DOI: http://dx.doi.org/10.22201/fq.18708404e.2021.3.72021
José Luís García García[a]
Resumen |
Las conversiones entre unidades de concentración son un problema, tanto a nivel educativo como al nivel profesional, pues se emplean tradicionalmente técnicas numéricas, que son triviales, y pueden causar problemas incluso para individuos con entrenamiento. En este artículo planteamos una propuesta algebraica, deducir todas las conversiones de las unidades de concentración más comunes en un sistema líquido, y luego poner a prueba dichas fórmulas numérica y dimensionalmente. La aplicación de estas ecuaciones a problemas numéricos, permite un análisis dimensional explícito de situaciones que en algunas fuentes no tienen sentido dimensional, aunque numéricamente sean correctas. |
Palabras clave: |
Conversiones de unidades, concentración molar, concentración molal, fracción molar, análisis dimensional. |
Deducting the relationships between the concentration units in liquid solutions |
|
Abstract |
Conversions between concentration units are problematic, both at school and professional level, since numerical techniques are traditionally used, which are numerically trivial, they can be problematic even for professionals. In this paper, we propose an algebraic alternative, it is to deduce all the conversions of the most common concentration units in a liquid system, and then test them numerically and dimensionally. The application of these equations to numerical problems allows an explicit dimensional analysis to situations that in some sources do not have dimensional sense, although they are numerically correct. |
Keywords: |
Unit conversions, molar concentration, molal concentration, mole fraction, dimensional analysis. |
Introducción
Las conversiones entre unidades de concentración son un problema a varios niveles, Korbag y Saleh (2017) señalan que convertir unidades relevantes para la biología como partes por millón (ppm) y concentración molar (ci) aun al interior de científicos entrenados puede llegar a ser retador. Tradicionalmente, los factores de conversión son herramientas analíticas poderosas, empleadas para resolver estas situaciones, pero carecen de la capacidad de aislar la parte analítica “álgebra” de la parte numérica “trivial”, en otras palabras, aun cuando demostremos que se puede obtener una determinada concentración empleando otra, eso no implica que podamos trasferir esa estrategia a ejercicios semejantes o a otros tipos de conversiones entre unidades de concentración. Concordamos con Korbag y Saleh (2017) en que es necesario generar una tabla o formulario que permita resolver este tipo de problemas, pero nuestro enfoque está más relacionado con justificar analíticamente la validez de esas fórmulas, que en resolver problemas numéricos con ellas.
Tabla 1. Tabla de nomenclatura y unidades de los símbolos y variables empleados en las ecuaciones. La mayoría de los símbolos son tomados de las recomendaciones de la IUPAC en el Libro de Oro, excepto aquellas relacionadas con la concentración equivalente que son autodefiniciones para este artículo. Se emplearán subíndices para diferenciar el soluto (i) el solvente (ii) y los totales irán sin subíndice.
|
Variable |
Símbolo de Magnitud |
Unidades |
Variable |
Símbolo de Magnitud |
Unidades |
|
Masa |
m |
g, kg |
Cantidad de sustancia |
n |
mol |
|
Volumen |
V |
ml,L |
Densidad |
ρ |
|
|
Masa molar |
M |
g/mol |
Fracción de masas |
w |
Adimensional |
|
Fracción de volumen |
Φ |
Adimensional |
Concentración de masa |
γ |
|
|
Partes por millón |
ppm |
adimensional |
Concentración equivalente |
ε |
eq/L |
|
Concentración molar |
c |
mol/L |
Equivalente molar |
em |
eq/mol |
|
Equivalentes |
e |
eq |
Factor equivalente |
fe |
mol/eq |
|
Fracción molar |
x |
Adimensional |
Peso equivalente |
ew |
g/eq |
|
Concentración molal |
b |
mol/kg |
Equivalentes |
e |
eq |
Nuestro objetivo es generalizar algebraicamente el trabajo hecho por Korbag y Saleh (2017) generando una tabla de conversiones, amplia y flexible, basándonos en una hipótesis matemática simple, todas las unidades de concentración son interconvertibles, dadas los datos auxiliares necesarios como densidades o masas molares. La tabla de conversiones hipotética toma la siguiente estructura general.
