DOI:http://dx.doi.org/10.22201/fq.18708404e.2020.4.75669

Grids I: Electrophilic Aromatic Substitution

Guy Lamoureux[a] y Carlos Carlos Arias-Álvarez[b]

Abstract

The effect of substituents on the reactivity in electrophilic aromatic substitution has been organized in a grid to demonstrate the inductive and resonance effects. This scheme can also incorporate the competition between donation and withdrawal of electron density. In class games are proposed from which undergraduate students can practice the effects while playing.

Keywords:

Organic chemistry, aromatic electrophilic substitution, resonance effects, induction effects.

Cuadrículas I: Sustitución Electrofílica Aromática

Resumen

El efecto de los sustituyentes en la reactividad de la sustitución electrofílica aromática ha sido organizado en cuadrículas para demostrar los efectos de inducción y resonancia. Este esquema podría incorporar la competencia entre donación y extracción de la densidad electronica. Proponemos actividades en clase, en las cuales los estudiantes pueden practicar los efectos mientras están jugando.

Palabras clave:

Química Orgánica, sustitución electrofílica aromática, efectos de resonancia, efectos de inducción.




Introduction

Electrophilic aromatic substitution (SEAr or EAS) is undoubtedly an important part of organic chemistry. Many new concepts are introduced during the presentation of this reaction, typically over two or three chapters in a textbook; this article relates only to the concept involving how substituents affect aromatic reactivity. We consider that there are four essential abilities that the students should master at this point before continuing in their program.

1) Use of the terms ‘activated’ and ‘deactivated’ to describe the more rapid reaction, or less rapid, respectively, of an electrophile with a substituted aromatic ring in comparison with benzene in an SEAr reaction.

2) Prediction of activation or deactivation in an SEAr reaction using only the Lewis structure of the substituted aromatic ring substrate. The ‘reading’ of a structure to infer chemical properties is an important skill for undergraduate students (Graulich & Schween, 2018).

3) Examining any substituent and separating the inductive and resonance effects responsible for the activation or deactivation. Knowing how the substituents affect reactivity is the first step in predicting structure/reactivity relationships.

4) Application of these same effects subsequently in the course (e.g. Diels-Alder, carbonyl chemistry or acid/base chemistry) to predict reactivity that do not involve SEAr mechanisms.

These four abilities contain the basic concepts of resonance, delocalization of electrons, electronegativity, π-systems, electrophiles, and nucleophiles. For students interested in materials science (Stöver et al., 1991), organic synthesis (Zanger et al., 1993), organometallic ligands (Palopoli et al., 2019), and pharmaceutical/medicinal chemistry (Dalvie et al., 2010) the knowledge of electronic effects based on substituents is important to relate structure to properties.

How this information is presented to students is, however, still based on textbooks of the past. Most modern textbooks provide the mechanism of SEAr for benzene, and continue with substituted benzene. The substituents are generally presented as a hierarchical list based on their reactivity and regioselectivity, instead of separate categories. Several articles (Ault, 1966) and textbooks (Bruice, 2016) conflate the substituent reactivity with the selectivity (i.e. an activated substituent somehow directs ortho or para), increasing the complexity and encouraging the students to memorize the information. In this article, we present a logical and organized presentation of substituted aromatic systems to clarify the reactivity in an SEAr.

Effect of substituents on reactivity of SEAr

The rate of substitution of a proton on the aromatic ring with an electrophile is directly affected by the substituents on the ring. The textbook reason is that the rate-determining step of most SEAr occurs where the electrophile attacks the π-systems to form a Wheland intermediate. To assess a substituted aromatic ring as activated or deactivated depends on the kinetic reactivity in the first step. The rate of the reaction should be dependent on the stability of the Wheland intermediate, yet the absolute rates determined are complicated by several effects (Tomberg et al., 2018). However, the prediction of relative reactivity can usually be correlated with the structure of the substrate: “How do we know whether a substituent functions as a donor or acceptor? In electrophilic aromatic substitution, the answer is simple. Because the attacking species is an electrophile, the more electron rich the arene, the faster the reaction. Conversely, the more electron poor the arene, the slower the reaction. Hence, electron donors activate the ring, whereas electron acceptors deactivate. (Vollhardt & Schore, 2014)”

