implementó durante un semestre académico considerando las etapas del método de proyectos. Tal como se observa en la tabla 3, el desarrollo del Programa de intervención consistió en la planificación, diseño, ejecución y discusión de 6 proyectos de investigación para lo cual se formaron 6 grupos (cada uno trabajó con un tema a lo largo del semestre) y luego se hizo una puesta en común basado en los siguientes temas:

Tabla 3. Proyectos de Investigación de los estudiantes del grupo experimental.

Temas

Proyecto de Investigación/Problemas

  • Normas de Seguridad de Laboratorios.
  • Elaboración de Normas de Seguridad del Laboratorio de Química Industrial
  • ¿Cuáles son las normas básicas de seguridad en el Laboratorio de Química Industrial?
  • Materiales, reactivos y equipos de Laboratorio.
  • Elaboración de un vademécum de materiales, equipos y reactivos del Laboratorio de química industrial.
  • ¿Cuál es la función de los materiales, reactivos y equipos básicos del Laboratorio de química industrial?
  • Densidad de líquidos y sólidos.
  • Determinación de la densidad de productos comerciales por el método del picnómetro, lactodensímetro y de la probeta.
  • ¿Cómo determinar la densidad de productos comerciales por el método del picnómetro, lactodensímetro y de la probeta?
  • Fenómenos físicos y/o químicos.
  • Desalinización del agua de mar mediante el método de destilación simple.
  • ¿Cómo desalinizar el agua de mar mediante el método de destilación simple?
  • ¿Cómo determinar, la acidez, el pH, cloruros, grados Brix, índice de refracción y la densidad del agua desalinizada?
  • Métodos de separación de mezclas.
  • Obtención del aceite esencial de la cáscara de naranja fresca y deshidratada por medio de la destilación por arrastre de vapor.
  • ¿Cómo obtener aceite esencial de la cáscara de naranja fresca y deshidratada por medio de la destilación por arrastre de vapor?
  • ¿Cómo determinar el rendimiento, pH, densidad, grados Brix e índice de refracción del aceite esencial obtenido?
  • Medición del pH y grados Brix.
  • Elaboración de un yogurt batido a base de fruta.
  • ¿Cuál es el proceso de elaboración de un yogurt batido a base de fruta?
  • ¿Cómo determinar el pH y los grados brix de un yogurt batido a base de fruta?

La enseñanza en el grupo control se basó en el método tradicional sin la intervención del método de proyectos (uso de manual de laboratorio). Muy por el contrario, la enseñanza en el grupo experimental se basó en la aplicación del método de proyectos, donde la profesora permanece como orientadora que guía las posibilidades personales de los estudiantes. Las etapas sobre las cuales se desarrollaron las actividades del grupo experimental se presentan en la tabla 4. Se aplicó la evaluación pre test a los dos grupos (experimental y control), al inicio del semestre académico. Al término del ciclo se aplicó la evaluación post test a ambos grupos.

Tabla 4. Etapas de actividades del grupo experimental y control.

Etapas

Grupo Experimental

Grupo control

a.- Planificación del proyecto

  • Aplicación del pretest.
  • Presentación del tema.
  • Formación de equipos de estudio.
  • Designación de las funciones de cada miembro de los equipos de estudio.
  • Formulación de los problemas, objetivos e hipótesis de los trabajos de investigación.
  • Elección de los experimentos a desarrollar.
  • Organización del cronograma de actividades..

a.- Planificación:

  • Aplicación del pretest.
  • Presentación del tema.
  • Formación de equipos de estudio.
  • Revisión del manual con los estudiantes.

b.- Ejecución del proyecto:

  • Recopilación de información.
  • Proyección de la experiencia.

b.- Experimentación:

  • Desarrollo del tema con los estudiantes.

c.- Producción del proyecto:

  • Desarrollo de los experimentos y/o productos.
  • Toma de datos.
  • Procesamiento e interpretación de datos.

c.- Resultados:

  • Presentación del informe final.
  • Aplicación del postest.

d.- Evaluación del proyecto:

  • Autoevaluación.
  • Coevaluación.
  • Heteroevaluación.

e.- Resultados del proyecto:

  • Elaboración del informe final.
  • Elaboración del video final.
  • Sustentación final.
  • Aplicación del postest.

