DOI:10.22201/fq.18708404e.2020.2.70300

Determinación de la eficiencia de un mini panel solar fotovoltaico: una experiencia de laboratorio en energías renovables

Jose Enrique Novoa Jerez[a], Marco Alfaro[b], Ignacio Alfaro[c] y Rodrigo Guerra[d]

Resumen

Prácticas de laboratorio de bajo costo y de fácil implementación que permitan realizar mediciones en forma directa con un panel solar son muy importantes para la toma de conciencia del estudiante ante las energías renovables. El problema de determinar la eficiencia de las celdas fotovoltaicas representa una oportunidad para el desarrollo de prácticas de laboratorio de este tipo. Este artículo describe las características de un mini panel solar fotovoltaico midiendo la relación entre la densidad de corriente y el voltaje (J-V) usando una carga resistiva variable lo que también permite determinar el punto de máxima potencia del mini panel solar. Tanto el problema como su solución son tratados desde un enfoque pedagógico mediante el uso de gráficas, planillas y el modelo de diodo simple, de manera que se motive a los estudiantes de Licenciatura en Química e Ingeniería a desarrollar proyectos en energías renovables.

Palabras clave:

Energía solar, Panel fotovoltaico, Curvas Densidad de Corriente-Voltaje.

Determining the efficiency of a mini photovoltaic solar panel: A laboratory experience in renewable energy

Abstract

Low-cost and easy-to-implement laboratory practices that allow measurements to be made directly with a solar panel are very important for the student's awareness of renewable energy. The problem of determining the efficiency of photovoltaic cells represents an opportunity for the development of laboratory practices of this type. This article describes the characteristics of a mini photovoltaic solar panel by measuring the relationship between current density and voltage (J-V) using a variable resistive load which also allows determining the maximum power point of the mini solar panel. Both the problem and its solution are treated from a pedagogical approach through the use of graphs, spreadsheets and the simple diode model, so that students of Bachelor of Chemistry and Engineering are encouraged to develop projects in renewable energy.

Keywords:

Solar energy, Photovoltaic panel, Current-Voltage Density Curves.




Introducción

Desde la irrupción de los problemas mundiales derivados de la escasez y del elevado costo de los combustibles fósiles que durante decenios han sido utilizados como único mecanismo energético para el desarrollo, han surgido innumerables propuestas de paulatina sustitución o reemplazo con la utilización de fuentes no convencionales de energía, como las mareomotrices, geotérmicas, hidroeléctricas, biocombustibles, biomasa y la energía solar (Kuriyama & Abe, 2018). Tales alternativas energéticas han sido incorporadas en los planes y programas de estudios primarios, secundarios y terciarios de la mayoría de los países del mundo (Owens & Driffill, 2008; DeWaters & Powers, 2018; Liu, Chen, Chiu, & Lai, 2012; Kandpal & Broman, 2014; Çelikler & Aksan, 2016; Keramitsoglou, 2016). Como una respuesta educativa que se agrega a las discusiones políticas y científicas asociadas al concepto de cambio climático que, en algunos círculos (Kuriyama & Abe, 2018), ha llegado a señalarse como una verdadera crisis que pone en entredicho el potencial desarrollo social y económico de la humanidad en el mediano plazo. En respuesta a estas proyecciones, en estos círculos prevalece la idea de reducir el consumo de combustibles fósiles y basar nuestro sistema de vida en las energías renovables, el ahorro de energía y mejorar la eficiencia energética (Edenhofer et al., 2011).