To attract an electrophile at a rate more rapid than for benzene, increased electron density is required. Only a substituent that donates (releases) electron density greater relative to a hydrogen provides this activated ring, and hence a greater rate. A substituent that relatively withdraws (extracts) electron density to an extent greater than a hydrogen provides a deactivated ring, and hence a lesser rate. One criterion for prediction is the relative donation or withdrawal of electron density in the substrate. The determination whether a ring is activated or deactivated should not, however, be presented as a list to be memorized since it removes the nuanced influences of the substituents (i.e. inductive and resonance effects).

Inductive and resonance effects

The relative donation/withdrawal of electron density has traditionally been presented based a great gathering of experimental data during the twentieth century. We refer, of course, to Hammett’s success in determining σ constants and the derivation by Swain and Lupton of F and R values (Hansch et al., 1991). These experimental data points are based on the separation of effects according to the ‘English School of Chemists’ into the inductive (or field) and resonance (or mesomeric) components. Whereas the actual quantitative data for each substituent might transcend the requirements for students of introductory organic chemistry to learn, their relative values are important to predict reactivity. The experimental data determined from investigating the Hammett parameters should not be presented as the explanation of the SEAr reactivity. There is a correlation between the Hammett parameters and the reactivity, but correlation is not causation.

In this article we use the σp+ values, popularized by Brown (Brown & Okamoto, 1958), and the corresponding F and R+ parameters according to Hansch, Leo and Taft (Hansch et al., 1991). These data correspond satisfactorily to substituents that affect a positive charge, such as in the Wheland intermediate in a SEAr. These σp+ values provide a semi-quantitative measure of arene electron density, even though among different electrophiles the mechanism may vary (D’Amato et al., 2019).

Based on these inductive or resonance quantitative data, the tendency has been to adapt a Lewis representation of the two main effects (Figure 1). It should be noted that this relative reactivity can be determined by direct observation of the structure of the substrate, with a little inductive reasoning. Generally, substituents that donate to the aromatic ring by induction contain electropositive elements; substituents that withdrawal by induction contain electronegative elements. A third category typically not mentioned is that some substituents connected to the aromatic ring have a neutral inductive effect. Donation by resonance occurs if the substituent contains a π-systems (lone pair, electron-rich double or triple bond) directly connected to and co-planar with the π-systems of the aromatic ring. Withdrawal by resonance is predictable when a π-systems (empty p-orbital, electron-poor double or triple bond) is directly connected to and co-planar with the π-systems of the aromatic ring (Figure 1). A third category is a Lewis structure without a π-systems or lone pair on the substituent, in which case the resonance should be categorized as neutral.

Figure 1. Lewis structures to visualize inductive and resonance effects

To compare the kinetic reactivity of benzene with a substituted aromatic ring, one must ask if the substituted ring is more, equally, or less reactive than benzene. The problem arises how to predict the relative reactivity in most common cases. To provide a quantum-chemical basis for the observed reactivity, the molecular electrostatic potential (MEP) is known to become an effective descriptor of the effects of the substituents. The MEP is a colored plot mapped onto isosurfaces of electron density, which can be experimentally measured with X-ray diffraction and easily calculated with modern software. Politzer (Politzer et al., 1984; Politzer et al., 1985), and others (Galabov et al., 2013), (Remya & Suresh, 2016), have shown that the MEP of substituted arene substrates have predictive power in SEAr.

The MEP is color-coded to match a probe of attraction to the pi-system: red reflects a large electron density (negative potential) where yellow, green or blue reflects a depleted π-systems (positive potential). Although these potentials do not necessarily indicate local changes in the π-electron distribution (Shusterman & Hoistad, 2001), they suffice to provide a visual guide to the ground state (Wheeler, 2013).

