DOI:http://dx.doi.org/10.22201/fq.18708404e.2020.3.75416

Uso didáctico de reactores agitados continuos para la determinación de cinéticas de reacción heterogénea

Sergio Antonio Baz-Rodríguez[a], Juan Manuel Pérez-Aviña[a], Ángel Guillermo Zitlalpopoca-Soriano[a] y Luis Enrique Vilchiz-Bravo[a]

Resumen

Se describen la modelación, la construcción y el uso de un reactor continuo de tanque agitado para la obtención de datos experimentales de rapidez de reacción heterogénea. En primer lugar, mediante análisis de balances de materia se enfatiza cómo la capacidad de este tipo de reactor de operar en estado estacionario es ventajosa para el estudio de sistemas catalíticos heterogéneos. Consecuentemente, se propone una práctica experimental para determinar ecuaciones de rapidez globales a partir de ecuaciones intrínsecas obtenidas por el método de la etapa limitante. Se emplea un reactor continuo de tanque agitado cuya fabricación y operación son sencillos y se describen a detalle. La hidrólisis de sacarosa se implementa como reacción modelo a 60 °C y 1 atm, siendo de fácil monitoreo. La reacción se cataliza con una resina ácida (Amberlite 120 H, capacidad total de intercambio ≥ 1.80 eq/L). El experimento ilustra una aplicación del método de la etapa limitante para la obtención de ecuaciones de rapidez de reacción global y es una herramienta didáctica para reforzar el aprendizaje práctico en cursos de ingeniería de reacciones heterogéneas.

Palabras clave:

reactor continuo de tanque agitado; reacción heterogénea; ecuación de rapidez de reacción; práctica de laboratorio.

Didactic use of continuous stirred reactors for determining heterogeneous reaction kinetics

Abstract

The modeling, construction and use of a continuous stirred tank reactor for obtaining experimental data of heterogeneous reaction rates are described. Firstly, by means of analyses of material balances it is emphasized how the capacity of this reactor type for the steadiness operation is advantageous for studying heterogeneous catalytic systems. Consequently, an experimental practice for determining global rate equations from intrinsic equations obtained by the limiting step method is proposed. It was employed a continuous stirred tank reactor whose construction and operation are simple and described in detail. The sucrose hydrolysis is implemented as model reaction, at 60 °C and 1 atm, being of easy monitoring. The reaction is catalyzed by an acid resin (Amberlite 120 H, total exchange capacity ≥ 1.80 eq/L). The experiment shows an application of the limiting step method for obtaining global reaction rate equations; it is a didactic tool for reinforcing the practical learning in courses of heterogeneous reaction engineering.

Keywords:

reactive mass transfer, continuous stirred tank reactor, heterogeneous reaction, reaction rate equation.




Introducción

La disponibilidad de datos y ecuaciones predictivas de rapidez de reacción es fundamental para el dimensionamiento de reactores químicos (Vannice, 2005). En concordancia, y desde diferentes puntos de vista, la mayoría de los programas de licenciatura en química y en ingeniería química incluyen en su currícula asignaturas que abordan la cinética de reacciones. En este contexto, la implementación de experimentos de cinética química que refuercen conceptos abordados en el salón de clase es fundamental para un proceso de enseñanza-aprendizaje efectivo.

El ajuste de los parámetros cinéticos de las ecuaciones de rapidez de reacción se define a partir de balances de materia, que a su vez dependen del tipo de reactor empleado en los experimentos de cinética de reacción (Carberry, 1964). Para sistemas reactivos homogéneos, los reactores discontinuos o ‘batch’ son, por mucho, los más versátiles para la determinación de rapidez de reacción. Sin embargo, para sistemas reactivos heterogéneos con partículas catalíticas, la naturaleza transitoria de su operación implica condiciones cambiantes en el exterior de las partículas. En este trabajo se discute cómo esta particularidad puede ser limitante para determinar la cinética en esos sistemas (Mahoney, 1974; Tajbl, Simons, & Carberry, 1966) y cómo la operación estacionaria de reactores continuos de tanque agitado (RCTA) es ventajosa para este tipo de experimentos. Para ejemplificar esta aplicación, se propone una práctica experimental de determinación de rapideces de reacción globales a partir de cinéticas Langmuir-Hinshelwod o Hougen-Watson (etapa limitante) (Hougen & Watson, 1947), empleando un RCTA de fabricación sencilla. Este trabajo propone una alternativa experimental complementaria al empleo de reactores discontinuos (batch), particularmente aplicable en el marco didáctico de cinética de reacciones heterogéneas.