La inclusión temática en los ámbitos escolares de estas problemáticas y la necesaria incorporación de transformaciones en el uso de los recursos energéticos (Kandpal & Broman, 2014; Kuriyama & Abe, 2018), demuestran conceptual y pragmáticamente la persistencia de algunas debilidades (Zyadin, Puhakka, Ahponen, & Pelkonen, 2014; Ntona, Arabatzis, & Kyriakopoulos, 2015; Stroth, Knecht, Günther, Behrendt, & Golba, 2018) que requieren ser enfrentadas con mayor pertinencia (Jennings, 2009; Halder et al., 2012; Rosner, Cătuneanu, Tătăroiu, Safta, & Bucicoiu, 2014; Lucas, Pinnington, & Cabeza, 2018), mediante el involucramiento del quehacer docente en los avances del conocimiento generado en los centros de investigación y universidades (Halder, Pietarinen, Havu-Nuutinen, & Pelkonen, 2010; Liarakou, Gavrilakis, & Flouri, 2009; Thoyre & Harrison, 2016; Guven & Sulun, 2017; Lucas et al., 2018).

En este contexto, prácticas docentes de laboratorio orientadas a realizar mediciones en forma directa con un panel solar son muy importantes (Silvestre, Castañar, & Guasch, 2008). Dentro de los trabajos que pueden realizarse, la determinación de la curva J-V (densidad de corriente-voltaje) y/o de la curva I-V (Corriente-voltaje) de paneles solares, permite extraer la información necesaria para determinar su eficiencia (L. De Bernardez, R.H. Buitrago, M. Battion, M. Cutrera, 2005). Para estos fines educacionales, la norma IEC 60904-9 (Kisan, Sangathan, Nehru, & Pitroda, 2010) señala tres tipos de simuladores de luz solar según la calidad de los resultados deseables, en función de la coincidencia espectral, no uniformidad espacial e inestabilidad temporal.

La coincidencia espectral se refiere a la relación entre las integrales del espectro estándar y el espectro dado por el simulador en un rango de longitudes de onda entre 400 y 1100 nm. La clase A (25%) posee la coincidencia más cercana con el espectro solar. Las clases B (40%) y C (+100/-60%) se alejan de este óptimo. Sin embargo, cuanto más cercano al espectro solar es el espectro del equipo, más caro es el simulador solar.

La no uniformidad espacial se refiere a la distribución espacial de la luz sobre el área iluminada. Para los simuladores solares es una de las características más difíciles de satisfacer porque la radiación solar es extremadamente uniforme. La máxima no uniformidad para cada clase es la siguiente, la clase A (2%), la clase B (5%) y la clase C (10%).

La inestabilidad temporal corresponde a una medida de la estabilidad de irradiación durante un período de tiempo. Se divide entre inestabilidad de irradiación a corto plazo (STL, Short-term Instability of Irradiance) e inestabilidad de irradiación a largo plazo (LTI, Long-term Instability of Irradiance). No es necesariamente malo si los valores de LTI se clasifican como clase C, pero es muy difícil realizar mediciones precisas si STI no es clase A. Por lo tanto, las siguientes inestabilidades máximas están presentes para cada clase, clase A (2%), clase B (5%) y clase C (10%) (Dalmagro & Krenzinger, 2011).

La máxima precisión que permite esta norma, se cumple cuando las tres aplicaciones alcanzan los máximos valores de calidad (letra A en los tres tipos), con una coincidencia espectral ideal que fluctúa entre 0,75 y 1,25 con 2,0% máximo de no-uniformidad y 0,5% de inestabilidad según la norma.

Es necesario aclarar, que para fines docentes no se requiere utilizar simuladores solares con características AAA (Hammoumi, Motahhir, Chalh, Ghzizal, & Derouich, 2018; Salam et al., 2019).

Por lo expuesto, el objetivo de la presente propuesta pedagógica permite y facilita una aproximación al análisis de la problemática energética, mediante la determinación de la eficiencia de un mini panel solar fotovoltaico en el contexto de un laboratorio docente de bajo costo en energías renovables, cuyos resultados favorecen la comprensión de las magnitudes de energía provenientes de la radiación solar, como proveedor sustentable para el desarrollo y potencial reemplazo de los combustibles fósiles, además de un entendimiento fisicoquímico matemático de un panel solar.

