http://dx.doi.org/10.22201/fq.18708404e.2021.5.77418

Cp2TiCl is a useful reagent to teach multidisciplinary chemistry

Antonio Rosales Martínez[a]

Resumen

Cp2TiCl es un único reactivo de transferencia de electrones que ha contribuido en varios campos del conocimiento científico, como la química orgánica, inorgánica, ecológica y analítica. En este artículo, las revisiones principales y parte de la literatura química primaria se convierten en un breve manuscrito que sirve para ilustrar cómo se puede usar un reactivo para enseñar química multidisciplinaria a químicos e ingenieros químicos de pregrado.

Palabras clave:

Química multidisciplinar, química verde, ingeniería química, titanoceno, aprendizaje por descubrimiento.

Cp2TiCl es un reactivo útil para enseñar química multidisciplinar

Abstract

Cp2TiCl is a single electron transfer reagent which has contributed to several field of scientific knowledge, such as organic, inorganic, green and analytical chemistry. In this article the main reviews and some primary chemical literature is converted to a brief manuscript that serves to illustrate how a reagent can be used to teach multidisciplinary chemistry to undergraduate chemists and chemical engineers.

Keywords:

Multidisciplinary chemistry, green chemistry, chemical engineering, titanocene, discovery learning.




Introduction

In recent decades, a considerable increase in multidisciplinary chemical research has been observed, allowing greater scientific achievements to be achieved. However, at the curricular level, it is necessary to make a greater effort to transfer the inherent advantages of multidisciplinary development to the curricula of university teaching in chemistry and chemical engineering [Wiggins, M. B., 2019]. In this context, titanocene monochloride (Cp2TiIIICl) is a single-electron transfer (SET) complex that is at the forefront of multidisciplinary research. This SET has been shown to be capable of catalysing and/or promoting homolytic cleavage of C-X bond (X being a heteroatom with free valence electrons), present in several functional groups, giving a carbon-centered radical that can undergo different reactions of great utility in organic and organometallic synthesis (see next section). While there are excellent reviews that exhaustively cover recent developments within a specific area, such as its chemical reactivity [Gansäuer, A., 2007; Streuff, J., 2014; Rosales, A., 2015], as new green reagent [Rosales Martínez, A., 2017], and application towards the synthesis of natural products [Barrero, A. F., 2006; Justicia, J., 2011], this article seeks to emphasize the wide diversity of uses for this SET by briefly reviewing a number of different fields of research, such as organic synthesis, green chemistry and analytical techniques. The result is a didactic manuscript capable of simultaneously presenting novel concepts focused as multidisciplinary chemistry.

The author considers this article helpful to chemistry educators and students in three ways. This article can be used as a complementary reading material to the topics of organometallic and radical chemistry. Also, this article describes the effectiveness of Cp2TiCl as a green reagent that fulfils many of the twelve principles of the green chemistry. Finally, this article can also be used by students to learn inert atmosphere techniques.

Synthesis and properties of Cp2TiCl

The synthesis of Cp2TiCl is straightforward via Mn or Zn dust reduction of Cp2TiCl2 in a solvent such as tetrahydrofuran, toluene or acetonitrile [Green, M. L. H., 1972; Gansäuer, A., Bluhm, H., Pierobon, M. 1998; Enemaerke, J. R., 2001]. Alternatively, organosilicon reducing agents [Saito, T., 2014], electrochemical reduction [Liedtke, T., 2019] and photoredox catalysis [Zhang, Z., 2019] can be employed to obtain Cp2TiCl from Cp2TiCl2. In THF solution, Cp2TiCl is in an equilibrium between dinuclear and mononuclear species (Scheme 1) [Castro Rodríguez, M., 2017; Rosales Martínez, A., 2021].

Scheme 1. Equilibrium of species in the preparation of Cp2TiCl from Cp2TiCl2.

These structure each have an unpaired d electron, giving them mild electron-reducing character (Eº= -0.8 V vs. Fc+/Fc) [Enemaerke, J. R., 2004]. Furthermore, this reagent has a vacant site, allowing the coordination a heteroatom with free valence electrons to initiate the monoelectronic transfer through an inner-sphere mechanism [Ogoshi, S., 1998]. So, Cp2TiCl has ability to generate carbon radicals by homolytic cleavage of C-X bonds (X being heteroatoms with free valence electrons) present in several functional groups (Scheme 2). From this carbon-centered radical, depending on the experimental conditions, several reactions can be promoted (Scheme 2) [Rosales Martínez, A., 2021].