Tabla 2. Tabla hipotética de resultados de conversiones de las unidades de concentración más conocidas. Esta tabla defiende la hipótesis de que cualquier unidad de concentración dada puede ser expresada como una función dependiente de la concentración de soluto expresada en cualquier otra unidad de concentración, por ejemplo c (Φi) representaría la función para calcular la concentración molar en términos de la fracción de volumen.
|
Calcular wi |
Calcular Φi |
Calcular γi |
Calcular ci |
Calcular εi |
Calcular bi |
Calcular xi |
|
|
con wi |
Definición de wi |
Φ(wi) |
γ (wi) |
c (wi) |
ε (wi) |
b (wi) |
x (wi) |
|
con Φi |
w (Φi) |
Definición de Φi |
γ (Φi) |
c (Φi) |
ε (Φi) |
b (Φi) |
x (Φi) |
|
con γi |
w (γi) |
Φ(γi) |
Definición de γi |
c (γi) |
ε (γi) |
b (γi) |
x (γi) |
|
con ci |
w (ci) |
Φ(ci) |
γ (ci) |
Definición de ci |
ε(ci) |
b (ci) |
x (ci) |
|
con εi |
w (εi) |
Φ(εi) |
γ (εi) |
c (εi) |
Definición de εi |
b (εi) |
x (εi) |
|
con bi |
w (bi) |
Φ(bi) |
γ (bi) |
c (bi) |
ε (bi) |
Definición de bi |
x (bi) |
|
con xi |
w (xi) |
Φ(xi) |
γ (xi) |
c (xi) |
ε (xi) |
b (xi) |
Definición de xi |
La tabla 2, no solo resume la hipótesis principal, también nos permite plantear una hipótesis secundaria:
Uso de las recomendaciones de la IUPAC
Cuando trabajas las unidades de concentración te encuentras con definiciones como:
|
(1) |
|
Las cuales son indudablemente útiles a la hora de hacer cálculos triviales, pero que resultarían engorrosos a la hora de hacer un tratamiento algebraico, donde por algebraico entenderemos inicialmente, el uso de símbolos abstractos para representar cantidades, es decir, en lugar de usar la palabra molaridad, emplear un símbolo de variable, o como lo llaman en física, una magnitud, la cual representará una cantidad infinita de entidades triviales compuestas por un valor y una unidad. Este uso del álgebra tan elemental en física como decir que v(3s) = 4 m/s es poco empleado en las unidades de concentración. Unidades como la concentración molar, normal, o molal son representadas por los símbolos de sus unidades y no por sus símbolos magnitud, a tal punto que, es poco conocido que la propia IUPAC ha publicado recomendaciones para dichos símbolos en su texto denominado “Compendio de Terminología Química de la IUPAC, el Libro de Oro” (IUPAC, 2019). En este artículo usaremos las recomendaciones del Libro de Oro donde sea posible, y donde no, plantearemos unas definiciones que intenten seguir la misma estructura.
Fracción de masas
El libro de Oro la define como (w) “Masa de un constituyente dividida por la masa total de todos los constituyentes de la mezcla”. Esta unidad de concentración es adimensional:
|
(2) |
|
Aunque normalmente la masa total emplea un subíndice de totalidad como (T), hemos decidido expresar las totalidades sin subíndice para disminuir la carga simbólica de las ecuaciones. Adicionalmente la masa total es una propiedad aditiva.