We propose using molview.org (Bergwerf, 2015), a free Internet page, so that the students can gain dynamic feedback between the Lewis structures and MEP. Using molview, a student can rapidly draw the Lewis structure and directly compute a MEP surface (Figure 2). A variation in the substituent in the Lewis structure causes a visual variation in the MEP. As a warning, molview indicates “Calculation results can be inaccurate or wrong”, since it uses the software Jmol (Herráez & Hanson, 2017) for the rapid (not ab initio) calculations. The purpose is to compare relative surfaces, not to provide highly reliable calculations nor to compare subtle electronic effects, and for these purposes molview is sufficient (e.g. free, rapid, dynamic feedback and allows overlay and rotation of the three-dimensional structure and surface).

Figure 2. Lewis structure and corresponding Molecular Electrostatic Potential (MEP) from molview.org. The color scale related to partial charge shown in all figures is based on a JavaScript from https://chemagic.org

More or less reactive than benzene? Activated or deactivated?

We suggest dividing inductive and resonance components into a grid for each substituent, instead of the single parameter “electron donation” or “electron withdrawal”. In this system, the student must decide where to place the substituted aromatic ring in a 3x3 grid. According to such a grid scheme, one can predict the relative rates of reactivity based on the position in the grid. For example (Figure 3), the substituents that donate by induction or resonance (or both), indicated with green horizontal lines in the grid below, are considered to be activated relative to benzene. The substituents that withdraw by induction or resonance (or both), indicated with red diagonal lines, are considered to be deactivated relative to benzene. Those substituents in the upper-left and lower-right hand corners, indicated with a blue cross-hatched pattern, must be evaluated separately as there are competing effects. These positions should show the students that there is not merely one way to organize the groups as activated or deactivated.

Figure 3. Grid to organize inductive and resonance effects

We initiate the grid placement with the archetypical aromatic ring: benzene. In this case, hydrogen is the substituent, considered to be the simplest substituent. It is known that the quadrupole moment of benzene provides evidence that the electronic density flows from hydrogen to the carbon (Anslyn & Dougherty, 2006), yet we are interested in the relative difference in electron density among a series of substituted aromatic compounds. In Figure 2, the MEP of benzene shows a large electron density (red) in the ring. Where in the grid should benzene be placed? (Figure 4).

Figure 4. Grid showing the placement of benzene

In this case, one can quickly determine that it is convenient to standarize inductive and resonance effects for hydrogen as a substituent (σp+ = 0.00, F = 0.0, R+ = 0.0; all quantitative data are based on the compilation in Chemical Reviews). Benzene thus provides a standard for the determination of relative inductive and resonance effects according to which any other substituted aromatic ring can be directly compared, so the center box is the most appropriate position.

What is the case for nitrobenzene, with a nitro group attached to the aromatic ring? A electron-density withdrawing group such as nitro is readily placed in the upper right of the grid (Figure 5) as the quantitative data (σp+ = +0.79, F = +0.65, R+ = +0.14), and the molview-generated MEP (Figure 6) show that it withdraws according to both inductive and resonance effects. The Lewis structural representations show both withdrawal by induction (the positively charged nitrogen with two oxygens is more electronegative than carbon) and resonance (the N=O π-systems delocalizes the electron density to the more electronegative oxygen). Nitrobenzene is deactivated relative to benzene: less electron density in the interior of the ring as shown by the color-coded MEP.

Figure 5. Grid showing the placement of nitrobenzene

Figure 6. MEP generated for nitrobenzene and the corresponding Lewis representations of inductive and resonance effects

Next, for a substituent such as -CCl3, where should we place this group? A student should view this group as lacking any π-systems or lone pairs directly connected to the ring, and hence might predict CCl3 to have a neutral resonance effect, but the chlorine atoms provide a strong inductive withdrawal. The Lewis representation appears in Figure 8. The best answer would be to place -CCl3 in the middle right square (Figure 7) and to consider it a deactivating substituent. This prediction would seem to be confirmed with the electronic parameters (σp+ = +0.40, F = +0.38, R+ = +0.09), and the MEP surface (Figure 8); the electronic withdrawal is particularly strong in the aromatic ring directly connected (ipso carbon) to the -CCl3 group.