Materiales y Métodos

Equipamiento experimental

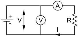
La figura 1 muestra el sistema para determinar las curvas corriente voltaje del mini panel solar, el cual se compone de un mini panel solar policristalino DIY pequeño de 3,0 por 5,2 cm, un multitester en función de amperímetro Voltcraft 840 VC, otro multitester en función de voltímetro UNI-T UT151 (Modern Digital Multimeters), una resistencia, pinzas de cocodrilo y alambre, una fuente de luz artificial que simule la solar (en nuestro caso utilizamos una lámpara halógena de 1000 W), un dimmer para controlar la intensidad de la luz solar simulada, cables y un medidor de irradiancia (Solar Power Meter TENMARS TM-206). El circuito se arma como se muestra en la figura 2, con el amperímetro conectado en serie, y el voltímetro en paralelo. Colocando el mini panel solar fotovoltaico orientado hacia la fuente de luz (Setyawati et al., 2017; Sekar & Gehlot, 2010).

Figura 1: Sistema para determinar las curvas densidad de corriente - voltaje del mini panel solar.

Figura 2: Diagrama del Circuito utilizado para la medición de curva I-V.

Luego del armado del sistema, se procede entonces a medir el voltaje y el amperaje para los diferentes valores de resistencias que aparecen en la Tabla 1.

Tabla 1: Valores de resistencias utilizadas en la caracterización del mini panel solar para una irradiancia de 190 W/m2.

Resistencia (kW)

V (V)

I (mA)

J (mA/cm2)

300

4,53

0,01

0,000641

100

4,52

0,04

0,002564

68

4,53

0,06

0,003846

51

4,53

0,08

0,005128

47

4,56

0,09

0,005769

20

4,53

0,22

0,014103

12

4,51

0,38

0,024359

10

4,49

0,44

0,028205

6,70

4,43

0,65

0,041667

5,10

4,38

0,86

0,055128

4,70

4,40

0,94

0,060256

3,30

4,29

1,30

0,083333

2,67

4,20

1,58

0,101282

2,20

4,10

1,86

0,119231

2,00

4,05

2,02

0,129487

1,68

3,90

2,33

0,149359

1,33

3,60

2,70

0,173077

1,00

2,84

2,81

0,180128

0,74

2,14

2,86

0,183333

0,50

1,55

2,99

0,191667

0,200

0,61

2,98

0,191026

0,010

0,05

2,97

0,190385

Además, se podrían manejar otras variables en el experimento para aumentar las posibilidades de aprendizaje de los estudiantes. Como por ejemplo se podrían utilizar filtros de diferentes colores para bloquear ciertas longitudes de onda, ya que los paneles solares son espectralmente selectivos generando diferentes corrientes para diferentes longitudes de onda de la luz incidente dando lugar a ganancias o pérdidas energéticas (Fernández, 2009). De igual manera se podría variar la distancia entre la lámpara y el minipanel con el fin de obtener diferentes condiciones o incluso utilizar otras fuentes de luz para simular la luz solar como por ejemplo una lámpara de Xenón con filtro de agua (Naupa, 2012).

Funcionamiento de los paneles solares

La teoría de bandas aplicada en sólidos semiconductores y el efecto fotoeléctrico brindan el soporte teórico del funcionamiento de los paneles solares (Aliaga, 2014). La teoría de bandas es el resultado de la aplicación de la teoría de orbitales moleculares a sólidos y permite explicar múltiples propiedades (como la conductividad). En esta teoría, los niveles de energía de los electrones de los átomos que constituyen al sólido se combinan para formar orbitales moleculares con niveles de energía definidos, conocidos como bandas, como lo muestra la figura 3.

Figura 3: Sistema para determinar las curvas densidad de corriente - voltaje del mini panel solar.