Balances de materia en reactores para la determinación de rapidez de reacción

Considérese un sistema con reacción heterogénea fluido (reactivos) - sólido (catalizador). El balance de materia en estado transitorio de un reactivo químico A en una mezcla fluida e incompresible en un reactor de mezcla perfecta genérico es:

(1)

sujeta a:

(2)

donde cAF es la concentración de A en la mezcla fluida, es el flujo volumétrico que ingresa y abandona el reactor, VMR es el volumen que ocupa la mezcla reactiva dentro del tanque, rAF es la rapidez de reacción por unidad de masa de catalizador referida a la sustancia A en el fluido, ρB es la masa de partículas (en peso seco) por unidad de volumen de mezcla reactiva en el tanque agitado, cAFE es la concentración de A en la corriente de entrada y cAF0 es la concentración inicial de A en el reactor.

En presencia de partículas catalíticas esféricas rAF en la Ecuación (1) equivale a la rapidez de reacción observada o aparente. El balance de la Ecuación (1) está acoplada en la superficie de las partículas con la ecuación de difusión de A en dichas partículas, a saber:

(3)

sujeta a:

(4)

(5)

(6)

donde cAP es el perfil de concentración de A en la partícula catalítica, DEff,A es la difusividad efectiva de A en la partícula, ρP es la densidad de partícula, rAP es la rapidez intrínseca de reacción por unidad de masa de partícula referida a la sustancia A y R es el radio promedio de las partículas. El acoplamiento de las dos ecuaciones de balance de masa se debe a la condición de frontera en la inter-región fluido-partícula (r = R) definida por la Ecuación (5), la cual lleva implícita que la resistencia externa a la transferencia de masa no es significativa. Esto puede ser razonable en sistemas en los que las partículas estén sujetas a una agitación vigorosa dentro del fluido, implicando elevadas velocidades de deslizamiento entre fases y números de Péclet elevados (Belfiore, 2003).

La rapidez de reacción observada (rAF) corresponde al promedio de la rapidez de reacción intrínseca en la partícula catalítica (rAP) en el volumen de la misma (VP) de acuerdo a (Tiscareño-Lechuga, 2008):

(7)

Reactor discontinuo de tanque agitado

Cuando un reactor agitado opera en modo discontinuo, los balances de materia de las Ecuaciones (1)-(7) se reducen a:

(8)

(9)

sujetas a:

(10)

(11)

(12)

(13)

En este modelo pueden identificarse dos tiempos característicos asociados al transporte difusivo de masa y la reacción en la partícula catalítica [Ecuación (9)], a saber,

(14)

(15)

respectivamente. Toda vez que la condición de frontera en la superficie de las partículas es dependiente del tiempo [i. e., cAF = cAF(t) en la Ecuación (12)], la Ecuación (9) no necesariamente alcanzará el estado estacionario. Además, los tiempos característicos de difusión (tDiff) y reacción (tRxn) en muchos casos pueden ser del mismo orden de magnitud. Entonces, la rapidez de reacción observada [definida por la Ecuación (7)] estará acoplada al problema transitorio de transferencia de masa intra-partícula. Solamente estará justificado el empleo de un reactor discontinuo agitado para la obtención de cinéticas de reacción cuando tRxn >> tDiff. Esto se cumplirá si R es muy pequeño y DEff,A es elevada, es decir, si la resistencia intrapartícula a la transferencia de masa no es significativa (valores del módulo de Thiele pequeños). En tal caso, la rapidez observada corresponderá a la rapidez intrínseca. Si lo anterior no se cumple, la transitoriedad del sistema se convierte en una limitante (Weekman, 1974) y será conveniente hacer uso de otra configuración de reactor.