Análisis de datos

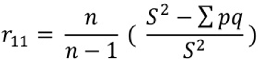
Se utilizó la validez y la confiabilidad de los instrumentos de investigación. El instrumento fue sometido a criterio de un grupo de cinco jueces expertos con amplia experiencia en el campo de la enseñanza de la química y de la investigación educacional. Para examinar la confiabilidad del instrumento se aplicó una prueba piloto a 15 estudiantes del cuarto semestre de química industrial, para lo cual se analizó los puntajes obtenidos por medio del coeficiente de consistencia interna KR20, propuesto por Kuder-Richardson. Estos puntajes se obtuvieron aplicando el instrumento (50 ítems), los puntajes obtenidos fueron examinados por medio del coeficiente de consistencia interna KR20, propuesto por Kuder-Richardson (Tabla 5), para valoración de ítems dicotómicos en los cuales existen respuestas correctas e incorrectas. La fórmula es la siguiente:

Dónde:

n : Número de ítems del instrumento

p : % de personas que responden correctamente cada ítem

q : % de personas que responden incorrectamente cada ítem

S2 : Varianza total del instrumento

Tabla 5. Interpretación del coeficiente de KR20.

Fuente: Corral (2009).

Rangos Magnitud

Confiabilidad

0,81 a 1,00

Muy alta

0,61 a 0,80

Alta

0,41 a 0,60

Moderada

0,21 a 0,40

Baja

0,01 a 0,20

Muy baja

Para el análisis descriptivo, se usaron las tablas y gráficos estadísticos con su respectiva interpretación y para el análisis inferencial se utilizó la prueba de normalidad Shapiro-Will para el Pretest y Post test. Para el contraste de hipótesis del Pretest y Post test en el grupo experimental se utilizó la prueba de U de Mann-Whitney y para el análisis de dos muestras relacionadas se utilizó la prueba no paramétrica de rangos con signo de Wilcoxon con el apoyo del Software SPSS v. 25 y Excel.

Resultados

Para establecer la confiabilidad del instrumento, se aplicó una prueba piloto de 15 estudiantes del cuarto semestre de la asignatura de Química Industrial de la carrera profesional de Ingeniería Industrial, cuyas características eran similares a la muestra examinada. Los puntajes obtenidos fueron examinados por medio del coeficiente de consistencia interna KR20, propuesto por Kuder-Richardson, para valoración de ítems dicotómicos en los cuales existen respuestas correctas e incorrectas.

Como se observa en la tabla 6, según la prueba de confiabilidad KR20 se obtiene un coeficiente de 0,852 que determina que el instrumento tiene una confiabilidad muy alta. Por lo tanto, podemos afirmar que el instrumento que mide dicha variable es confiable.

Tabla 6. Resumen de la Prueba de Confiabilidad KR20.

Variable

Coeficiente (KR20)

N° de ítems

Aprendizaje de química

0,852

50

En la Tabla 7 se observa la prueba de rangos de Wilcoxon para muestras relacionadas aplicadas al grupo experimental, tanto en el pretest y postest, el nivel de significancia es menor a 0,05 (0,000 < 0,05) lo cual indica que existen diferencias significativas en sus promedios, entonces se rechaza la hipótesis nula y se acepta la hipótesis alternativa. Es decir, existe evidencia estadística para afirmar que la aplicación del método de proyectos influye significativamente en el aprendizaje de los estudiantes de química industrial del cuarto semestre de la carrera de Ingeniería Industrial de una universidad privada peruana.