El efecto fotoeléctrico sucede por las interacciones de la luz con los electrones en la banda de valencia, al ser excitados y “saltan” a la banda de conducción donde podrán decaer a la base de esta banda para ser reabsorbidos a la banda de valencia. Un mayor decaimiento y reabsorción de los electrones representará una pérdida del rendimiento en la celda solar. Los semiconductores se pueden clasificar en intrínsecos y extrínsecos, donde estos últimos se subclasifican en tipo n y tipo p (Matsumoto, 2011). Los semiconductores intrínsecos consisten en cristales de un solo átomo de estructura tetraédrica y enlaces covalentes, en cambio, semiconductores de tipo n, también llamados donadores, son semiconductores intrínsecos que han sido dopados con impurezas (átomos diferentes al principal) las cuales constan de 5 electrones de valencia, tales como el P o As (Chamorro Coral & Urrego Riveros, 2012). Estos constan de un “exceso de electrones”, 4 de los electrones de valencia del átomo de impureza serán utilizados en átomos vecinos, y uno de los electrones quedará débilmente ligado, cada átomo de impureza donará un electrón, los cuales podrán “fluir” con mayor facilidad (Nandwani, 2005). Los semiconductores de tipo p son análogos a los de tipo n, pero estos se forman al dopar un semiconductor intrínseco con átomos de 3 electrones de valencia. El átomo de impureza utilizará sus 3 electrones en la formación de enlaces vecinos, donde faltará un electrón para saturar un enlace covalente con un átomo vecino, este “hueco” se comportará como una carga positiva y tendrá relativa libertad de movimiento en el cristal (Barrera, 2009). Una celda solar se construye a partir de la unión de semiconductores de tipo p y de tipo n, por medio del efecto fotoeléctrico convierte la radiación solar en energía eléctrica (Granda-Gutiérrez et al., 2013). La Figura 4 muestra el circuito eléctrico equivalente de una celda solar. Consta de una fuente de fotocorriente producida por la radiación solar, un diodo, una resistencia en paralelo y una resistencia en serie que representa a la resistencia interna del material al flujo de la corriente.

Figura 4: Circuito equivalente de diodo simple con resistencia en serie y paralelo.

El modelo matemático de la celda que se obtiene a partir de su representación eléctrica, se le conoce con el nombre de modelo de diodo simple (Phang, Chan, & Phillips, 1984). La figura 5 muestra las curvas características de un panel fotovoltaico. Se observa en la curva de potencia, la existencia de un máximo denominado punto máximo de potencia (Pmax) al cual le corresponden valores de corriente en el punto de máxima potencia, Im y de voltaje en el punto de máxima potencia, Vm. Dicho punto es único para cada celda solar y varía conforme cambia la irradiancia solar. Con los parámetros obtenidos de dichas curvas se puede calcular el factor de llenado, FF, es una medida de la cuadratura de la curva I-V (Ruiz C, Beristáin J, Sosa T., & Hernández, 2010).

Figura 5: Gráficas de corriente, potencia y voltaje de una celda fotovoltaica.

El modelo de diodo simple

El modelo de diodo simple (1984) fue el escogido para modelar las características de las curvas densidad de corriente voltaje (J-V) del mini panel solar fotovoltaico en este estudio (Phang et al., 1984). Se define la densidad de fotocorriente mediante la ecuación (1).

(1)

(2)

Donde J es la densidad de fotocorriente, V el voltaje, A el área del mini panel en cm2, q es la carga del electrón (1,602 × 10-19 C), k es la constante de Boltzmann (1.380 ×10−23 J/K), T es la temperatura de trabajo en Kelvins y m, RS, RSH, Jph y Jo son las constantes que caracterizan la curva J-V de la celda fotovoltaica (Hussein, 2017).

Para la determinación de la densidad de fotocorriente J, se debe dividir el valor de la fotocorriente I, en mA, por el área A, en cm2, del mini panel solar.