La notación pp
La notación parte por no se considera como parte del sistema internacional de unidades, y no es reconocida por el Libro de Oro, a tal punto que no aparece entrada alguna sobre ella, aunque sigue siendo de uso muy común a nivel técnico, pero es extremadamente problemática debido a que no es una unidad propiamente dicha, sino un modo alternativo de una notación científica, por ejemplo partes por ciento representa 102 o partes por millón 106. Al ser una alternativa de la notación científica para indicar, concentraciones bajas en términos de enteros simples, la notación pp puede afectar no solo a la fracción de masas (w), la fracción de volumen (Φ), o la concentración de masas (γ), sino virtualmente cualquier unidad de concentración. Debido a este efecto tan general, proponemos el uso de la notación informal de variable (ppyz):
|
(3) |
ppyzi = zi 10y |
Donde (pp) representa parte por, (y) el nombre de la potencia (o su valor de potencia en 10y) y (z) se reemplaza por la unidad de concentración afectada. De esta manera al despejar la unidad de concentración afectada obtendremos una fórmula sencilla para convertir la notación (pp) a su unidad base, que es como el Libro de Oro define y recomienda a las unidades de concentración, y como las trabajaremos a un nivel algebraico. Adicionalmente, debemos tener en cuenta que, al ser un reemplazo de una notación científica, la notación (pp) es adimensional, por lo que aun unidades tan famosas como partes por ciento, deberán expresar sus valores adimensionalmente, y sin el uso de % en la operación matemática, aunque luego si se reporten tradicionalmente.
Fracción de volumen y su relación con w
El libro de oro la define como (Φ) “Volumen de un componente de una mezcla dividido por la suma de los volúmenes de todos los componentes antes de mezclar”. Esta unidad de concentración es adimensional:
|
(4) |
|
Cuando trabajamos disoluciones líquidas debemos tener en cuenta que los volúmenes no son aditivos debido a las interacciones coligativas entre soluto y solvente, y por ende, el volumen total del soluto estará vinculado a la densidad total (ρ), sin embargo cuando trabajamos gases, los volúmenes si son aditivos. Las dos relaciones de la fracción de masas se obtendrán reemplazando la masa por lo que vale en términos de volúmenes y densidades respectivos para soluto puro (mi= ρi Vi) y total (m = ρ V):
|
(5) |
|
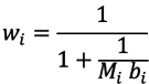
Por lo tanto, la función (w (Φi)) toma la forma:
|
(6) |
|
Y la función inversa (Φ(wi)):
|
(7) |
|
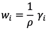
Concentración de masas y su relación con w
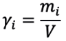
El Libro de Oro la define como (γ, ρ) “Masa de un constituyente dividida por el volumen de la mezcla”. Usaremos gamma para evitar confusiones con las densidades del soluto puro o de la solución total.
|
(8) |
|
Esta unidad de concentración es dimensional, pero sus unidades se expresan de manera implícita en varias fuentes, por ejemplo, podemos tener cosas como 20 % m/V, evidentemente si eliminamos el porcentual nos quedamos con 0,20 m/V, y una razón para esto es que las densidades pueden ser expresadas en g/ml o kg/L sin que el valor cambie. La relación con wi se obtiene semejante a la fracción de volumen, pero solo usaremos la densidad total (m = ρ V), dejando la masa del soluto sin afectar:
|
(9) |
|
Por lo tanto la función (w(γi)) toma la forma:
|
(10) |
|
Y la función inversa (γ (wi)):
|
(11) |
γi = wi ρ |
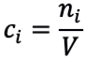
Concentración molar y su relación con w.
El Libro de Oro la define como concentración de cantidad de sustancia (c) “Cantidad de un componente dividida por el volumen de la mezcla. También se llama concentración de cantidad de sustancia, concentración de sustancia (en química clínica) y, en la literatura anterior, molaridad.”
|
(12) |
|
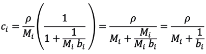
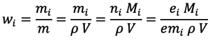
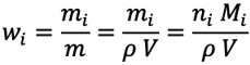
Esta unidad es dimensional, pero maneja dos tipos de unidad, la derivada y las fundamentales (aunque litro no es unidad fundamental de volumen, la manejaremos como tal para poder contrastar M con mol/L). las dos unidades de (ci) se debe a dos tipos de uso común, mol/L es útil en cálculos de unidades de concentración como es el foco de este texto, pero M no cursiva y sin subíndice para diferenciarla de la masa molar (Mi), es más práctica en situaciones de titulación volumen a volumen. La relación con (wi) se obtiene usando la densidad total (m = ρ V) y la masa molar (mi= ni Mi):
|
(13) |
|
Por lo tanto la función (w(ci)) toma la forma:
|
(14) |
|
Y la función inversa (c (wi)):
|
(15) |
|
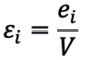
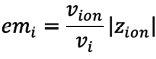
Concentración equivalente y su relación con w
El Libro de Oro no la define, pero tradicionalmente se define como la cantidad de equivalentes sobre el volumen de la solución. Dado que no tenemos una definición para su símbolo de magnitud, proponemos (ε) que indica que se trata de una concentración de equivalentes. A sí mismo, los equivalentes son un valor relacionado a la cantidad de cargas, por lo que también deberemos proponer un símbolo para su magnitud, que sea diferente del de su unidad. Por comodidad la magnitud número de equivalentes será (ei) y estará medida en unidades equivalentes eq.