Reactor continuo de tanque agitado en estado estacionario

Cuando el reactor de mezcla perfecta opera de forma continua, y en estado estacionario, la concentración en el interior del tanque es igual en todos los puntos del volumen de la mezcla, pues el cambio de concentración se da en forma de salto desde la concentración de entrada hasta la concentración de la mezcla reactiva de salida. Por lo tanto, la condición de frontera en la inter-región [Ecuación (5)] se mantiene constante. Entonces, los balances de materia de las Ecuaciones (1)-(7) se reducen a:

(16)

(17)

sujetas a:

(18)

(19)

Si se realizan experimentos para determinación de cinética monitoreando la mezcla fluida reactiva a distintas condiciones de flujo volumétrico o tiempo espacial, los datos de concentración obtenidos permitirán el ajuste directo de rAF. Esta rapidez observada, que surge a partir del promedio de rAP [Ecuación (7)], corresponderá a un valor independiente de las escalas características de tiempo del transporte intra-partícula, siendo función únicamente de concentraciones y condiciones de operación del RCTA.

El empleo del RCTA con partículas catalíticas retenidas para obtención de datos cinéticos no es común en experimentos de catálisis heterogénea con fines didácticos. Sin embargo, su homogeneidad espacial es ventajosa (Mahoney, 1974; Tajbl et al., 1966), y el balance estacionario de masa de la fase fluida en este equipo da como resultado un modelo equivalente al de un reactor diferencial, el cual es ampliamente referenciado en libros de texto (Weekman, 1974).

Un reactor agitado continuo sencillo para fines didácticos

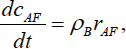
La obtención de datos experimentales para el ajuste de la rapidez de reacción observada usando un RCTA se realiza partiendo de la Ecuación (16) en la siguiente forma:

(20)

donde

(21)

corresponde al tiempo espacial. Con cAFE fija, se evalúan diferentes valores para τ variando el flujo volumétrico de alimentación. El sistema debe, en cada caso, alcanzar el estado estacionario. Esto implica que debe permitirse que el sistema opere durante tiempo suficiente antes de realizar muestreos (cAF). Dicho tiempo suele ser del orden de τ, por lo que es razonable esperar que transcurran algunos tiempos espaciales y hasta entonces realizar muestreos de concentración a la salida del RCTA.[1]

Figura 1. Reactor continuo de tanque agitado: a) tanque principal; b) conjunto de componentes

La rapidez de reacción observada corresponde a un balance entre la entrada y la salida del reactor, según la Ecuación (20). Las concentraciones de salida de los demás componentes de la mezcla reactiva se determinan mediante balances de materia estequiométricos.

Para explorar las ventajas de un RCTA para obtener rapideces de reacción, se construyó un reactor de acero inoxidable para ser agitado magnéticamente sobre una placa de agitación (ver Figura 1a,b). El flujo de entrada y salida se logra con el solo bombeo de la alimentación, y dado que el reactor se sella herméticamente, la mezcla reactiva sale por la única salida por el impulso del flujo de entrada. Esto implica un funcionamiento sencillo, evitando el problema de sellado mecánico del eje de rotor a menudo presente en reactores agitados mecánicamente, y suficientemente ilustrativo para fines didácticos. Los componentes principales son los siguientes:

1. Tanque principal. El equipo empleado consta de un recipiente cilíndrico abierto en su cara superior, con un volumen interno total de 315 mL y fabricado a partir de un tubo de acero inoxidable AISI 304 de 3 pulgadas de diámetro, mismo que fue cortado para obtener un segmento cilíndrico abierto (i). La base del recipiente se fabricó mediante corte y soldadura de una lámina circular de acero inoxidable AISI 304 calibre 18 (ii). El recipiente está provisto de pequeños bafles: cuatro varillas de acero soldadas a la pared interna (iii). En la parte superior, se fabricó una brida con lámina de acero misma que se soldó como reborde circular (iv), con ocho agujeros equiangulares (con respecto al centro del recipiente) para la posterior adaptación de la tapa. Finalmente, en la parte inferior de la pared, cerca de la base se adaptó una entrada, fabricada a partir del corte y soldadura de un segmento roscado de niple ¼ pulgada NPT (v).

