DOI:10.22201/fq.18708404e.2020.2.71678

Enseñanza de la validación de métodos analíticos: protocolos experimentales de química forense

Irma Cruz Gavilán García[a] y Norma Ruth López Santiago[b]

Resumen

En este trabajo es presenta una propuesta de protocolos experimentales en el contexto de la Química Forense para el desarrollo y validación, en los que se abordaron de forma adicional aspectos integradores de la carrera de química y de la aplicación de los mismos a situaciones plausibles en la realidad, para resaltar la importancia de la generación de resultados confiables que soporten la controversia jurídica. El proceso de enseñanza y aprendizaje se alcanza, ya que al final el estudiante es capaz de obtener los parámetros de validación para el tipo de pruebas cualitativas que se establecen en lo protocolos propuestos.

Palabras clave:

Química forense, validación, protocolo experimental.

Teaching the validation of analytical methods: experimental protocols of forensic chemistry

Abstract

This document presents a proposal of experimental protocols in the context of Forensic Chemistry for the development and validation, in which additional aspects of the chemistry career and the application of these to plausible situations were addressed in order to highlight the importance of generating reliable results that support legal controversy. The teaching and learning process is achieved since, in the end, the student is able to obtain the validation parameters for the type of qualitative tests established in the proposed protocols.

Keywords:

Forensic chemistry, validation, experimental protocol.




Introducción

La Ciencia Forense es un campo interdisciplinario que involucra a la física, la biología, la química, las matemáticas y otras ciencias de frontera, su objetivo es apoyar las investigaciones relativas a la justicia civil y criminal (Dutelle, 2016).

En este sentido, un Químico que se desarrolla en las ciencias forenses es un profesional que identifica, caracteriza y analiza indicios obtenidos en el lugar de los hechos y llega a una conclusión a través del estudio técnico-científico (AAFS, 2010; Costa et al, 2010; Sebastiany et al, 2013;). Así mismo, es indispensable que el Químico Forense sea capaz de dar respuesta rápida en la interpretación de indicios, utilizando métodos validados con resultados trazables metrológicamente para la toma de decisiones con relación a la aceptación/rechazo de pruebas que permitan asegurar la confiabilidad del dictamen final.

La UNAM, como institución educativa pública, tiene entre sus responsabilidades y compromisos sociales cumplir con la formación de profesionistas que tengan la capacidad de investigar, explicar y atender los problemas que afectan al país dentro de los más diversos ámbitos. Uno de los mayores retos de esta institución es educar para la democracia promoviendo, desde sus aulas, incidir en la legalidad y los derechos (UNAM, 2013).

El perfil de los egresados de la Facultad de Química de la UNAM aseguran la formación de profesionistas integrales que puedan demostrar conocimientos teóricos y dominio técnico aplicados en distintas áreas (Garritz, 2001; FQ-UNAM, 2019), como la forense.

Al hablar de perfil profesional, hacemos referencia al conjunto de capacidades y competencias que identifican la formación de una persona para asumir, en condiciones óptimas, las responsabilidades propias del desarrollo de funciones y tareas de una determinada profesión (Díaz, 2006).

La asignatura de Analítica Experimental III (clave 1802), que se imparte en la Facultad de Química de la UNAM, juega un papel primordial en la mancuerna enseñanza-aprendizaje de la validación de métodos analíticos mediante estrategias tanto teóricas como prácticas, ya en que se integran los conocimientos adquiridos por los estudiantes en materias previas para desarrollan el dominio de las habilidades del trabajo en el laboratorio y el pensamiento crítico para la resolución de problemas reales con el enfoque de formación profesional (FQ-UNAM, 2019).

El objetivo del trabajo es presentar una propuesta de protocolos experimentales en el contexto de la Química Forense para el desarrollo y validación de métodos analíticos para la asignatura de Analítica Experimental III, en los cuales se abordan aspectos integradores de la carrera (estadística, química analítica, metrología, entre otros) y de aplicación de los mismos a situaciones plausibles en la realidad , así los estudiantes pueden darse cuenta de la importancia de la generación de resultados confiables que soporten la controversia jurídica.

Metodología

El alcance de este trabajo se centra en el curso de Analítica Experimental III, que se ofrece como asignatura obligatoria a partir del 8º semestre, con el requisito de haber cubierto en 100% del tronco común y el 60% de las asignaturas del currículo de la carrera de Química (FQ-UNAM, 2019).