|
(16) |
|
Esta unidad es dimensional, pero maneja dos tipos de unidad, la derivada y las fundamentales, debido a dos tipos de uso común, eq/L es más útil en cálculos de unidades de concentración, pero N no cursiva y sin subíndice para diferenciarla del número de partículas elementales (Ni), es más práctico en situaciones de titulación volumen a volumen. La relación con (wi) se obtiene usando la densidad total (m = ρ V), la masa molar (mi= ni Mi) y un concepto extra que puede ser el factor equivalente (fei), la masa equivalente (ewi) o el equivalente molar (emi). De los tres el equivalente molar es el más útil, ya que es homólogo a la masa molar debido a que tiene al menos dos formas de calcularlo, y una de ellas depende de una ecuación de disociación iónica. Las tres definiciones algebraicas en términos de masas o cantidades de sustancia serían:
|
(17) |
|
|
(18) |
|
|
(19) |
|
Sin embargo, ninguna de estas definiciones realmente nos permite poder sacar la relación equivalente y cantidad de sustancia de un soluto ionizable, por lo que proponemos una segunda definición del equivalente molar.
|
(20) |
|
Esta segunda definición si tiene términos que salen en una ecuación química de disociación iónica siendo estos: el coeficiente estequiométrico del soluto ionizable (vi) “que generalmente es 1 pero no siempre”; el coeficiente estequiométrico de uno de los iones (vion); y el valor absoluto del número de carga del mismo ion (zion) expresado en unidades eq/mol. Los términos (vion) y (zion) deben obtenerse el mismo ion, de lo contrario el cálculo no funciona, adicionalmente se debe tener en cuenta que (vcation* zcation= vanion * zanion) lo cual implica que las cargas positivas y negativas se conservan. La definición (19) nos permite expresar la cantidad de sustancia (ni= ei/emi):
|
(21) |
|
Así pues la función (w (εi)) toma la forma:
|
(22) |
|
Y la función inversa (ε (wi)):
|
(23) |
|
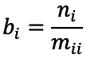
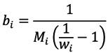
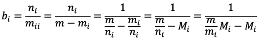
Concentración molal y su relación con w
El Libro de Oro la define como (b) “Cantidad de entidades de un soluto dividida por la masa del solvente”. Aunque la podemos definir más como cantidad de sustancia del soluto en términos de la masa del solvente en kilogramos.
|
(24) |
|
Esta unidad es dimensional, pero maneja dos tipos de unidad, la derivada y las fundamentales. La unidad derivada se denomina molal (símbolo m) pero no es aconsejable debido a que tiende a confundirse con los símbolos de masa. Sus unidades fundamentales serán mol/kg. Algebraicamente esta puede ser una conversión retadora, debido a que involucra la mayor cantidad de transformaciones, pero la clave radica en conocer la definición de la masa molar (Mi= mi/ni) y en dividir el numerador y el denominador entre la cantidad de sustancia del soluto.