Figure 7 (left). Grid showing the placement for (trichloromethyl)benzene

Figure 8 (right). MEP generated for (trichloromethyl)benzene and the corresponding Lewis representation of the inductive effect

The curious case of alkyl substituents

When one compares the reactivity of an alkylated aromatic ring, for example toluene, to benzene, the answer should be clear. Toluene reacts 17 times as rapidly as benzene in a nitration reaction (Hornback, 2006); other electrophilic additions are also accelerated. The MEP shows subtly greater electron density than for benzene (Figure 9) and also provides evidence that alkyl aromatics are activated.

Figure 9. MEP generated for toluene and the corresponding Lewis representation of various inductive and resonance possibilities

A question arises in a confusing variance in models; how to classify the alkyl group depends on the source of the classification. Several recent textbooks (Roos & Roos, 2015), (Hornback, 2006), (Chaloner, 2014) consider the Lewis structure as the best guide and classify the group as an inductive donor only (Figure 10, A). Based on the quantitative data (for methyl σp+ = -0.31, F = 0.0, R+ = -0.32; other alkyl groups are similar), alkyl groups can be viewed as neutral according to induction but electron-donating according to resonance (Figure 10, B). To accept this result within this simple framework, we consider it best to follow Mullins advice “Hyperconjugation can be considered within the resonance pillar of organic chemistry” (Mullins, 2008), to simplify the ‘pillars’ of organic chemistry. If a student assigns the methyl group to donate by resonance to the aromatic ring, it should thus be accepted, but one should note the admonition from IUPAC “At present, there is no evidence for sacrificial hyperconjugation in neutral hydrocarbons.” (Müller, 1994).

In a recent article Salvatella(Salvatella, 2017) concluded that alkyl groups are -I +R (i.e. withdraw by induction, donate by resonance) with the caveat that resonance is stronger than induction in this case. This argument is represented in Figure 10, C. Finally, Vollhardt indicates the combination of both effects: “Thus, simple alkyl groups, such as methyl, are donating by virtue of their inductive and hyperconjugating frame.” (Vollhardt & Schore, 2014) This combination is shown in Figure 10, D. The possibility of withdrawal by resonance (hyperconjugation) can be ignored as the overlap has little effect on this system (Nguyen et al., 2007).

Figure 10. Various possibilities for the organization of inductive and resonance effects for methyl substituent (and other alkyl substituents): A=donate by induction, neutral by resonance, B=neutral by induction, donate by resonance, C=withdraw by induction, donate by resonance, D=donate by induction and resonance

What are we to make of these various positions, each supported by references in the chemical literature? The first step is to acknowledge their existence and teach students ‘multiplistic’ or ‘relativistic’ models (Finster, 1989). The induction/resonance model is useful, yet there might be cases where the model breaks down (such as the alkyl group classification). Until IUPAC provides a consensus model, or a new standard model is proposed that becomes incorporated into the organic textbooks, we should admit the limitations and provide flexibility in these cases. Science should be presented as an evolving process of classification, where multiple viewpoints show that there is much more to understand.

Competing effects

As mentioned in all textbooks of organic chemistry, the two main effects sometimes run in opposite directions. We can classify the substituents with competing effects in the lower right quadrant and separate these into three groups (donation > withdrawal, donation ~ withdrawal and withdrawal > donation). For a methoxy substituent, there is a strong donation according to resonance coupled to a withdrawal according to induction. The Lewis representations show these competing effects (Figure 11). Thus, OMe becomes an activating substituent (σp+ = -0.78, F = +0.29, R+ = -1.07), as confirmed with the MEP (Figure 11) showing a heavy electron density (color-coded in red).

Figure 11. MEP generated for anisole and the corresponding Lewis representation of the inductive and resonance effects

In the category of balanced effects, the most important example to show the students is fluorobenzene, for which the qualitative data (sp = -0.07, F = +0.45, R+ = -0.52) indicate almost equal qualitative data between the two effects. The fluoro group is expected to provide both a strong inductive withdrawal and a weak resonance donation (Figure 12) (Rosenthal & Schuster, 2003). Depending on the electrophile, fluorobenzene has approximately the same rate of reaction as benzene in SEAr (from 0.4-1.73 compared to rate = 1 for benzene) (Ault, 1966; Ault, 2004). It is perhaps preferable to consider fluorobenzene as neither activated nor deactivated but rather ‘similar to benzene’. The MEP (Figure 12) confirms the balanced effects.