La metodología desarrollada inicia con la selección de las pruebas forenses, el diseño optimización de los protocolos experimentales y tomando como base los siguientes aspectos: a) tiempos de realización e infraestructura disponible en el laboratorio y b) habilidades y conocimientos previos que requiere el alumno, en la Tabla 1 se describe cada etapa.

Tabla 1. Metodología para el desarrollo de los protocolos

Etapa

Descripción

1

Diseño de los protocolos didácticos:

a) Descripción del lugar de la invesigación (escena del crimen)

b) Selección de pruebas químicas/físicas para el análisis de indicios

2

Optimización y validación de pruebas:

a) Pruebas presuntivas para sustancia controladas (drogas)

b) Pruebas para el análisis de polímeros

c) Pruebas para el análisis de textiles

3

El análisis de indicios llevado al aula:

a) Implementación de protocolos en grupos piloto

b) Proceso enseñanza aprendizaje

A continuación, se describe de manera general cada una de las etapas antes mencionadas:

1. Diseño de los protocolos didácticos

El primer reto de nuestro trabajo consistió en el diseño de una herramienta didáctica que permitiera presentar el caso de un posible delito a investigar y a su vez aplicar el método científico para plantear una hipótesis derivada de la observación de fenómenos en los que se pueda soportar técnicamente conclusiones para cada caso. Se trabajó en el diseño de protocolos didácticos para el análisis de indicios en los cuales se consideró pertinente tener como elementos indispensables los siguientes apartados:

a) Lugar de la investigación (escena del crimen). Este apartado consiste en la presentación descriptiva del sitio de un posible acto delictivo, dicha sección será el detonante del investigador policiaco que todos los estudiantes llevan dentro. El planteamiento del escenario no es trivial, debe ser diseñado cuidadosamente para describir la situación del delito a esclarecer y que estuviera relacionado con el tipo de pruebas, ya sea químicas o físicas que se le realizaran a cada indicio por analizar. Las escenas posicionan al estudiante en un caso “real”, como aquellos que se encuentran en el quehacer diario de un profesionista del área forense, con el fin de dar un toque interesante a cada protocolo, en el cual se aplicaran los conocimientos de forma inmediata para dar un resultado sustentado sobre la naturaleza del indicio, resolución que se pide al final de la práctica.

b) Selección de pruebas químicas/físicas para el análisis de indicios. En un acto delictivo los indicios que se encuentran en el lugar de los hechos son el mejor recurso para esclarecer lo sucedido. Para nuestra propuesta se pensó en dos tipos de indicios, por un lado, sustancias controladas (drogas) y por otro materiales poliméricos y textiles, naturales y sintéticos. Los métodos de identificación de éste tipo de hallazgos se clasifican, de forma general, en dos grandes categorías: instrumentales y químicos, se escogieron métodos pertenecientes a la segunda clasificación, pruebas a la gota, para el caso de sustancias controladas debido a la simplicidad de éstas, su rapidez y viabilidad para ser llevadas en campo y los bajos costos. Para el caso de indicios, específicamente fibras y polímeros, se decidió realizar análisis cualitativos para identificar las muestras a partir de dos pruebas complementarias: combustión, densidad y solubilidad.

Una vez delimitados los escenarios de los diferentes protocolos experimentales y definidas las pruebas tanto químicas como físicas para analizar los indicios, se procedió como segunda etapa a realizar la optimización y validación de cada una éstas.

2. Optimización y validación de pruebas.

Dado el carácter cualitativo de las pruebas seleccionadas, las validaciones implicaron la obtención de parámetros de desempeño diferentes a los que se obtienen generalmente para los ensayos cuantitativos, siendo necesario aplicar conceptos no tan comunes, tanto al describir las propiedades del método como para la interpretación de los resultados, un método cualitativo proporciona una respuesta contundente de “Sí”/”No”, por lo que la etapa de validación representó un reto para los académicos y estudiantes involucrados (Román et al, 2017).

Los planes de validación, dependiendo de cada prueba, incluyeron algunos de los parámetros recomendados en la Guía de Validación de método analíticos de la Eurachem (Eurolab, 2016) para métodos cualitativos, así como los tradicionalmente indicados para métodos cuantitativos, tales como:

Índice de Falsos Negativos: Falsos Negativos * 100/ total de negativos conocidos

Índice de Falsos Positivos: Falsos Positivos * 100/ total de positivos conocidos

3. El análisis de indicios llevado al aula.

a) Implementación de protocolos en grupos piloto. La validación analítica de los protocolos diseñados se implementó en los semestres 2017-1 a 2019-1, con la participación de estudiantes de octavo semestre, en el marco del curso experimental de Analítica Experimental III, clave 1802. Se formaron equipos cada semestre para llevar a cabo la validación durante el curso, finalizando con la entrega del informe correspondiente al protocolo validado.

b) Proceso enseñanza aprendizaje. La propuesta de protocolos representó una oportunidad para llevar a la práctica el razonamiento hipotético-deductivo en un curso experimental, es decir, dada una situación particular, aplicar conocimientos y visualizar, en lo abstracto, los resultados posibles.