|
(25) |
|
Por lo tanto la función (b(wi)) toma la forma
|
(26) |
|
Despejar (wi) para obtener (w (bi)) puede ser más difícil que deducirla a partir de la definición de (wi), por lo que también mostraremos la deducción inversa completa:
|
(27) |
|
Por lo tanto la función (w (bi)) toma la forma
|
(28) |
|
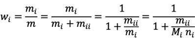
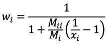
Fracción molar y su relación con w
El Libro de Oro la define como fracción de cantidad de sustancia (X, x) “Cantidad de un componente dividida por la cantidad total de todos los componentes de la mezcla. También se le llama fracción molar. La fracción de cantidad es igual a la fracción numérica: el número de entidades de un constituyente dividido por el número total de entidades en la mezcla”. Si trasladamos estas dos definiciones a una notación algebraica tendremos:
|
(29) |
|
La fracción molar es adimensional. Junto con la molalidad su demostración es retadora, pero sigue las mismas dos estrategias anteriores:
|
(30) |
|
Por lo tanto la función (x (wi)) toma la forma:
|
(31) |
|
Despejar (wi) para obtener (w (xi)) puede ser más difícil que deducirla a partir de la definición de (wi), por lo que también mostraremos la deducción inversa completa:
|
(32) |
|
Por lo tanto la función w (bi) toma la forma
|
(33) |
|
Composición de funciones
Con esto hemos deducido la primera columna y la primera fila de la tabla 2, sin embargo, aún quedan las demás funciones. Estas funciones pueden completarse tomando la definición de la primera celda de su columna y la primera celda de su fila, por ejemplo, para la concentración molar en términos de la concentración molal del soluto c (bi) tomaremos la ecuación (28) y reemplazaremos su valor en la ecuación (15):
|
(34) |
|
Con lo cual obtenemos c (bi):
|
(35) |
|
Esta estrategia nos puede permitir deducir la mayoría de las funciones de la tabla 2, excepto b(xi) y x(bi), no porque sea matemáticamente imposible, sino porque es matemáticamente engorroso, así que estas dos las deduciremos a partir de sus definiciones:
|
(36) |
|
Con lo que obtenemos x(bi):
|
(37) |
|
|
(38) |
|
Con lo cual obtenemos b(xi).
|
(39) |
|
Sin embargo, debido a lo extenso que resultaría colocar todas las deducciones faltantes de la tabla 2, resumiremos las funciones resultantes que obtuvimos al aplicar la estrategia de igualación de funciones en la tabla 3.
Tabla 3. Tabla de resultados de relación es de unidades de concentración para las disoluciones líquidas
Aun se necesitan algunos factores de conversión
Aunque el uso de fórmulas elimina la necesidad de depender de factores de conversión de manera exclusiva, aun deberemos emplear dos, las conversiones entre ml y L cuando interviene la concentración molar o la concentración equivalente, y la conversión entre g y kg cuando interviene la concentración molal.
Uso de la notación ppyz
Korbag y Saleh (2017): El ion Ca2+ tiene una concentración de 0.01 M. ¿Cuál es la concentración de ion Ca2+ en ppm? Primero debemos pensar ¿Cuál pp? Dado que el calcio es un ion no podrá tener partes por millón en fracción de volumen, por lo que hay dos pp posible, el que afecta a la fracción de masa y el que afecta a la concentración de volumen.
|
(68) |
ppmwi = wi 106 |
|
(69) |
ppmγi = γi 106 |
Las dos fórmulas anteriores pueden igualarse con las ecuaciones 14 y 45.
|
(70) |
|
|
(71) |
ppmγi = ci Mi 106 |
Dada la información disponible en el enunciado, la ecuación (71) es la única aplicable, ya que desconocemos la densidad total de esa solución. Usaremos la concentración molar con unidades fundamentales 0.01 mol/L y una masa molar sacada de la tabla periódica como 40.1 g/mol
|
(72) |
|
Para poder usar la ecuación (70) necesitamos indagar la densidad total o aproximarla significativamente. Según (Engineering ToolBox, 2017) la densidad de las soluciones con iones calcio es cercana a 1 g/ml, siempre y cuando la concentración empleada sea cercana a cero en partes por ciento en fracción de masa. Si eso es cierto, entonces ppmw (Ca2+) es significativamente igual a ppmγ (Ca2+). Esto implica que numéricamente la propuesta de Korbag y Saleh (2017) es válida, pero las unidades empleadas en su cálculo no permiten un adecuado análisis dimensional, ni discernir claramente si, se pretende usar la fracción de masas o la concentración de masas en la notación pp, que, aunque numéricamente sean semejantes, en términos formales tienen diferentes definiciones.