Scheme 2. Target functional groups of Cp2TiCl.

Cp2TiCl as a green chemistry reagent

After the seminal works reported by Nugent and Rajanbabu [Nugent, W. A., 1998; RajanBabu, T. V., 1989; RajanBabu, T. V., 1990; RajanBabu, T. V., 1994], Cp2TiCl has been postulated as a new green reagent which complies with, if not all, at least some to the twelve principles of green chemistry reported by Anastas, P., 2010, being this reagent a perfect opportunity for teaching green chemistry [Franco Moreno, R. A., 2020 and references cited]. So, it is worth to mention that this SET is a non-hazardous material, and although this SET is not a renewable feed stock it derives from transition metal (titanium), the second most abundant transition metal in the upper continental Earth´s crust [Yaroshevsky, A. A., 2006]. On the other hand, the use of Cp2TiCl as a catalyst was a breakthrough in the application of this reagent with the development of two catalytic cycles, which allowed regeneration of Cp2TiCl2 from the titanium species formed in homolytic cleavage of bonds. Under reductive conditions [Gansäuer. A., Pierobon, M., and Bluhm, H., 1998] hydrochloride-substituted pyridines was used a regenerator of titanium(IV), and under non-reductive conditions [Barrero A. F., Rosales A., Cuerva J. M., and Oltra J. E. 2003] 2,4,6-trimethyl-1-trymethylsilylpyridinum chloride [Coll/TMSCl]. Recently the role of the intermediate Cp2TiCl(H)was found that spontaneously decomposes to regenerate titanocene(III) and molecular hydrogen [Gordon J. 2018]. Both catalytic cycles for epoxides opening are reported in scheme 3, giving alcohol (reduction process) or alkene and/or allylic alcohol (non-reduction process) [Rosales Martínez, A., 2021].

Another principle of green chemistry that Cp2TiCl meets is the energy efficiency, since the reactions catalysed by this single electron transfer are conducted at room temperature and atmospheric pressure. Also, Cp2TiCl is a highly diastereoselective reagent that maximizes the selectivity and atom and step economy. This makes the radical cascade mono- and polycyclisation reactions of monoepoxides of acylic polyprenes catalysed by Cp2TiCl -yielding C10, C15, C20 and C30 terpenoids- especially relevant [Barrero A., 2006; Justica J., 2011]. Another advantage of Cp2TiCl is that it allows to reduce the use of derivatives since this SET is compatible with numerous functional groups such as silanes, esters, and ethers. Finally, tetrahydrofuran and toluene are solvents commonly used to generate Cp2TiCl from Cp2TiCl2 and Mn or Zn. Both solvents are considered usable by the guidelines for solvents used in the pharmaceutical industry [Tables and List Guidance for Industry, U.S. Department of Health and Human Services. FDA. 2017, (accessed 03/19/2020)] and their hazardous impact is thus minimal. Therefore, many of the twelve principles of green chemistry are verified by Cp2TiCl [Castro Rodríguez M., 2017; Rosales Martínez A., 2021].] (Figure 1). This reagent is a good example to teach green chemistry to chemistry and chemical engineering students.

Scheme 3. Ti(III)-catalyzed reductive and non-reductive epoxide ring-opening reactions.

Figure 1. Principles of green chemistry that meets Cp2TiCl.