Resultados

1. Diseño de los protocolos didácticos

La primera etapa de la metodología estuvo enfocada al diseño de los protocolos, los cuales tienen como elemento central la descripción del escenario y las pruebas para la identificación de los indicios obtenidos. A continuación, la tabla 2 enlistan las secciones que integran los protocolos propuestos.

Tabla 2. Secciones que integran los protocolos propuestos.

Sección

Descripción

Sección

Descripción

Objetivos particulares

Se enlistan las metas que se esperan lograr cuando el alumno desarrolle dicha práctica.

Procedimiento

Se detalla los pasos a seguir tanto para preparar los reactivos en caso necesario, como para realizar las pruebas de identificación.

Antecedentes

Se introduce el fundamento de la prueba a tratar y se ahonda en los fenómenos fisicoquímicos a llevar a cabo.

Resultados

Se presentan tablas que el alumno ha de llenar con sus observaciones, con el fin de encaminarlo hacia un resultado final.

Escenario

Se describe a detalle el lugar de la investigación que se va a analizar.

Residuos

Se enlista el tratamiento para desechar cada uno de los residuos generados.

Material y reactivos

Se enlistan los requerimientos para el trabajo experimental.

Cuestionario

Se presentan preguntas para que el alumno de un resultado final y como complemento a lo aprendido en la práctica.

Código de riesgos

Lista de los códigos de riesgo de los reactivos.

Bibliografía

En las Tablas 3, 4 y 5, se presenta en forma resumida los diferentes escenarios planteados para ser esclarecidos y las pruebas que deberán ser realizadas para llegar a emitir el resultado.

Tabla 3. Elementos del protocolo de identificación de sustancias controladas.

Protocolo

Identificación de sustancias controladas

Descripción del escenario

La semana pasada la Policía Federal localizó tres plantíos de amapola, con una extensión cercana a los 110 m2 y con un aproximado de 220 plantas, en el municipio de Ensenada, Baja California. En las inmediaciones de las plantaciones se encontró una casa que al parecer servía también de laboratorio para la producción de heroína. 15 de las plantas encontradas y varias muestras recogidas en el laboratorio fueron puestas a disposición de la Fiscalía General de la República (FGR) para la integración de la averiguación previa y para continuar las investigaciones.

Pruebas a realizar

a) Reacción con cloruro férrico

b) Reacción con ácido nítrico

Indicios por analizar

Muestra patrón, que da reacción positiva; 5 muestras problema y bicarbonato de sodio.

Interrogantes a resolver

¿Cuál(es) de las muestras presenta un grupo fenol en su estructura?, ¿se puede asegurar o no que en ese laboratorio se estuvieran sintetizando derivados de morfina?

Materiales probados

Acetaminofén, 2-fenilfenol y vainillina como estructuras análogas a morfina.

Tabla 4. Elementos del protocolo de identificación de polímeros

Protocolo

Identificación de polimeros

Descripción del escenario

El pasado domingo por la mañana fue hallado el cuerpo sin vida de una joven al lado del canal de aguas negras en el poblado de San Juan, en Otzolotepec, en el Valle de Toluca. La joven llevaba desaparecida tres días; su cuerpo presentaba signos de haber sido golpeada. El principal sospechoso del secuestro y asesinato de la joven es su exnovio, quien trabaja como vigilante de una bodega de una recicladora de PET cercana a la zona donde fue encontrado el cadáver. En el calzado que llevaba la joven se encontraron restos de viruta de material plástico que se presume provienen de haber estado en la bodega donde trabaja su exnovio por lo que se han mandado a identificar al laboratorio forense.

Pruebas a realizar

a) Prueba de densidad

b) Prueba de combustión

Indicios por analizar

Cinco muestras problema y indicios obtenida en el lugar de la investigación

Interrogantes a resolver

Determinar el tipo de polímero de cada muestra problema y los indicios. Dar un resultado sobre la implicación del sospechoso en el delito.

Materiales probados

Poliestireno de alta densidad (HDPE), Polipropileno (PP), Polietilentereftalato (PET), Poliestireno (PS), Poliestireno de alto impacto (HIPS) y Poliestireno expandido.