Poniendo a prueba las fórmulas de la tabla 3
Para poner a prueba las fórmulas de la tabla 3, es necesario buscar un caso que permita el cálculo de todas las variables fundamentales de una disolución (o al menos la mayoría), calcular las unidades de concentración por su definición y posteriormente, calcular las unidades de concentración restantes con cada unidad de concentración. Para realizar esto, tomamos la tabla de densidades de soluciones de etanol en agua (Engineering ToolBox, 2019) para una temperatura de 20 °C, la cual contiene las densidades de etanol puro y de agua pura a esa misma temperatura. Con estas tres densidades podemos plantear una solución arbitraria de 70,0 g de agua y 17,5 g de etanol, con lo cual obtenemos una solución ajustada a una fracción de masas al 0,2 (o 20% como se expresa en dicha tabla). Con esos datos podemos plantear la siguiente tabla de unidades fundamentales:
Tabla 4. Valores fundamentales para una solución de etanol en agua al 20% en fracción de masa a 20°C.
|
Masa (g) (kg) |
Densidad a 20°C (g/ml) (g/L) |
Volumen (ml) (L) |
Cantidad de sustancia (mol) |
Masa molar (g/mol) (kg/mol) |
|
|
Soluto (Etanol) |
17.5 0.0175 |
0.789 789 |
22.2 0.0222 |
0.380 |
46.1 0.0461 |
|
Solvente (agua) |
70.0 0.0700 |
0.998 998 |
70.1 0.0701 |
3.88 |
18.0 0.0180 |
|
Solución |
87.5 0.875 |
0.969 969 |
90.3 0.0903 |
4.26 |
Evidentemente debido a que el etanol es un soluto molecular no podríamos evaluar las ecuaciones de la concentración equivalente. Sin embargo, para poder poner a prueba las ecuaciones de concentraciones equivalentes, es decir por motivos únicamente didácticos, asumiremos que el etanol tiene un equivalente molar de 2 eq/mol, nuevamente esto es únicamente para corroborar que las ecuaciones de la concentración equivalente estén bien planteadas, sin embargo, debemos calcular la cantidad de equivalentes (ei) para una cantidad de sustancia de 0.38 mol, aplicando la definición (19) tendríamos un valor de 0.76 eq.
Tabla 5. Tabla de resultados de relación es de unidades de concentración para las disoluciones líquidas. Los cálculos de esta tabla se realizaron reemplazando los valores numéricos y unidades pertinentes de la tabla 4 en las ecuaciones de la tabla 3. Los cálculos de esta tabla fueron realizados manualmente empleando una calculadora científica típica (CASIO fx-82ES), por lo que se presentaron discrepancias en el tercer dígito significativo en algunos casos, pero al realizarla en EXCEL los resultados fueron exactos. En el análisis dimensional se cancelaron implícitamente las unidades de cocientes de variable semejante con unidad semejante.
Resultados y Análisis
Teniendo en cuenta los resultados de la tabla 3, y la tabla 5, podemos afirmar que la hipótesis principal de este artículo fue demostrada exitosamente: todas las unidades de concentración son interconvertibles, dadas los datos auxiliares necesarios, aunque debemos destacar que, aunque los cálculos que involucran a la concentración equivalente son inválidos, estos demuestran que las ecuaciones están bien planteadas.
En cuanto a la segunda hipótesis, solo pudimos plantear el ejemplo de una demostración, la demostración de la ecuación (35), debido a cuestiones de extensión del artículo, sin embargo esta misma estrategia permitió obtener la mayoría de las definiciones de la tabla 3, con excepción de (x (bi)) y (b(xi)), debido a que la ruta de igualación genera una función difícil de simplificar, por lo anterior podemos afirmar que usamos exitosamente la hipótesis de: ciertas funciones pueden obtenerse como igualación de dos funciones relacionadas, siendo estas funciones relacionadas en nuestro caso, la primera celda de la columna y la fila respectiva, aunque es posible realizarlo con otras relaciones de columna/fila.