2. Tapa del reactor. La tapa del reactor consiste en un disco circular fabricado a partir del corte de lámina de acero inoxidable AISI 304 calibre 18 (vi). Cerca de los bordes, y concordantes con la brida del tanque (iii), se perforaron 8 agujeros para la entrada de tornillos. En el centro de la tapa, se adaptó una salida, fabricada a partir del corte y soldadura de un segmento roscado de niple ¼ pulgada NPT (vii).

3. Sellado. El cierre y sello del reactor se logra atornillando la tapa con la brida, usando tornillos de 3 mm con cabeza hexagonal, con sus respectivas roldanas y tuercas. De por medio, entre tapa y brida, se coloca un sello anular de neopreno (viii) para asegurar hermeticidad. Cuando la finalidad del equipo es emplearlo con partículas catalíticas debe agregarse junto al sello una malla para su retención. También, previo al cierre y sellado debe introducirse al recipiente una barra de agitación magnética (ix).

4. Conexiones para manguera. La conexión con mangueras de corriente de entrada y salida (poliuretano ¼” NPT TIUB07, SMC Pneumatics) se logra mediante conexiones rápidas de ¼ pulgada de rosca hembra a conexión push-in (x).

La hidrólisis de sacarosa como reacción modelo

Una gran cantidad de procesos con reacción en la industria química suelen operar a altas temperaturas y/o presiones, con reactivos gaseosos costosos o de manejo delicado, o con requerimientos de análisis instrumental poco accesibles en laboratorios de docencia en Latinoamérica. Y aunque en la literatura existen valiosas propuestas de experimentos didácticos con este tipo de sistemas, puede ser conveniente o hasta necesario implementar experimentos que no tengan requerimientos de operación y monitoreo muy especializados y que a la vez ejemplifiquen claramente los conceptos fundamentales de cinética de reacciones heterogéneas.

Una reacción de implementación sencilla es la inversión o hidrólisis de sacarosa (A), la cual es catalizada en medio ácido de acuerdo a la siguiente estequiometría global:

(22)

Como productos se obtienen los dos monómeros del carbohidrato original, a saber, glucosa (C) y fructosa (D). Esta reacción puede llevarse a cabo empleando resinas ácidas como catalizador heterogéneo. Muy importante: se lleva a cabo a condiciones de operación suaves (presión y temperaturas moderadas) y los reactivos son inocuos y baratos.

La hidrólisis de sacarosa con resinas catalíticas ha sido previamente estudiada con fines de generación de conocimiento (Gilliland, Bixler, & OConnell, 1971; Khan & Rahman, 1996; Reed & Dranoff, 1964) y aplicaciones de docencia (Mendes, Magalhaes, & Madeira, 2003).

La evaluación de mecanismos o etapas de reacción para deducir la forma de una ecuación de rapidez intrínseca es un aspecto que puede explorarse. Se sabe que usando resinas catalíticas el cambio global puede describirse por las siguientes etapas (Kim, El-Aasser, Klein, & Vanderhoff, 1988):

(23)

(24)

La obtención de expresiones de rapidez se consigue aplicando el método de la etapa controlante, o cinéticas Langmuir-Hinshelwood-Hougen-Watson (Vannice, 2005), para obtener las siguientes ecuaciones:

(25)

(26)

para las etapas 1[Ecuación (23)] y 2 [Ecuación (24)] como limitantes, respectivamente. Como parte de la práctica de laboratorio, los estudiantes deducen las Ecuaciones (25) y (26). Si bien estas ecuaciones describen la rapidez intrínseca (validas en la escala de la superficie catalítica) y por lo tanto referidas a concentraciones intra-partículas locales (cAP, cBP, cCP, cDP), es posible conservar la misma forma para expresar la rapidez de reacción observada, ahora en términos de concentraciones en el fluido (cAF, cBF, cCF, cDF):

(27)

(28)

Las implicaciones de esta consideración se describen de forma breve en el Anexo. Además de las Ecuaciones (27) y (28), si se considera únicamente la estequiometría global como reacción elemental, la rapidez observada puede expresarse como:

(29)

Una vez obtenidos datos experimentales, los estudiantes deben comparar los tres ajustes de parámetros y elegir cuál representa mejor los datos experimentales.