Cp2TiCl as a reagent widely used in organic and organometallic chemistry

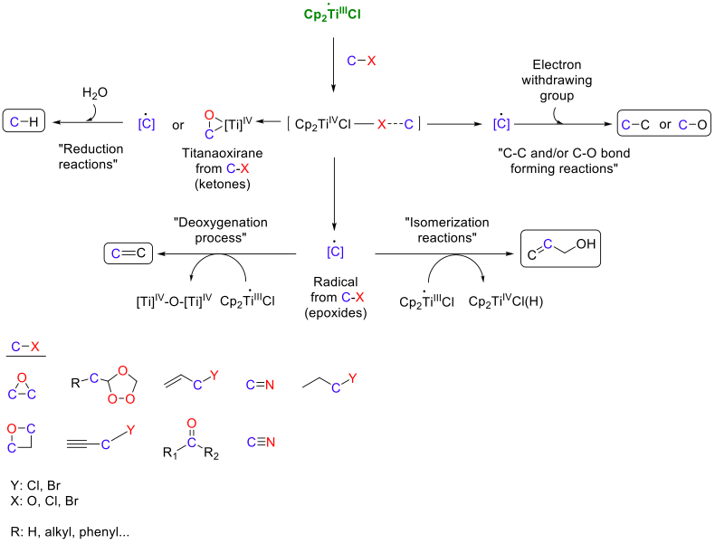
The main applications in organic and inorganic chemistry of this SET reagent are briefly summarized below. One of the most useful features of Cp2TiCl complex is its ability to form carbon radicals by the homolytic cleavage of C-X bonds (X being a heteroatom with free valence electrons) present in different functional groups (Scheme 4). In the presence of electron withdrawing groups and in the absence of a hydrogen atom-donor, these carbon radicals can normally be used to generate a new C-C or C-O bond, either inter- or intramoleculary (C-C and C-O bond forming reactions, Scheme 4) [Rosales A., 2015]. In the presence of a good hydrogen-atom donor, such water, a H-atom transfer to the carbon radical [Cuerva J. M., 2006] or to the titanaoxirane intermediate [Rosales A., 2014] takes place (reduction reactions, Scheme 4). The reduction of ketones catalysed by Cp2TiCl using water as H-atom donors takes place through organometallic mechanisms, rather than via radical mechanism (titanaoxirane intermediate), as previously reported [Barrero A. F., Rosales A., Cuerva J. M., Gansäuer A., and Oltra J. E., 2003]. On the other hand, in the absence of electron withdrawing functional groups or good hydrogen-atom donors, epoxides react to yield allylic alcohols or alkenes [Justicia J., 2009]. Thereby, tertiary carbon radicals lead to allylic alcohols through a reaction in which Cp2TiCl removes a α radical hydrogen atom (isomerization process, Scheme 4) [Justicia J., 2009]. If the radical is on a di-substituted carbon, an alkene is formed (deoxygenation process, Scheme 4) [Justicia J., 2009]. In this case, the radical is trapped by a second Cp2TiCl species to generate a bimetallic specie that eventually leads to the formation of an alkene.

Scheme 4. Reactivity of Cp2TiCl.

Therefore, without describing the mechanistic consideration in detail and depending on the reaction conditions, many important chemical transformations are catalysed by Cp2TiCl. Several examples of this catalytic processes are reported in Scheme 5.

Scheme 5. Cp2TiCl-catalyzed C-C and C-O bond forming reactions, reduction, deoxygenation, and isomerization reactions.

Cp2TiCl as a colorimetric indicator for learning inert atmosphere techniques

The use of Cp2TiCl as a very useful visual aid for students learning standard Schlenk vacuum line techniques was reported [Nieter Burgmayer, S. J., 1998]. The students were instructed to practice solvent degassing and filtering through frits using a Cp2TiCl solution. The correct degassing of the solvent can be judged by the students if a change in colour in the solution is observed (Scheme 6). The initially orange-red solution of Cp2TiCl2 turns green when Cp2TiCl is formed. Additionally, if the solvent is acetonitrile the green colour changes to deep blue indicating the formation of [Cp2Ti(NCCH3)2]+, a result of facile dimer cleavage in the coordination solvent acetonitrile. Finally, the students observed that when the solution of titanocene(III) is exposed to O2, the deep blue colour is rapidly bleached to yellow as titanocene(III) species is oxidized back to titanium(IV) [Nieter Burgmayer, S. J., 1998]. (Scheme 6). This colour change is used as a colorimetric analytical indicator to determine the presence of oxygen. Later, colorimetric analysis and mass spectrometric indicated that oxidation from Ti(III) to Ti(IV) gives a host of oxygen-containing intermediates, where appearance parallels the observed color change [Yeung D., 2018]. In all cases, the use of Cp2TiCl in radical-initiated catalysis needs an inert atmosphere to avoid the oxidation to Ti(IV). Representative examples where Cp2TiCl is used under an inert atmosphere are radical cascade cyclization, coupling reactions, umpolung reactions, THF-ring formation reactions, H-atom transfer, Barbier-type reactions and deoxygenation of alcohols [Rosales A., 2015].

Scheme 6. Reaction scheme for synthesis of the colorimetric indicator [Cp2Ti(NCMe)2]+ and its reaction with oxygen.