(3)

En el caso de la curva I-V (Corriente-voltaje), para la determinación de las constantes m, Rs, Rsh, Iph e Io, Hussein propone el despeje de la ecuación (1) como una función de Rs y expresar las demás constantes Rsh, Iph y Io también como una función de Rs (Hussein, 2017). Para ello, se requiere el uso de variables auxiliares y reescribir la ecuación (1). Finalmente, para la determinación del ajuste de los datos experimentales con los predichos, se debe hacer variar el valor de m como dato de ingreso hasta encontrar el mejor ajuste, evaluando los parámetros estadísticos (Ver el siguiente link: https://bit.ly/2UZOYOV). Los valores de las constantes utilizadas por Hussein en el cálculo se muestran en las ecuaciones (4-9).

(4)

(5)

(6)

(7)

(8)

(9)

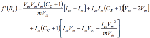
Si se reemplazan los valores de CA, CB, CC, Rsh, Iph y Io en función de Rs, se obtiene la ecuación (10) (Hussein, 2017)

(10)

Como dicha ecuación es una función implícita en Rs, se debe implementar una solución iterativa mediante algún método numérico, utilizándose el clásico método de Newton. Para ello se debe derivar y reordenar la ecuación (10), obteniendo la ecuación (11).

(11)

El método de Newton para determinar el valor de Rs por aproximaciones sucesivas, se debe implementar de acuerdo a lo indicado en la ecuación (12)

(12)

Una vez calculadas las constantes RS, RSH, Iph y Io para cada valor de m, se debe determinar la densidad de fotocorriente J para cada voltaje V que requiere implementar una solución iterativa de tipo numérica. Para ello, se debe despejar la función implícita en J como una función F=f(x)=0, obteniendo la ecuación (13).

(13)

Como F es una función implícita en J, se utilizará el método de Newton definido por la ecuación (14).

(14)

Si se deriva F, ecuación (13), con respecto a J, se obtiene la ecuación (15)

(15)

Reemplazando las ecuaciones (13) y (15), para F y F’ respectivamente, en la ecuación (14) y resolviendo con el método de Newton, se puede obtener el valor de la densidad de fotocorriente (J) para cada voltaje (V).

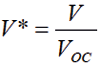
Lo anterior, requiere conocer el valor de las constantes m, Rs, Rsh, Jph e Jo. Con la finalidad de facilitar la solución del modelo los valores de corriente, densidad de corriente y voltaje fueron normalizados utilizando las ecuaciones 16, 17 y 18. (Guerrero Delgado, Sánchez Ramos, Rodríguez Jara, Molina Félix, & Álvarez Domínguez, 2018).

(16)

(17)

(18)

Donde J corresponde a la densidad de corriente, Jsc a la densidad de corriente de corto circuito del mini panel, I corresponde a la corriente, Isc a la corriente de corto circuito, V al voltaje y Voc al voltaje de circuito abierto del mini panel.

Para la solución del modelo de diodo simple este debe ser programado en una planilla Excel como lo muestra la figura 6. Para ver los detalles de la programación es posible descargar material complementario en el siguiente link: https://bit.ly/2yay0V1.

Figura 6: Planilla Excel con las celdas A, B, C, D, E, F y G, entre filas 21 a la 52, con sus respectivos contenidos.

Una vez construida la planilla se debe utilizar la función Solver de Excel para maximizar la función objetivo, que corresponde al coeficiente de correlación R2, generándose el cálculo de los parámetros del modelo de diodo simple RS, RSH, Jph, Jo y m.

Resultados y discusión

Modelamiento de las curvas corriente voltaje del mini panel solar

Las figuras 7, 8 y 9 muestran las curvas J-V típicas obtenidas durante el práctico para los distintos niveles de irradiancia estudiados con el modelo de diodo simple, los resultados son concordantes con los reportados en la literatura (Bello et al., 2009;Vera-dávila, Delgado-ariza, & Sepúlveda-Mora, 2018). Las tablas 2 y 3 muestran los valores de los parámetros del modelo y los estadígrafos para evaluar su calidad de ajuste a los datos experimentales con irradiancias diferentes. Se considera un buen ajuste el alcanzar valores cercanos a cero para los estadígrafos SSERMSEx2 (Gálvez et al., 2007) y valores mayores que 0,9900 para el R(Brown, 2001). En todos los casos modelados, SSERMSEx2 fueron menores a 0,01 y el coeficiente de correlación presentó valores mayores a 0,9918.