Procedimiento experimental y cálculos

La implementación experimental se llevó a cabo usando el reactor agitado continuo escala laboratorio descrito anteriormente, con el catalizador confinado dentro del mismo. En la Figura 2 se esquematiza el sistema experimental empleado, adaptable a los recursos disponibles en laboratorios de docencia. En este caso particular, se usó la infraestructura del laboratorio de Ingeniería Química de la Facultad de Ingeniería Química de la Universidad Autónoma de Yucatán. De forma general, el procedimiento de la práctica de laboratorio es:

1. La mezcla reactiva, consistente de una solución de 50 g/L (0.146 mol/L) de sacarosa (puede usarse azúcar refinada) se vierte en el tanque de alimentación del sistema (i). Esta mezcla se suministra al reactor mediante una bomba dosificadora (ii), la cual debe estar previamente calibrada. La calibración de la bomba, por ejemplo una de diafragma, por lo general se realiza a partir de los tiempos que esta tarda en verter un volumen fijo del fluido a diferentes condiciones de pulsos por unidad de tiempo. Tomando como referencia el volumen efectivo del reactor (VMR), la bomba debe tener un rango de operación de flujo volumétrico () que permita operar tiempos espaciales [Ecuación (21)] de 5, 9, 13, 17 y 21 minutos en el RCTA.

2. La mezcla reactiva se ingresa al reactor fijando el primer tiempo espacial (5 min). El tanque del reactor contiene la barra de agitación magnética y las partículas de catalizador (iii). El catalizador empleado en esta práctica es la resina catalítica Amberlite 120 H (capacidad total de intercambio ≥ 1.80 eq/L, 1 kg ~ 80 USD), la cual puede ser reusada si al final de la práctica se trata con varios ciclos de lavado con agua destilada y filtrado al vacío, mas un secado al final (en estufa con vacío a 60 °C por 24 horas). La relación de masa de catalizador por unidad de volumen total de la cámara de reacción es de 10.2 g/L, en base seca. Previo a su incorporación al reactor, la resina debe secarse (en estufa con vacío a 60 °C por 24 horas), hincharse en agua (4.5 g de resina por cada 100 ml de agua durante 3 horas) y filtrarse al vacío para retirar el agua excedente. El volumen de las partículas hinchadas se obtiene por diferencia entre el volumen de la resina más el agua durante el hinchamiento menos el volumen del agua excedente que se obtiene de la filtración. El volumen efectivo del reactor (VMR) se obtiene restando el volumen de las partículas catalíticas hinchadas y de la barra magnética al volumen total de la cámara de reacción. La densidad de lecho (ρB) se obtiene dividiendo la masa de catalizador (base seca) entre el volumen total del tanque del reactor (sin el volumen de la barra magnética).

Figura 2. Esquema experimental para la práctica de laboratorio

3. El reactor se agita vigorosamente usando una parrilla de agitación magnética grande (iv). Asimismo, se debe agregar una malla para la retención de partículas junto al sello, la cual debe atravesar el área transversal de la brida (v). Esta malla puede ser un círculo de tela tipo tul fina (poliéster) cortado a la medida e incorporado junto con el empaque de neopreno.

4. El control de temperatura se realiza sumergiendo el reactor en un baño de temperatura constante (vi). La temperatura del baño se mantiene fija a 60 °C usando un serpentín conectado a un termo-recirculador externo de agua de calentamiento (vii). El baño de agua se contiene en un recipiente plástico o una nevera portátil pequeña.

5. Una vez que el sistema opera de forma continua durante algunos tiempos espaciales, se retiran muestras por triplicado a la salida del reactor, a las cuales se les mide enseguida el ángulo de desviación de luz con un polarímetro; en el caso de este trabajo se empleó un AP-300, Atago Co., lámpara de sodio, 589 nm (viii). El monitoreo de las concentraciones se basa en la diferente respuesta óptica a la luz polarizada de las tres especies involucradas en la reacción: la sacarosa (reactivo, dextrógiro), la glucosa (producto, dextrógiro) y la fructosa (producto, levógiro). Debido a que la fructosa produce un ángulo de rotación en diferente dirección y de mayor magnitud que la glucosa, la mezcla reactiva va reduciendo su ángulo de rotación conforme la reacción transcurre (Mendes et al., 2003).