Conclusions

The synthesis and applications in multidisciplinary chemistry of Cp2TiCl reveal a valuable reagent that can be used as didactic material in the teaching of chemical sciences and chemical engineering as a model reagent capable of transmitting new advances in different areas of chemical knowledge. This article shows the multidisciplinary character of this monoelectronic transfer reagent and allows the student the possibility of handling concepts of green, organic, organometallic and analytical chemistry.

Acknowledgments

The author acknowledges University of the Sevilla for his position as professor, and financial support (Project 2020/00001014: Ayudas a Consolidación de Grupos de la Junta de Andalucía, Referencia: 2020/RNM-932).

References

Anastas, P., and Eghbali, N. (2010). Green chemistry: principles and practice. Chemical Society Reviews, 39, 301-312. https://doi.org/10.1039/B918763B

Barrero, A. F., Rosales, A., Cuerva, J. M., and Oltra, J. E. (2003). Unified Synthesis of Eudesmanolides, Combining Biomimetic Strategies with Homogeneous Catalysis and Free-Radical Chemistry. Org. Lett., 5, 1935-1938. https://doi.org/10.1021/ol034510k

Barrero, A. F., Rosales, A., Cuerva, J. M., Gansäuer, A., and Oltra, J. E. (2003). Titanocene-catalysed, selective reduction of ketones in aqueous media. A safe, mild, inexpensive procedure for the synthesis of secondary alcohols via radical chemistry. Tetrahedron Lett., 44, 1079-1082. http://hera.ugr.es/doi/14981269.pdf?origin=publication_detail

Barrero, A. F., Quílez del Moral, J. F., Sánchez, E. M., and Arteaga, J. F. (2006). Titanocene-mediated radical cyclization: an emergent method towards the synthesis of natural products. Eur. J. Org. Chem., 1627-1641. http://dx.doi.org/10.1002/ejoc.200500849

Castro Rodríguez, M., Rodríguez García, I., Rodríguez Maecker, R. N., Pozo Morales, L., Oltra, J. E., and Rosales Martínez, A. (2017). Cp2TiCl: An Ideal Reagent for Green Chemistry? Org. Process Res. Dev., 21, 911-923. https://doi.org/10.1021/acs.oprd.7b00098

Cuerva, J. M., Campaña, A. G., Justicia, J., Rosales, A., Oller-López, J. L., Robles, R., Cárdenas, D. J., Buñuel, E., and Oltra, J. E. (2006). Water: The Ideal Hydrogen‐Atom Source in Free‐Radical Chemistry Mediated by TiIII and Other Single‐Electron‐Transfer Metals? Angew. Chem. Int. Ed., 45, 5522-5526. https://doi.org/10.1002/anie.200790043

Enemærke, J. R., Hjøllund, G. H., Daasbjerg, K., and Skrydstrup, T. (2001). Is the trinuclear complex the true reducing species in the Cp2TiCl2/Mn- and Cp2TiCl2/Zn-promoted pinacol coupling? C. R. Acad. Sci. Ser. IIc., 4, 435-438. https://doi.org/10.1016/S1387-1609(01)01259-2

Enemærke, J. R., Larsen, J., Skrydstrup, T., and Daasbjerg, K. (2004). Mechanistic Investigation of the Electrochemical Reduction of Cp2TiX2. Organometallics, 23, 1866-1874. https://doi.org/10.1021/om034360h

Feurer, M., Frey, G., Luu, H. T., Kratzert, D., and Streuff, J. (2014). The cross-selective titanium(III)-catalysed acyloin reaction. Chem. Commun., 50, 5370-5372. https://doi.org/10.1039/C3CC46894A

Franco Moreno, R. A., and Ordoñez Carlosama, L. Y. (2020). El enfoque de química verde en la investigación en didáctica de las ciencias experimentales. Educación Química, 31(1), 84-104. http://dx.doi.org/10.22201/fq.18708404e.2020.1.70414

Gansäuer, A., Bluhm, H., Pierobon, M. (1998). Emergence of a Novel Catalytic Radical Reaction: Titanocene-Catalyzed Reductive Opening of Epoxides. J. Am. Chem. Soc., 120, 12849-12859. https://doi.org/10.1021/ja981635p