Figure 12. MEP generated for fluorobenzene and the corresponding Lewis representation of the inductive and resonance effects

Fluorobenzene has been considered to possess almost the same reactivity of benzene, whereas chlorobenzene is considered deactivated. How should we represent the differences? The chloro substituent can be dissected into its stronger inductive and weaker resonance contributions (σp+ = +0.11, F = +0.42, R+ = -0.31), also indicted in the MEP (Figure 13).

Figure 13. MEP generated for chlorobenzene and the corresponding Lewis representation of the inductive and resonance effects

As Gould noted “when the I (inductive) and R (resonance) effects of a substituent are in opposite directions we cannot predict, in the absence of further information, whether that substituent will activate or deactivate the ring” (Gould, 1959). To facilitate this prediction, the substituents with competing effects might be classified in extended version of the effects (Figure 14). One might further divide the lower right-hand corner into three subsets: those that donate greater than their withdrawal, those that withdraw greater than their donation and those for which induction and resonance are almost balanced.

Figure 14. Extended grid showing placement of donation and withdrawal in competition

Another interesting series comprises the oxygen analogues for which substitution on O alters the reactivity pattern. Beginning with phenol, one finds that the -OH substituent strongly activates the aromatic ring. This reactivity is predicted as the reactivity parameters (σp+ = -0.92, F = +0.33, R+ = -1.25) and the MEP surface (Figure 15) exhibit a strong donation.

Figure 15. MEP generated for phenol and the corresponding Lewis representation of resonance effect

However, after a acetylation on the oxygen, the acyl group (Ac) here acts in competition with the aromatic ring to increase slightly the inductive effect but to decrease greatly the resonance effect (σp+ = -0.19, F = +0.42, R+ = -0.61). This decreased resonance donation is generally shown in the Lewis structures of competing resonance (Figure 16).

Figure 16. MEP generated for phenyl acetate and the corresponding Lewis representation of the resonance effects

If one sulfonates the oxygen to form the methanesulfonate group (mesylate, Ms), the donative resonance effects are further decreased below the withdrawing inductive effects (σp+ = +0.16, F = +0.40, R+ = -0.24); the ring can be considered deactivated. The corresponding MEP shows this electron withdrawal, which can be illustrated also in the Lewis resonance structures (Figure 17).

Figure 17. MEP generated for phenyl mesylate and the corresponding Lewis representation of the resonance effects

To place these effects in perspective, we apply the extended grid to arrange the oxygen derivatives (Figure 18). The same trend is predictable for nitrogen derivatives (e.g. -NH2, -NHAc, -NHMs). This fine control of reactivity that depends on the substituents is important in a synthesis. For example, if a phenol is too reactive for a selective SEAr, the oxygen can be derivatized as an ester before another, and more selective, transformation. In a subsequent step, hydrolysis of the ester provides the phenol.

Figure 18. Extended grid showing placement of oxygen derivatives with donation and withdrawal in competition. Ac=acetyl, Ms=methanesulfonyl

Interestingly, the ‘chemical space’ wherein a substituent withdraws by induction and donates by resonance (i.e. the lower right-hand quadrant of the grid) completely overwhelms the known possibilities in which donation according to induction and withdrawal according to resonance occur (i.e. the upper left-hand quadrant of the grid). We could only find one example of the latter substituent type. Highlighting these rarities might prove useful to motivate students to investigate reactivity on their own to fill the grid completely (Figure 19). Activated substituents (approximately centered in the lower left-hand quadrant of grid) and deactivated substituents (approximately centered in the upper right-hand quadrant of grid) are clearly separated.

Figure 19. One possibility of a filled-in extended grid

By spatially dividing the electronic interactions in two-dimensions (Figure 20), students can practice the four essential abilities listed in the Introduction. This approach may be more challenging compared to traditional and simpler memorization approach but it provides more information and perhaps a better presentation of the concepts.

Figure 20. Visual separation of activated/deactivated related to induction/resonance position in grid

Bingo-type games to practice the abilities

Presenting the induction and resonance information in a grid organizes the concept; it allows also an opportunity to play games so that the student can master the abilities required.