6. Cuando se han retirado las muestras de corriente de salida y medido su ángulo de desviación de luz polarizada, se cambia el flujo volumétrico para fijar al siguiente valor de t, repitiendo el proceso de operación y muestreo, y así sucesivamente hasta abarcar todos los valores de t.

7. Una vez evaluado el último tiempo espacial, se detiene la alimentación de la bomba, y el reactor se opera como discontinuo al menos durante 2.5 horas. Entonces se mide por duplicado el ángulo de desviación de luz de dos muestras de su contenido. Se repite el muestreo 15 minutos después y así sucesivamente hasta verificar que no haya variación significativa en la medición polarimétrica.

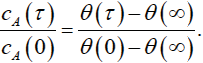
8. Se calculan las concentraciones en la mezcla reactiva para cada valor de t. El ángulo de desviación de luz, θ, puede expresarse como una función lineal de las concentraciones de cada especie ópticamente activa:

(30)

donde Λi (i = A, C, D) son constantes auxiliares. A partir del balance estequiométrico, se sabe que:

(31)

Sustituyendo la Ecuación (31) en la Ecuación (30) y factorizando, se obtiene que:

(32)

Teniendo en cuenta que csac(∞) = 0, finalmente se tendrá que (Daniels, Williams, Bender, Alberty, & Cornwell, 1970):

(33)

La Ecuación (33) permite relacionar el ángulo de desviación de luz a cada tiempo espacial τ con la concentración de glucosa en la muestra. El ángulo θ(0) corresponde a la medición en una muestra que no ha entrado al reactor (y por tanto su tiempo espacial es cero), esto es, a 50 g/L. El ángulo θ(∞) corresponde a la medición en una muestra en la cual ya se ha llevado a cabo completamente la reacción (con tiempo espacial ‘infinito’, obtenida en el paso 7). Por balances de materia, se calculan cC(τ), cC(τ) y cB(τ).

En la Tabla 1 se muestran los datos experimentales promedio obtenidos por estudiantes que llevaron a cabo el experimento como parte de la asignatura de Ingeniería de Reactores Heterogéneos en la Facultad de adscripción de los autores (período enero-mayo 2020). El exceso de agua (B) implica que el cambio en su concentración será muy pequeño, pudiendo incluso considerarse pseudo-constante.

Tabla 1. Resultados experimentales

τ (min)

θ- (°)

cA (mol/L)

cB (mol/L)

cC, cD (mol/L)

0

3.215 ± 0.007

0.146

52.778

0

5

2.990 ± 0.000

0.131

52.762

0.015

9

2.820 ± 0.000

0.119

52.751

0.027

13

2.610 ± 0.000

0.105

52.736

0.041

17

2.485 ± 0.007

0.096

52.728

0.050

21

2.275 ± 0.007

0.082

52.713

0.064

1.080± 0.000

0

52.632

0.146

8. Los estudiantes realizan el ajuste de parámetros para las Ecuaciones (27)-(29) a partir de datos de rapidez catalítica de reacción [Ecuación (20)] y de las concentraciones determinadas en el paso anterior. El ajuste puede llevarse a cabo usando una hoja de Excel, en la cual se minimice la suma del cuadrado de los errores:

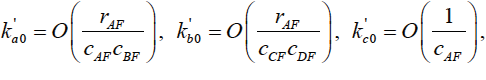
(34)

Las constantes de rapidez pueden ajustarse usando Solver de Excel. Debido a la no-linealidad de las ecuaciones de rapidez y a que están implicados varios parámetros, es importante tener cuidado con los valores de prueba iniciales (ki0, i = a, b, c). Como ejemplo, para la Ecuación (28) puede ser conveniente proponer valores que cumplan los siguientes órdenes de magnitud:

(35)

que se obtienen igualando el orden de magnitud del numerador con un promedio de la rapidez de reacción, e igualando el orden de magnitud de los términos del denominador.