Tabla 5. Elementos del protocolo de identificación de textiles

Protocolo

Identificación de textiles

Descripción del escenario

En la residencia del afamado escritor Gabriel García Márquez, ubicada al sur de la ciudad, se reportó el robo de la medalla de oro otorgada al Premio Nobel, la cual se presume fue extraída por unos ladrones el fin de semana que la casa se encontraba sola. Se presume que brincaron la cerca perimetral de la vivienda. Los investigadores de la escena encontraron entre el alambre de púas que rodeaba la casa un trozo de ropa desgarrada. A unas cuadras de a escena se detuvo a un sospechoso que merodeaba por la zona y el cual había sido reportado por los vecinos, se señaló que la ropa que vestía estaba desgarrada.

Pruebas a realizar

a) Prueba de solubilidad

b) Prueba de combustión

Indicios por analizar

Cinco fibras patrón, muestra obtenida en el lugar de la investigación del delito y muestra de la ropa del sospechoso.

Interrogantes a resolver

Determinar el tipo de fibra de cada una de las muestras. Discernir si la muestra obtenida en el lugar de la investigación coincide con la del sospechoso

Materiales probados

Lana, rayón, algodón, nylon, poliéster, polipropileno, lino y una mezcla de algodón/poliéster.

2. Optimización y validación de pruebas

Dentro del curso experimental anteriormente señalado, los estudiantes llevaron a cabo la validación de acuerdo con las siguientes etapas:

Tabla 6. Plan de validación del protocolo de identificación de polímeros.

Pruebas de densidad (polímeros y disoluciones)

Parámetro

Hacer

Cálculos realizados

Criterio de aceptación

Decisión

Precisión

Evaluar la cualidad esperada para cada muestra de polímero en cada disolución.

10 veces para cada polímero

Índice de falso positivos

Índice de falsos negativos

Se prefiere que las probabilidad de caer en estos errores sean las mínimas posibles (< 30%)

El criterio es aceptado.

Los índices positivos y negativos son menores al 30%

Sensibilidad diagnóstica

Sensibilidad Diagnóstica

Se busca una probabilidad alta >70% de encontrar la cualidad real cuando existe

Se cumple con el criterio, existe una sensibilidad del 100%

Especificidad

diagnóstica

Especificidad Diagnóstica

Se busca una probabilidad alta >70% de no encontrar valores reales cuando no existen

Se cumple con el criterio, existe una sensibilidad del 100% para cada polímero en cada disolución

Límite de corte

Realizar 10 mediciones de cada muestra en cada una de las disoluciones

Trazar el gráfico de límite de corte considerando en cada ensayo positivo = 1, negativo = 0

Gráfica donde se asigne el valor de las ordenada al origen 1 a la cualidad buscada (flotar) y 2 al defecto de la cualidad buscada (sumergirse) vs las abscisas valor de densidad para las disoluciones dadas

Se obtuvieron y graficaron los intervalos de corte para cada polímero

Modificado de (Román et al, 2017)

Tabla 7. Validación de la prueba de ácido nítrico, utilizando acetaminofén como analito

Parámetro

Resultado

Criterio de aceptación

Intervalo de concentraciones

8.3-116.7 μg/mL

NA

r2

0.9978

0.98

Límite de Detección (μg/mL)

0.87

NA

Límite de Cuantificación (μg/mL)

1.73

NA

Sesgo relativo (%)

1.55

10

Repetibilidad (%) 

1.14

3.20 

Reproducibilidad (%) 

2.63

7.37

DER. Desviación estándar relativa

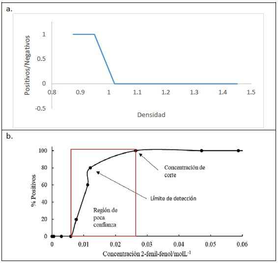
Figura 1.- Intervalo de corte.: a) Prueba identificación de polímeros (semestre 2017-1) y b) Pruebas a la gota para la identificación de sustancias controladas (semestre 2017-2).

3. El análisis de indicios llevado al aula

La implementación de los protocolos diseñados se aplicó con en grupos piloto, los detalles se presentan en la Tabla 8.

Tabla 8. Información de los cursos

Semestre

No. de estudiantes

Prueba validada

Material generado por el estudiante

2017-2

2018-1

2018-2

2019-1

17

(promedio por grupo)

Identificación de polímeros

  • Protocolo preliminar
  • Plan de validación
  • Bitácora de trabajo
  • Manejo estadístico de los resultados
  • Informe de validación

Identificación de sustancias controladas.