Tabla 7. Estadísticos de contraste (a) con signo de Wilcoxon.

Postest grupo experimental Pretest grupo experimental

Z

-3.960b

Sig. Asintótica (bilateral)

0.000

a, Prueba de los rangos con signo de Wilcoxon b, Se basa en rangos negativos

En la Tabla 8 se observa la prueba de U de Mann Whitney aplicada al grupo control y experimental en el postest, el nivel de significancia es menor a 0,05 (0,000 < 0,05), lo cual indica que tienen diferencias significativas en sus promedios, por lo tanto, se rechaza la hipótesis nula y se acepta la hipótesis alternativa. Es decir, existen evidencias estadísticas para afirmar que la aplicación del método de proyectos influye significativamente en el aprendizaje de química industrial de los estudiantes de la asignatura de química industrial del cuarto semestre de la carrera de Ingeniería Industrial de una universidad privada peruana.

Tabla 8.Estadísticos de contraste (a) postest.

Aprendizaje de química industrial

Postest

U de Mann-Whitney

1,000

W de Wilcoxon

211,000

Z

-5,423

Sig. Asintót (bilateral)

0.000

a, Variable de agrupación: Grupo

En la figura 1, se muestra la comparación de medias de los grupos control y experimental, en el pretest y postest del aprendizaje de química industrial. De acuerdo con la escala de valoración, tanto en el grupo control y experimental del pretest se encuentran con una baja calificación, por lo tanto, ambos grupos inician en las mismas condiciones. Sin embargo, en el postest los estudiantes del grupo experimental tienen un mejor rendimiento que los estudiantes del grupo control, demostrando un mayor conocimiento, habilidad procedimental y actitud de los temas evaluados.

Figura 1. Comparación de medias del aprendizaje de química industrial

Discusión y conclusiones

Los resultados obtenidos en las calificaciones muestran mejoras significativas en los aprendizajes de la asignatura de Química Industrial. Los estudiantes mostraron una mejor comprensión de los temas propuestos, por lo que esta metodología permite desarrollar y fortalecer las diferentes competencias que son necesarias para los futuros profesionales en diversas áreas.

A través de esta propuesta los estudiantes desarrollaron proyectos de química industrial a nivel de cuarto ciclo de ingeniería industrial, estas actividades les permitieron reforzar las competencias específicas como la expresión del pensamiento crítico, la comunicación efectiva, el uso de las TIC y el trabajo colaborativo, además de relacionarse con lo que van a desarrollar más adelante a través de una tesis de investigación. En este proceso también aprendieron a descubrir y decidir por sí mismos que es lo que necesitan conocer y saber hacer para responder al desafío de solucionar problemas y elaborar videos experimentales, así como redactar informes de investigación científica. Estos resultados concuerdan con Márquez, Tolosa, Gómez, Izaguirre, Rennola, Bullón y Sandia (2016), quienes demostraron que la aplicación de la estrategia “Reproducción de un Ambiente de Innovación en el Salón de clase” (RAIS) en las asignaturas de Fisicoquímica para Ingenieros Químicos, Química Industrial I y Laboratorio de Química Industrial, permite desarrollar las competencias propuestas en las asignaturas a través de la ejecución de un producto, utilizando el saber-hacer en el área de cada curso.

Con la aplicación del método de proyectos se logró incentivar la formación activa de los futuros profesionales, reforzando así los conocimientos teóricos adquiridos y la aplicación del saber hacer en las experiencias académicas y laborales, con lo cual se generará la participación efectiva de los egresados en el mercado laboral. A través de esta propuesta los estudiantes desarrollaron proyectos sobre las normas de seguridad del laboratorio de química, manejo de materiales, equipos y reactivos, determinación de la densidad de líquidos y sólidos, evaluación de fenómenos físicos y químicos, métodos de separación de mezclas, medición del pH, acidez titulable, grados brix e índice de refracción. Estas actividades permitieron a los estudiantes trabajar de manera autónoma, colaborativa, y con mayor interés y motivación. Por lo tanto, existen evidencias estadísticas para afirmar que la aplicación del método de proyectos influye significativamente en el aprendizaje de los estudiantes de la asignatura de química industrial.