En la Tabla 2 se muestran resultados del ajuste de parámetros reportados por los estudiantes. El mejor ajuste fue al considerar como limitante la etapa reacción-desorción según gráficamente y dado el menor valor del error cuadrático medio (EMC) del ajuste (ver Figura 3). Aunque para el conjunto de etapas descritas por las Ecuaciones (23) y (24) es conocido que esta etapa es la limitante y es irreversible (Kim et al., 1988), el caso invita a analizar desde el punto de vista didáctico el desempeño de ecuaciones globales obtenidas usando el método de la etapa limitante, ampliamente empleado en la enseñanza de catálisis heterogénea. Evidentemente, la etapa de adsorción no es limitante pues no describe el conjunto de datos y dos de sus tres parámetros son nulos. En todo caso, es equivalente a un ajuste considerando la reacción global como elemental (ver Figura 3), que para concentración en exceso de agua se convierte en la cinética de pseudo-primer orden clásica que se reporta para esta reacción (ver Tabla 2) (Gilliland et al., 1971; Khan & Rahman, 1996; Mendes et al., 2003; Reed & Dranoff, 1964).

Comentarios finales

Los sistemas continuos son más adecuados para experimentos de ajuste de parámetros en sistemas de catálisis heterogénea, y pueden implementarse de forma sencilla en laboratorios de docencia. En este artículo se propone la construcción de un RCTA sencillo y práctico de acero inoxidable, que también puede construirse a un costo accesible en vidrio soplado, impresión 3D, o adaptarse con cristalería de laboratorio existente.

Desde el punto de vista de ingeniería de reacciones, también se ilustra una aplicación sencilla de los balances de materia de reactores continuos. Las implicaciones de modelación de la transferencia de especies químicas en partículas catalíticas y en el medio fluido agitado que las contiene (de flujo continuo o discontinuo) son aspectos importantes que los estudiantes deben comprender a fondo.

Tabla 2. Ajuste de parámetros

Parámetro

Adsorción controlante
Ecuación (27)

Reacción-Desorción controlante
Ecuación (28)

Reacción global elemental
Ecuación (29)

ka

2.7 × 10-4 L/(g-cat·s)

2.857 × 10-4 L2/(mol·g-cat·s)

5.113 × 10-6 L2/(mol·g-cat·s)

kb

0

0

------

kc

0

502.1879 L/mol

------

Figura 3. Resultados experimentales y predicciones de la rapidez de reacción observada

Finalmente, las reacciones catalíticas heterogéneas operadas a condiciones de operación suaves facilita la implementación experimental sin riesgos de seguridad importantes. En este trabajo, la hidrólisis de la sacarosa se sugiere como reacción modelo, empleando un reactivo económico e inocuo. La reacción puede monitorearse mediante polarimetría, inclusive con un medidor económico de glucosa sanguínea (Heinzerling, Schrader, & Schanze, 2012). Además, si se consideran las etapas de adsorción-reacción-desorción con la cual esta reacción se lleva a cabo se puede ilustrar experimentalmente la aplicación del método de la etapa limitante para la obtención de cinéticas de reacción globales. Esto es relevante, pues muestra la utilidad práctica al trabajo algebraico, a veces un tanto tedioso, que se asocia a la deducción de ecuaciones de rapidez a partir de mecanismos de reacción.

Referencias

Belfiore, L. A. (2003). Transport Phenomena for Chemical Reactor Design. John Wiley & Sons, Inc.

Carberry, J. J. (1964). Designing laboratory catalytic reactors. Industrial and Engineering Chemistry, 56(11), 39–46. http://doi.org/10.1021/ie50659a007

Daniels, F., Williams, J. W., Bender, P., Alberty, R. A., & Cornwell, C. D. (1970). Experimental Physical Chemistry (7th Ed.). McGraw-Hill.

Gilliland, E. R., Bixler, H. J., & OConnell, J. E. (1971). Catalysis of Sucrose Inversion in Ion- Exchange Resins. Industrial Engineering Chemistry Fundam., 10(2), 185–191.