Games are an important part of learning and have the advantage of portraying learning as fun (Samide & Wilson, 2014), (Tuomisto, 2016). To be educational, the game must have a learning objective (in this case, the abilities of EAS), pre-requisites (basic knowledge of EAS), structure (a 3x3 grid, games last 15-30 min), pedagogy (varied levels of difficulty, thinking visible through discussion) and social activity (working in groups, all students involved) (Tuomisto, 2016).

Several games have been previously invoked to teach concepts in EAS. The orientation of substitution has been predicted with created bull’s eyes and “zeroing-in” on the regioisomer (Forbes et al., 2007). Synthesis of multi-substituted benzene can be designed using the “Aromatic Substitution Game” (Zanger et al., 1993). In the laboratory, puzzles have illustrated the experimental results of EAS (McGowens & Silversmith, 1998).

In this case, the 3x3 grid allows facile modification to play games with the students. One variation on the assignment is to provide a blank grid and three cards or stamps that correspond to substituted aromatic rings to a group of 2 to 3 students. The rules are to place the substituents in the proper categories while forming a row (vertical, horizontal or diagonal). It is important that the student play the game with a pen or pencil to write the Lewis structures with the appropriate effects, or with access to a computer to check the MEP. The students should be provided with sufficient time to discuss among themselves and to obtain feedback.

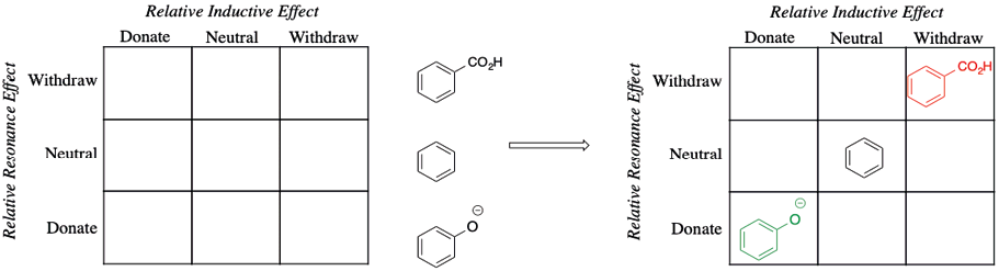
After the structures are placed in the correct positions, the students should be able to predict whether the aromatic rings are activated or deactivated or have the same reactivity as benzene; Figures 21 and 22 show some possibilities. After each game, there should be arranged a discussion to provide further information about the assignments.

Figure 21. Grid showing the placement for three substituents in a vertical row (red = deactivated, green = activated)

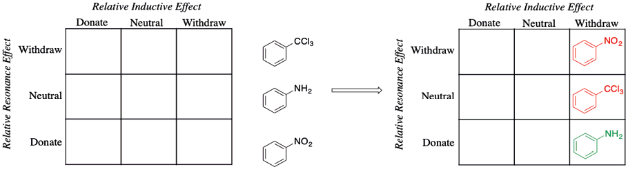
Figure 22. Grid showing the placement for three substituents in a diagonal row (red = deactivated, green = activated)

In another variation, provide each student with an empty grid and announce the substituent group on cards or balls (akin to a reverse-BINGO game). The rules are to show substituents in a series to the students, who try to place correctly three substituents in a row (vertical, horizontal or diagonal) and yell BINGO! If a student can explain his or her choice of the effects to the other students, they win the game. For the more daring, a blackout or cover-all game would require the winner to cover the entire grid.

Conclusion

The amount of information involved in the topic of aromatic chemistry can be overwhelming. To practice the abilities required for the section of SEAr (i.e. use of the terms activated and deactivated, prediction of activation or deactivation, explanation of the reactivity, subsequent application of these effects), it is important that the student first organize the information. Using grids, we provide a method for separating the effects (the position in the grid) and the ability to predict the effects for new substrates. This method is an alternative to memorization of a list and emphasizes the useful ability of separation of induction and resonance for the students to learn.