Figura 7: Curva J-V para el mini panel solar sometido a una irradiancia de 190 W/m2 curva experimental (X) y curva simulada por el modelo de diodo simple (línea roja continua).

Figura 8: Curva J-V para el mini panel solar sometido a una irradiancia de 160 W/m2 curva experimental (X) y curva simulada por el modelo de diodo simple (línea roja continua).

Figura 9: Curva J-V para el mini panel solar sometido a una irradiancia de 130 W/m2 curva experimental (X) y curva simulada por el modelo de diodo simple (línea roja continua).

Tabla 2. Parámetros del modelo de diodo simple determinados para cada Irradiancia.

Parámetros

190 W/m2

160 W/m2

130 W/m2

Iph

2,99877 

2,31634 

2,03333 

Rs

0,064035 

0,148712 

0,184857 

Rsh

21,82967 

 12,92754

5,75009 

Io

4,2752E-08

 8.702E-08

1,315E-09 

m

2,16 

2,29

1,86

Tabla 3. Parámetros estadísticos del modelo de diodo simple determinados para cada Irradiancia.

Parámetros Estadísticos

Irradiancia

 

190 W/m2

160 W/m2

 130 W/m2

R2

0,9951

0,9918

 0,9958

SSE

2,59E-05 

2,46E-05 

9,20E-06 

RMSE

5,09E-03

4,96E-03

3,03E-03

x2

 3,35E-05

 3,19E-05

 1,19E-05

Caracterización de las curvas densidad de corriente voltaje del mini panel solar

La curva J-V registrada con el mini panel solar permite caracterizar Isc, Voc y FF. Estos parámetros se derivan de las figuras 10, 11 y 12 para una celda solar por medio del modelo de diodo simple desarrollado bajo condiciones educacionales. Es destacable que los valores sean concordantes con la tendencia de lo reportado por Salim y colaboradores (2013) para celdas solares de silicio (Salim, Najim, & Salih, 2013). Utilizando la ecuación (19) se puede calcular el factor de llenado FF.

(19)

Figura 10: Curva I-V simulada por el modelo de diodo simple para el mini panel solar sometida a una irradiancia de 190 W/m2. Im y Vm son los máximos de corriente de celda y voltaje máximo de celda respectivamente al máximo punto de poder y Pmax = Im x Vm.

Figura 11: Curva I-V simulada por el modelo de diodo simple para el mini panel solar sometida a una irradiancia de 160 W/m2. Im y Vm son los máximos de corriente de celda y voltaje máximo de celda respectivamente al máximo punto de poder y Pmax = Im x Vm.

Figura 12: Curva I-V simulada por el modelo de diodo simple para el mini panel solar sometida a una irradiancia de 130 W/m2. Im y Vm son los máximos de corriente de celda y voltaje máximo de celda respectivamente al máximo punto de poder y Pmax = Im x Vm.

Cálculo de la eficiencia de conversión de energía del mini panel solar

La eficiencia de conversión de energía del mini panel solar se calcula utilizando la ecuación (20). Donde η es la eficiencia de conversión de energía, VOC  y, ISC el voltaje de circuito abierto y la corriente de corto circuito respectivamente, medidos en el punto de máxima potencia de la celda (Pmax), Φ es la irradiancia a la cual se somete la celda. Todos los valores de los parámetros anteriores son mostrados en la Tabla 4, no son posibles de comparar con los proporcionados por el fabricante debido a que el mini panel no los declara.

(20)

Tabla 4. Parámetros de caracterización del mini panel solar para cada Irradiancia.