La estructura de la tabla 3, nos permite evaluar cualitativamente la dificultad que estudiantes y profesionales enfrentan a la hora de abarcar estos conceptos, inicialmente aunque varias relaciones pueden resolverse por la llamada regla de tres, muchas otras tienen más de tres términos necesarios para su cálculo, adicionalmente, y excluyendo a la notación partes por, tenemos 49 relaciones fundamentales en disoluciones líquidas, un profesor a lo sumo podría explicar 5 o 6 situaciones, por ejemplo, las funciones donde la variable independiente es la fracción de masas afectada por partes por ciento en fracción de masas (ecuaciones 68, 2, 7, 11, 15) puesto que un problema de este tipo genera un patrón encadenado, donde la respuesta de un punto, se convierte en el dato para el siguiente, sin embargo, nunca será posible explicar numéricamente las 49 situaciones básicas, sin contar con las modificaciones impuestas por la notación partes por.
Los resultados de la tabla 5 a veces presentan discrepancias en el último dígito significativo de tres usados, lo cual implica que aun con los errores introducidos naturalmente al redondear, el nivel de error no supera el 1% y es más cercano al 0,1%.
La propuesta algebraica también tiene ventajas en términos de computabilidad, pues se trata de un sistema de ecuaciones interrelacionado, más fácil de convertir al lenguaje de las hojas de cálculo como Excel, que una solución numérica, además que sería completamente factible crear una calculadora de unidades de concentración universal, siempre y cuando se tenga una base de datos para términos como las densidades, las masas molares y los equivalentes molares.
Las ecuaciones aquí expresadas tienen una limitante importante, presuponen un sistema de disoluciones líquidas donde los volúmenes totales no son aditivos, sin embargo, esto es diferente en un sistema gaseoso, por lo que las unidades de concentración de gases tendrán sus propias relaciones de conversión, cuestión que esperamos abordar en artículos futuros, así como la implementación de los instrumentos aquí presentados en un caso de aula.
Otro detalle a tener en cuenta es que algunos solutos no permitirán obtener ciertas unidades de concentración, por ejemplo, un soluto sólido no ionizable no podría tener fracciones de volumen ni concentraciones equivalentes.
Para finalizar terminamos con la misma acotación de Korbag y Saleh (2017) “Este artículo de revisión está escrito para ser leído por cualquier persona que tenga una idea de los principios básicos de la química general y analítica. Este artículo es una capacitación práctica para químicos, técnicos, científicos, estudiantes, maestros o ingenieros para la solución rápida de cálculos de conversión complicados.”
Referencias
Engineering ToolBox. (2017). Density of aqueous solutions of inorganic sodium salts. Retrieved from https://www.engineeringtoolbox.com/density-aqueous-solution-inorganic-sodium-salt-concentration-d_1957.html
Engineering ToolBox. (2019). Density of Ethanol Water Mixtures. Retrieved September 8, 2020, from https://www.engineeringtoolbox.com/ethanol-water-mixture-density-d_2162.html
IUPAC. (2019). (S. J. Chalk, Ed.) (2nd ed.). Compiled by A. D. McNaught and A. Wilkinson. Blackwell Scientific Publications, Oxford. Retrieved from http://goldbook.iupac.org/
Korbag, I., & Saleh, S. M. (2017). Designing simple equations to fully understand the conversions among common concentration units. Libyan Journal of Science & Technology, 6(1), 14 -18. https://bit.ly/2Tzmv4f.
Recepción: 19-11-2019
Aceptación: 22-03-2021
Cómo citar
García García, J. L. (2021, julio-septiembre). Deduciendo las relaciones entre las unidades de concentración en disoluciones líquidas. Educación Química, 32(3). http://dx.doi.org/10.22201/fq.18708404e.2021.3.72021.
[a] Docente de Química, Institución Educativa Distrital Venecia, Bogotá Colombia. Miembro del grupo IREC, Universidad Pedagógica Nacional, Bogotá Colombia. https://cienciasdejoseleg.blogspot.com/. Contacto: jl.garcia40@yahoo.es.