Associated content

Supporting Information

Supporting Information is available: Data for substituted aromatic rings

Acknowledgments

El Centro de Investigaciones en Productos Naturales and La Escuela de Química, Universidad de Costa Rica provided support. We thank many professors and students at UCR for helpful discussion. We also thank the anonymous reviewers for helpful comments.

References

Anslyn, E. V., & Dougherty, D. A. (2006). Modern Physical Organic Chemistry. Sausalito, CA, USA: University Science Books.

Ault, A. (1966). The Activating Effect of Fluorine in Electrophilic Aromatic Substitution. Journal of Chemical Education, 43(6), 329-330. doi:10.1021/ed043p329

Ault, A. (2004). The Electrophilic Aromatic Substitution of Fluorobenzene. Journal of Chemical Education, 81(5), 644. doi:10.1021/ed081p644.2

Bergwerf, H. (2015). molview.org (Accessed June 15/2020).

Brown, H. C., & Okamoto, Y. (1958). Electrophilic Substituent Constants. Journal of American Chemical Society, 80(18), 4979-4987. doi:10.1021/ja01551a055

Bruice, P. Y. (2016). Organic Chemistry 8th ed. (8th ed.). Upper Saddle River, NJ, USA: Pearson Education.

Chaloner, P. (2014). Organic Chemistry: A Mechanistic Approach. Boca Raton, USA: CRC Press.

D’Amato, E. M., Börgel, J., & Ritter, T. (2019). Aromatic C–H Amination in Hexafluoroisopropanol. Chem. Sci., 10(8), 2424-2428. doi:10.1039/c8sc04966a

Dalvie, D., Nair, S., Kang, P., & Loi, C.-M. (2010). Metabolism, Pharmacokinetics and Toxicity of Functional Groups: Impact of Chemical Building Blocks on ADMET. London: The Royal Society of Chemistry. doi:10.1039/9781849731102-00275

Finster, D. C. (1989). Developmental Instruction: Part 1. Perry’s Model of Intellectual Development. Journal of Chemical Education, 66(8), 659-661. doi:10.1021/ed066p659

Forbes, D. C., Agarwal, M., Ciza, J. L., & Landry, H. A. (2007). Zeroing in on Electrophilic Aromatic Substitution. Journal of Chemical Education, 84(11), 1878-1881. doi:10.1021/ed084p1878

Galabov, B., Nikolova, V., & Ilieva, S. (2013). Does the Molecular Electrostatic Potential Reflect the Effects of Substituents in Aromatic Systems? Chemistry: An European Journal, 19(16), 5149-5155. doi:10.1002/chem.201204092

Gould, E. S. (1959). Mechanism and Structure in Organic Chemistry, 1st ed. New York, USA: Holt, Rinehart and Winston, Inc.

Graulich, N., & Schween, M. (2018). Concept-oriented Task Design: Making Purposeful Case Comparisons in Organic Chemistry. Journal of Chemical Education, 95(3), 376-383. doi:10.1021/acs.jchemed.7b00672

Hansch, C., Leo, A., & Taft, R. W. (1991). A Survey of Hammett Substituent Constants and Resonance and Field Parameters. Chemical Review, 91(2), 165-195. doi:10.1021/cr00002a004

Herráez, A., & Hanson, R. M. (2017). Jmol para enseñar y aprender química. Educació química, 22, 13-21. Retrieved from https://www.raco.cat/index.php/EduQ/article/download/332824/423617

Hornback, J. M. (2006). Organic Chemistry, Second Ed. Belmont, USA: Thomson Brooks/Cole Publishing.

McGowens, S. I., & Silversmith, E. F. (1998). Organic Reactions Involving Bromine: Puzzles for the Organic Laboratory. Journal of Chemical Education, 75(10), 1293-1294. doi:10.1021/ed075p1293

Müller, P. (1994). Glossary of Terms Used in Physical Organic Chemistry (IUPAC Recommendations 1994). Pure Applied Chemistry, 66, 1077-1184. doi:10.1351/pac199466051077

Mullins, J. J. (2008). Six Pillars of Organic Chemistry. Journal of Chemical Education, 85(1), 83-86. doi:10.1021/ed085p83

Nguyen, A. Q., Anh, N. T., & Nguyên, T. A. (2007). Frontier orbitals: A Practical Manual. West Sussex, UK: John Wiley & Sons.