Identificación de textiles

La implementación permitió que los alumnos fortalecieran los conocimientos de química analítica, estadística y buenas prácticas de laboratorio obtenidos en semestres anteriores y adquirir nuevos como la validación de métodos cualitativos aplicado a pruebas presuntivas de química forenses, por lo que resulto una experiencia totalmente integradora.

El proceso de enseñanza y aprendizaje se alcanza, ya que al final el estudiante es capaz de obtener los parámetros de validación para el tipo de pruebas cualitativas que se establecen en lo protocolos propuestos, tal como lo señala el programa de la asignatura de Analítica Experimental III, logra completar un informe de validación con la estadística básica que permitan estimar la confiabilidad de sus datos, reportando finalmente un procedimiento normalizado de cada protocolo.

La propuesta presentada se ha probado con éxito durante los semestres 2017-1 a 2019-1, esto se puede afirmar por que los estudiantes al término del curso son capaces de integrar y aplicar sus conocimientos cuando están a un paso terminar la carrera.

Conclusiones

Los resultados de la propuesta de enseñanza con protocolos experimentales en el contexto de la Química Forense para el desarrollo y validación de métodos analíticos despertaron el interés y la curiosidad de los estudiantes al poder aplicar sus conocimientos previos de forma simultanea de forma integradora, para aprender la validación de un método que será empleado en una situaciones plausibles en la realidad que lo conducen a la toma de decisiones basadas en pruebas contundentes. El proceso de enseñanza y aprendizaje se alcanza, ya que al final el estudiante es capaz de obtener los parámetros de validación para el tipo de pruebas cualitativas que se establecen en lo protocolos propuestos.

Conflicto de intereses

Los autores declaran no tener ningún conflicto de intereses.

Agradecimientos

Este trabajo fue realizado gracias al apoyo de la DGAPA de la UNAM a través de los proyectos PAPIME PE204718 “Estrategia de enseñanza de la química forense experimental” y PE201618 “Enseñanza de la validación de métodos analíticos”. A los estudiantes del grupo 06 del curso de Analítica experimental III de los semestres 2017-1 a 2019-2, así como a Antonio Reyna, Lorena Román, Janette Fragoso y Antonio Carmona.

Referencias

American Academy of Forensic Science, consultada en 10 de agosto de 2016, en la URL www.aafs.org

Costa, l., Marciano, e., Carneiro, g., Sousa, r., & Nunes, S. (2010). A Química Forense como unidade temática para o desenvolvimento de uma abordagem de Ensino CTS em Química Orgânica. XV Encontro Nacional de Ensino de Química (XV ENEQ)–Brasília, Brazil, 21-24.

Dutelle, A. W. (2016). An introduction to crime scene investigation. Jones & Bartlett Publishers.

Díaz Barriga, A. (2006). “El enfoque de competencias en la educación. ¿Una alternativa o un disfraz de cambio?” Perfiles educativos, Vol. XXVIII, No. 111, 7-36.

Eurolab España. P.P. Morillas y colaboradores. (2016). Sitio web de Eurachem. Consultada el 11 de septiembre de 2016, en la URL www.eurachem.org

FQ-UNAM. (2019). Facultad de Química-UNAM. Recuperado el 15 de 10 de 2019, de https://quimica.unam.mx/ensenanza/licenciaturas-de-la-facultad-de-quimica/quimica/

Garritz R. A., (2001). La educación de la Química en México en el siglo XX. Revista de la Sociedad Química de México, Vol. 45, Núm. 3 (2001) 109-114

UNAM. Plan de Estudios de la Licenciatura en Ciencia Forense, Facultad de Medicina (2013). Consultada el 16 de febrero de 2017, en la URL http://oferta.unam.mx/carreras/92/ciencia-forense

Román Franco, J., López-Santiago, N., Gavilán García, I., Fragoso Lugo, J., & Carmona González, J. (2017). Validación del método de identificación y caracterización de polímeros por medio de sus propiedades físicas y químicas mediante pruebas de combustión y densidad. Memorias del XXX Congreso Nacional de Química Analítica, 155-160

Sebastiany, A. P., Pizzato, M. C., Del Pino, J. C., & Salgado, T. D. M. (2013). A utilização da Ciência Forense e da Investigação Criminal como estratégia didática na compreensão de conceitos científicos. Educación Química, 24(1), 49-56.




Recepción: 30/10/2019. Aceptación: 09/02/2020.


[a] Departamento de Química Orgánica, Facultad de Quimica UNAM.

[b] Laboratorio de Biogeoquímica Ambiental, Facultad de Química UNAM.