Gansäuer, A., Pierobon, M., and Bluhm, H. (1998). Catalytic, Highly Regio‐ and Chemoselective Generation of Radicals from Epoxides: Titanocene Dichloride as an Electron Transfer Catalyst in Transition Metal Catalyzed Radical Reactions. Angew. Chem. Int. Ed., 37, 101-103. https://doi.org/10.1002/(SICI)1521-3773(19980202)37:1/2%3C101::AID-ANIE101%3E3.0.CO;2-W

Gansäuer, A., Rinker, B., Pierobon, M., Grimme, S., and Gerenkamp, M. (2003), Mück-Lichtenfeld, C. A Radical Tandem Reaction with Homolytic Cleavage of a Ti-O Bond. Angew. Chem. Int. Ed., 42, 3687-3690. https://doi.org/10.1002/anie.200351240

Gansäuer, A., Justicia, J., Fan, C.-A., Worgull, D., and Piestert, F. (2007). Reductive C–C Bond Formation after Epoxide Opening via Electron Transfer. Top. Curr. Chem., 279, 25-52. https://doi.org/10.1007/128_2007_130

Green, M. L. H., and Lucas, C. R. (1972). Some d bis-π-cyclopentadienyl titanium complexes with nitrogen or phosphorus ligands. J. Chem. Soc., Dalton Trans., 1000-1003. https://doi.org/10.1039/DT9720001000

Gordon, J., Hildebrandt, S., Dewese, K. R., Klare, S., Gansäuer, A., RajanBabu, T. V., Nugent, A. (2018). Demystifying Cp2Ti(H)Cl and Its Enigmatic Role in the Reactions of Epoxides with Cp2TiCl. Organometallics, 37, 4801-4809. https://doi.org/10.1021/acs.organomet.8b00793

Justicia, J., Jiménez, T., Morcillo, S. P., Cuerva, J. M., and Oltra, J. E. (2009). Mixed Disproportionation versus Radical Trapping in Titanocene(III)-Promoted EpoxideOpenings. Tetrahedron, 65, 10837-10841. http://dx.doi.org/10.1016/j.tet.2009.10.038

Justicia, J., de Cienfuegos, L. A., Campaña, A. G., Miguel, D., Jakoby, V., Gansäuer, A., and Cuerva, J. M. (2011). Bioinspired terpene synthesis: a radical approach. Chem. Soc. Rev., 40, 3525-3537. https://doi.org/10.1039/C0CS00220H

Liedtke, T., Hilche, T., Klare, S., and Gansäeuer, A. (2019). Condition Screening for Sustainable Catalysis in Single-Electron Steps by Cyclic Voltammetry: Additives and Solvents. ChemSusChem, 12, 3166-3171. https://doi.org/10.1002/cssc.201900344

Nieter Burgmayer, S. J. (1998). Use of a Titanium Metallocene as a Colorimetric Indicator for Learning Inert Atmosphere Techniques. J. Chem. Educ., 75, 460. https://doi.org/10.1021/ed075p460

Nugent, W. A., and RajanBabu, T. V. (1998). Transition-metal-centered radicals in organic synthesis. Titanium(III)-induced cyclization of epoxy olefins. J. Am. Chem. Soc., 110, 8561-8562. https://doi.org/10.1021/ja00233a051

Ogoshi, S., and Stryker, J. M. (1998). Radical Reactions of Titanium(III) Propargyl Complexes. Titanacyclobutene Formation by Dimerization and by Regioselective Addition of Organic Free Radicals. J. Am. Chem. Soc., 120, 3514-3515. https://doi.org/10.1002/chin.199831181

RajanBabu, T. V., and Nugent, W. A. (1989). Intermolecular addition of epoxides to activated olefins: a new reaction. J. Am. Chem. Soc., 111, 4525-4527. https://doi.org/10.1021/ja00194a073

RajanBabu, T. V., Nugent, W. A., and Beattie, M. S. (1990). Free radical-mediated reduction and deoxygenation of epoxides. J. Am. Chem. Soc., 112, 6408-6409. https://doi.org/10.1021/ja00173a045

RajanBabu, T. V., and Nugent, W. A. (1994). Selective Generation of Free Radicals from Epoxides Using a Transition-Metal Radical. A Powerful New Tool for Organic Synthesis. J. Am. Chem. Soc., 116, 986-997. https://doi.org/10.1021/ja00082a021