Heinzerling, P., Schrader, F., & Schanze, S. (2012). Measurement of enzyme kinetics by use of a blood glucometer: hydrolysis of sucrose and lactose. Journal of Chemical Education, 89, 1582–1586. http://doi.org/10.1021/ed200735f

Hougen, O. A., & Watson, K. M. (1947). Chemical Process Principles, Part 3: Kinetics and Catalysis (1st ed.). John Wiley & Sons.

Khan, S. H., & Rahman, K. (1996). Inversion of sucrose solution by ion exchange: evaluation of reaction rate and diffusivity. Chemical Engineering J, 61, 7–12.

Kim, J. H., El-Aasser, M. S., Klein, A., & Vanderhoff, J. W. (1988). Sulfonated latex particle as acid catalysts for the continuous inversion of sucrose. Journal of Applied Polymer Science, 35, 2117–2131. http://doi.org/10.1002/app.1988.070350812

Mahoney, J. A. (1974). The use of a gradientless reactor in petroleum reaction engineering studies. Journal of Catalysis, 32, 247–253. http://doi.org/10.1016/0021-9517(74)90073-6

Mendes, A., Magalhaes, F. D., & Madeira, L. M. (2003). Sucrose inversion: An experiment on heterogeneous catalysis. International Journal of Engineering Education, 19(6), 893–901.

Reed, E. W., & Dranoff, J. S. (1964). Ion exchange resin catalysis of sucrose inversion in fixed beds. Industrial and Engineering Chemistry Fundamentals, 3(4), 304–307. http://doi.org/10.1021/i160012a004

Tajbl, D. G., Simons, J. B., & Carberry, J. J. (1966). Heterogeneous catalysis in a continuous stirred tank reactor. Industrial and Engineering Chemistry Fundamentals, 5(2), 171–175. http://doi.org/10.1021/i160018a003

Tiscareño-Lechuga, F. (2008). ABC para Comprender Reactores Químicos con Multireacción. Editorial Reverté - Instituto Tecnológico de Celaya.

Vannice, M. A. (2005). Kinetics of Catalytic Reactions. Springer Science + Bussiness Media, Inc.

Weekman, V. W. (1974). Laboratory reactors and their limitations. AIChE Journal, 20(5), 833–840. http://doi.org/10.1002/aic.690200502

Anexo

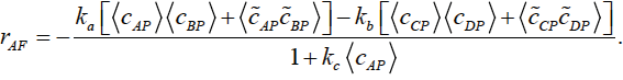
Considérese la aplicación de la Ecuación (7) a la rapidez intrínseca definida por la Ecuación (28):

(A1)

Si cada concentración local se descompone en su promedio a lo largo de la partícula más la diferencia relativa ():

(A2)

se sustituye en la Ecuación (A1) y se desarrolla, se tendrá:

(A3)

Si se cumple que:

(A4)

entonces:

(A5)

La restricción dada por la Ecuación (A4) implica que las concentraciones promedio deben ser al menos uno o dos órdenes de magnitud mayores a las diferencias relativas de concentración.

Teniendo en cuenta que un promedio puede considerarse aproximadamente constante dentro de otro operador de promediado:

(A6)

y que los promedios de las diferencias relativas son iguales a cero:

(A7)

la Ecuación (A5) queda:

(A8)

Las diferencias relativas de concentración pueden expresarse como el producto de una función de la posición multiplicada por las concentraciones promedio

(A9)

de donde se tiene que:

(A10)

(A10)

Por último, al ser valores fijos para una condición de operación dada y las características morfológicas particulares de la partícula, las concentraciones promedio en la partícula guardan una relación proporcional con las concentraciones superficiales, de modo que:

(A11)

de donde se tiene que:

(A12)

Finalmente, esta Ecuación es equivalente a la Ecuación (28), donde:

(A13)

(A14)

(A15)

Un análisis similar puede realizarse para obtener la Ecuación (27) a partir de la Ecuación (25).




Recepción: 26/03/2020. Aceptación: 18/05/2020.


[a] Universidad Autónoma de Yucatán

[1] Esto es aceptable cuando las condiciones de operación e iniciales de los experimentos conducen al mismo estado estacionario estable. Las implicaciones de multiplicidad de estados estacionarios en un RCTA quedan fuera del alcance de esteartículo.