Conflicto de intereses

Los autores declaran no tener ningún conflicto de intereses.

Referencias

Corral, Y. (2009, enero-junio). Validez y confiabilidad de los instrumentos de investigación para la recolección de datos. Revista Ciencias de la Educación, 19(33), 228-247.

Fernández, L. J. y Moreno, S. J. (2008). La química en el aula: entre la ciencia y la magia. Recuperado de: https://www.researchgate.net/publication/39745810_La_Quimica_en_el_aula_entre_la_ciencia_y_la_magia

Ferrándiz, G. C. (2004). Evaluación y desarrollo de la competencia cognitiva: un estudio desde el modelo de las inteligencias múltiples. Recuperado de: https://bit.ly/3sqPFSD

Hernández, R. ; Fernandez, C. y Baptista, P. (2010). Metodología de la Investigación. México: Mc Graw Hill.

Márquez, R., Tolosa, L., Gómez, R., Izaguirre, C., Rennola, L., Bullón, J. y Sandia, B. (2016). Reproducción de un ambiente de innovación en el salón de clase. Una estrategia para promover la creatividad en la educación en Ingeniería Química. Educación Química, 27(1), 249-256.

Matos, N. R., Arias, A. F. y Caraballo, P. A. (2015). Aprendizaje basado en proyectos: estrategia pedagógica en la enseñanza de las Matemáticas. Méthodos, 1(13), 26 -38.

Ordaz, G. G. y Mostue, M. B. (2018). Los caminos hacia una enseñanza no tradicional de la química. Actualidades investigativas en educación, 18(2), 1-20.

Prieto, A., Díaz, D. y Santiago, R. (2014). Metodologías inductivas: el desafío de enseñar mediante el cuestionamiento y los retos. Grupo Océano: España.

Reyes, C. F. y Padilla, K. (2012). La indagación y la enseñanza de las ciencias. Educación Química, 23(4), 415-421.

Sandoval, M. J., Mandolesi, M. E. y Cura, R. O. (2013). Estrategias didácticas para la enseñanza de la química en la educación superior. Educación y Educadores, 16(1), 126-138.

Vilá, B. R., Rubio, H. M. y Berlanga, S. V. (2014). La investigación formativa a través del aprendizaje orientado a proyectos: una propuesta de innovación en el grado de pedagogía. Innovación Educativa, 1(24), 241-258.



Recepción: 04/03/2021.
Aceptación: 13/10/2021



Cómo citar: Ramos-Escudero, Mónica, Huerta Camones, Rafaela Teodosia, Ramos-Escudero, Fernando y Gonzáles Chavesta, Celso. (2022, enero-marzo). Efecto del método de proyectos sobre el aprendizaje de química industrial. Educación Química, 33(1). http://dx.doi.org/10.22201/fq.18708404e.2022.1.78917.


[a] Facultad de Ingeniería y Arquitectura, Universidad de San Martín de Porres, Lima, Perú. Correspondencia: mramose2120@gmail.com. ORCID: https://orcid.org/0000-0002-9365-7057

[b] Escuela de Posgrado, Universidad Nacional de Educación “Enrique Guzmán y Valle”, Lima, Perú. ORCID: https://orcid.org/0000-0002-8892-5897

[c] Facultad de Ciencias de la Salud, Universidad San Ignacio de Loyola, Lima, Perú. ORCID: https://orcid.org/0000-0002-6907-3166

[d] Departamento de Estadística e Informática, Facultad de Economía y Planificación, Universidad Nacional Agraria La Molina, Lima, Perú. ORCID: https://orcid.org/0000-0001-6420-2443