Rosales, A., Muñoz-Bascón, J., Roldán-Molina, E., Castañeda, M. A., Muñoz-Padial, N., Gausäuer, A., Rodríguez-García, I., and Oltra, J. E. (2014). Selective Reduction of Aromatic Ketones in Aqueous Medium Mediated by Ti(III)/Mn: A Revised Mechanism. J. Org. Chem., 79, 7672-7676. http://doi.org/10.22201/codeic.16076079e.2018.v19n4.a3

Rosales, A., Rodríguez-García, I., Muñoz-Bascón, J., Roldán-Molina, E., Padial, N. M., Pozo-Morales, L., García-Ocaña, M., and Oltra, J. E. (2015). The Nugent Reagent: A Formidable Tool in Contemporary Radical and Organometallic Chemistry. Eur. J. Org. Chem. 4567-4591. https://doi.org/10.1002/ejoc.201500292

Rosales Martínez, A., Castro Rodríguez, M., Rodríguez-García, I., Pozo Morales, L., and Rodríguez Maecker, R. N. (2017). Titanocene dichloride: A new green reagent in organic chemistry. Chin. J. Catal., 38, 1659-1663. http://dx.doi.org/10.1016/S1872-2067(17)62894-8

Rosales Martínez, A., Enríquez, L., Jaraíz, M., Pozo Morales, L., Rodríguez-García, I., and Díaz Ojeda, E. (2020). A Concise Route for the Synthesis of Tetracyclic Meroterpenoids: (±)-Aureol Preparation and Mechanistic Interpretation. Mar. Drugs18, 441. https://doi.org/10.3390/md18090441

Rosales Martínez, A., Pozo Morales, L., Díaz Ojeda, E., Castro Rodríguez, M., and Rodríguez-García, I. (2021). The Proven Versatility of Cp2TiCl. J. Org. Chem. 86, 1311-1329. https://doi.org/10.1021/acs.joc.0c01233

Saito, T., Nishiyama, H., Tanahashi, H., Kawakita, K., Tsurugi, H., and Mashima, K. (2014). 1,4-Bis(trimethylsilyl)-1,4-diaza-2,5-cyclohexadienes as Strong Salt-Free Reductants for Generating Low-Valent Early Transition Metals with Electron-Donating Ligands. J. Am. Chem. Soc., 136, 5161-5170. https://doi.org/10.1021/ja501313s

Streuff, J. (2014). Reductive Umpolung Reactions with Low-Valent Titanium Catalysts. Chem. Rec., 14, 1100-1113. https://doi.org/10.1002/tcr.201402058

Streuff, J., and Gansäuer, A. (2015). Metal-Catalyzed β-Functionalization of Michael Acceptors through Reductive Radical Addition Reactions. Angew. Chem. Int. Ed., 54, 14232-14242. https://doi.org/10.1002/anie.201505231

Tables and List Guidance for Industry, U.S. Department of Health and Human Services. FDA. (2017). https://www.fda.gov/media/71737/download (accessed 03/19/2020).

Wiggins, M. B., Heath, E., and Alcántara-García, J. (2019). Multidisciplinary learning. Journal of Chemical Education, 96(2), 317-322. https://doi.org/10.1021/acs.jchemed.8b00358

Yaroshevsky, A. A. (2006). Abundances of chemical elements in the Earth´s crust. Geochem. Int. 44, 48-55. https://doi.org/10.1134/S001670290601006X

Yeung, D., Penafiel, J., Zijlstra, H. S., and McIndoe, J. S. (2018). Oxidation of Titanocene(III): The Deceptive Simplicity of a Color Change. Inorg. Chem., 57, 457-461. https://doi.org/10.1021/acs.inorgchem.7b02705

Zhang, Z., Richrath, R. B., and Gansäeuer, A. (2019). Merging Catalysis in Single Electron Steps with Photoredox Catalysis-Efficient and Sustainable Radical Chemistry. ACS Catal., 9, 3208-3212. https://doi.org/10.1021/acscatal.9b00787



Recepción: 04-11-2020
Aceptación: 28-08-2021



Cómo citar: Rosales Martínez, Antonio. (2021, octubre-diciembre). Cp2TiCl is a useful reagent to teach multidisciplinary chemistry. Educación Química, 32(4). http://dx.doi.org/10.22201/fq.18708404e.2021.5.77418.


[a] Departamento de Ingeniería Química, Escuela Politécnica Superior, Universidad de Sevilla, España. Correspondencia: arosales@us.es. ORCID: https://orcid.org/0000-0003-0182-0548.

[b] Facultad de Educación Pontificia Universidad Católica de Chile.