Palopoli, C., Ferreyra, J., Conte-Daban, A., Richezzi, M., Foi, A., Doctorovich, F., . . . Signorella, S. R. (2019). Insights into Second-Sphere Effects on Redox Potentials, Spectroscopic Properties, and Superoxide Dismutase Activity of Manganese Complexes with Schiff-Base Ligands. ACS Omega, 4(1), 48-57. doi:10.1021/acsomega.8b03018

Politzer, P., Abrahmsen, L., & Sjoberg, P. (1984). Effects of Amino and Nitro Substituents upon the Electrostatic Potential of an Aromatic Ring. Journal of American Chemical Society, 106(4), 855-860. doi:10.1021/ja00316a005

Politzer, P., Jayasuriya, K., Sjoberg, P., & Laurence, P. R. (1985). Properties of Some Possible Intermediate Stages in the Nitration of Benzene and Toluene. Journal of American Chemical Society, 107(5), 1174-1177. doi:10.1021/ja00291a015

Remya, G. S., & Suresh, C. H. (2016). Quantification and Classification of Substituent Effects in Organic Chemistry: a Theoretical Molecular Electrostatic Potential Study. Physical Chemistry Chemical Physics, 18(30), 20615-20626. doi:10.1039/C6CP02936A

Roos, G., & Roos, C. (2015). Organic Chemistry Concepts: An EFL Approach. London: Academic Press.

Rosenthal, J., & Schuster, D. I. (2003). The Anomalous Reactivity of Fluorobenzene in Electrophilic Aromatic Substitution and Related Phenomena. Journal of Chemical Education, 80(6), 679-690. doi:10.1021/ed080p679

Salvatella, L. (2017). The Alkyl Group is a –I +R Substituent. Educación Química, 28(4), 232-237. doi: 10.1016/j.eq.2017.06.004

Samide, M. J., & Wilson, A. M. (2014). Games, Games, Games; Playing to Engage with Chemistry Concepts. Chemical Educator, 19, 167-170. doi:10.1333/s00897142552a

Shusterman, A. J., & Hoistad, L. M. (2001). Teaching Chemistry with Electron Density Models. 2. Can Atomic Charges Adequately Explain Electrostatic Potential Maps? Chemical Educator, 6(1), 36-40. doi:10.1007/s00897000442a

Stöver, H. D. H., Matuszczak, S., Willson, C. G., & Fréchet, J. M. (1991). Design of Polymeric Imaging Materials Based on Electrophilic Aromatic Substitution: Model Studies. Macromolecules, 24(8), 1741-1745. doi:10.1021/ma00008a009

Tomberg, A., Johansson, M. J., & Norrby, P.-O. (2018). A Predictive Tool for Electrophilic Aromatic Substitutions Using Machine Learning. Journal of Organic Chemistry, 84(8), 4695-4703. doi:10.1021/acs.joc.8b02270

Tuomisto, M. (2016). Educational Games in Chemistry Education. LUMAT-B: Int. J. Math, Sci. Tech. Educ., 1(3), 1-6. Retrieved from https://www.lumat.fi/index.php/lumat-b/article/view/15

Vollhardt, K. P. C., & Schore, N. E. (2014). Organic Chemistry: Structure and Function 7th ed. New York, NY, USA: W.H. Freeman and Company.

Wheeler, S. E. (2013). Understanding Substituent Effects in Noncovalent Interactions Involving Aromatic Rings. Accounts of Chemical Research, 46(4), 1029-1038. doi:10.1021/ar300109n

Zanger, M., Gennaro, A. R., & McKee, J. R. (1993). The Aromatic Substitution Game. Journal of Chemical Education, 70(12), 985-987. doi:10.1021/ed070p985




Recepción: 2020-04-26. Aceptación: 2020-07-27


[a] Profesor, Escuela de Química, Universidad de Costa Rica. Correo: guy.lamoureux@ucr.ac.cr

[b] Coordinador Laboratorios Química Orgánica, Escuela de Química, Universidad de Costa Rica. Correo: carlos.ariasalvarez@ucr.ac.cr