Irradiancia (W/m2)

Voc

(V)

Isc

(mA)

Vm

(V)

Im

(mA)

Pm

(mW)

FF

η (%)

190

4,56

2,99

3,60

2,70

9,720

0,713

5,12

160

4,75

2,29

3,40

2,01

6,834

0,628

5,22

130

4,62

1,97

3,28

1,64

5,379

0,591

4,48

Conclusiones

Se ha demostrado la efectividad de los cálculos derivados de la aplicación pedagógica de un mini panel solar en condiciones de laboratorio docente de bajo costo. Los resultados alcanzados, sustentan la aproximación pedagógica a condiciones de modelación muy cercanas a la realidad, favoreciéndose la comprensión del uso de este recurso renovable como matriz energética válida para complementar y/o reemplazar la dependencia de los recursos tradicionales no renovables. Adicionalmente, las múltiples perspectivas de aprovechamiento propuestas, permitirían su utilización pedagógica en diferentes instancias formativa de los estudiantes. Los estudiantes vinculados a la construcción de paneles fotovoltaicos en el ámbito de establecimientos educacionales secundarios de orden técnico (menciones de electrónica y electricidad) y universitarios (ingeniería ambiental, eléctrica y mecánica). Por su parte, las aplicaciones estadísticas favorecen los procesos de aprendizaje a nivel de carreras como pedagogía y licenciatura en química, matemáticas, ciencias físicas y computacionales e ingeniería ambiental, pudiéndose complementar para fines comparativos con estudios de casos reales en paneles solares de cualquier tamaño, además de un entendimiento fisicoquímico matemático de un panel solar.

Conflicto de intereses

Los autores declaran no tener ningún conflicto de intereses.

Referencias

Aliaga, V. G. (2014). Obtención de material semiconductor de segunda generación disulfuro de indio y cobre (CuInS2) por el método solvotermal. Universidad Mayor de San Andrés.

Barrera, M. P. (2009). Simulación y caracterización de celdas solares multijuntura y de silicio cristalino. Instituto de Tecnología.

Bello, C., Jimenez, V., Toranzos, V., Busso, A., Vera, L., & Cadena, C. (2009). Relevador portátil de curvas IV de paneles fotovoltaicos como herramienta de diagnóstico in situ de sistemas de generación fotovoltaica. Avances En Energías Renovables y Medio Ambiente, 13, 77–83.

Çelikler, D., & Aksan, Z. (2016). The development of an attitude scale to assess the attitudes of high school students towards renewable energy sources. Renewable and Sustainable Energy Reviews, 54, 1092–1098. https://doi.org/10.1016/j.rser.2015.10.049

Chamorro Coral, A. W., & Urrego Riveros, S. (2012). Celdas solares orgánicas, una perspectiva hacia el futuro. Revista Elementos, 2(1), 139–149.

Dalmagro, P. S., & Krenzinger, A. (2011). Análise de simuladores solares para ensaios de módulos fotovoltaicos. ENG - Engenharias, 60904.

De Bernardez, L., Buitrago, R. H., Battion, M., Cutrera, M., & Risso, G. (2005). Estudio de la curva i-v de celdas individuales en paneles fotovoltaicos, 9(1), 43–47.

DeWaters, J. E., & Powers, S. E. (2018). Corrigendum to “Energy literacy of secondary students in New York State (USA): A measure of knowledge, affect, and behavior.” Energy Policy, 117(3), 278. https://doi.org/10.1016/j.enpol.2018.03.030

Edenhofer, O., Pichs-Madruga, R., Sokona, Y., Seyboth, K., Kadner, S., Zwickel, T., … others. (2011). Renewable energy sources and climate change mitigation: Special report of the intergovernmental panel on climate change. Cambridge University Press.

Fernández, J. (2009). Caracterización de módulos fotovoltaicos con dispositivo portátil. Disponible: http://earchivo. uc3m. es/bitstream/handle/10016/6037/PFC_Julio_ Fernandez_ Ferichola. pdf.

Granda-Gutiérrez, E. E., Orta, O. A., Díaz-Guillén, J. C., Jimenez, M. A., Osorio, M., & González, M. A. (2013). Modelado y simulación de celdas y paneles solares. Congr. Int. Ing. Electrón. Mem. Electro, 35, 17–22. https://doi.org/10.13140/2.1.4192.8968

Guerrero Delgado, Mc., Sánchez Ramos, J., Rodríguez Jara, E. A., Molina Félix, J. L., & Álvarez Domínguez, S. (2018). Decision-making approach: A simplified model for energy performance evaluation of photovoltaic modules. Energy Conversion and Management, 177(May), 350–362. https://doi.org/10.1016/j.enconman.2018.09.080

Guven, G., & Sulun, Y. (2017). Pre-service teachers’ knowledge and awareness about renewable energy. Renewable and Sustainable Energy Reviews, 80(May), 663–668. https://doi.org/10.1016/j.rser.2017.05.286

Halder, P., Pietarinen, J., Havu-Nuutinen, S., & Pelkonen, P. (2010). Young citizens’ knowledge and perceptions of bioenergy and future policy implications. Energy Policy, 38(6), 3058–3066. https://doi.org/10.1016/j.enpol.2010.01.046

Halder, P., Prokop, P., Chang, C. Y., Usak, M., Pietarinen, J., Havu-Nuutinen, S., … Cakir, M. (2012). International Survey on Bioenergy Knowledge, Perceptions, and Attitudes Among Young Citizens. Bioenergy Research, 5(1), 247–261. https://doi.org/10.1007/s12155-011-9121-y

Hammoumi, A. El, Motahhir, S., Chalh, A., Ghzizal, A. El, & Derouich, A. (2018). Low - cost virtual instrumentation of PV panel characteristics using Excel and Arduino in comparison with traditional instrumentation. Renewables: Wind, Water, and Solar, 5(3), 1–16. https://doi.org/10.1186/s40807-018-0049-0

Hussein, A. (2017). A simple approach to extract the unknown parameters of PV modules. Turkish Journal of Electrical Engineering & Computer Sciences, 25, 4431–4444. https://doi.org/10.3906/elk-1703-14

Jennings, P. (2009). New directions in renewable energy education. Renewable Energy, 34(2), 435–439. https://doi.org/10.1016/j.renene.2008.05.005

Kandpal, T. C., & Broman, L. (2014). Renewable energy education: A global status review. Renewable and Sustainable Energy Reviews, 34, 300–324. https://doi.org/10.1016/j.rser.2014.02.039

Keramitsoglou, K. M. (2016). Exploring adolescents’ knowledge, perceptions and attitudes towards Renewable Energy Sources: A colour choice approach. Renewable and Sustainable Energy Reviews, 59, 1159–1169. https://doi.org/10.1016/j.rser.2015.12.047

Kisan, M., Sangathan, S., Nehru, J., & Pitroda, S. G. (2010). Photovoltaic devices part 9 Solar simulator performance requirements. Solar Photovoltaic Energy Systems Sectional Committee, ETD 28.

Kuriyama, A., & Abe, N. (2018). Ex-post assessment of the Kyoto Protocol – quantification of CO2 mitigation impact in both Annex B and non-Annex B countries-. Applied Energy, 220(March), 286–295. https://doi.org/10.1016/j.apenergy.2018.03.025

Liarakou, G., Gavrilakis, C., & Flouri, E. (2009). Secondary school teachers’ knowledge and attitudes towards renewable energy sources. Journal of Science Education and Technology, 18(2), 120–129. https://doi.org/10.1007/s10956-008-9137-z

Liu, S.-Y., Chen, R.-H., Chiu, Y.-R., & Lai, C. (2012). Building Energy and Children:<br> Theme-oriented and Experience-based Course Development and Educational Effects. Journal of Asian Architecture and Building Engineering, 11(1), 185–192. https://doi.org/10.3130/jaabe.11.185

Lucas, H., Pinnington, S., & Cabeza, L. F. (2018). Education and training gaps in the renewable energy sector. Solar Energy, 173(July), 449–455. https://doi.org/10.1016/j.solener.2018.07.061

Matsumoto, Y. (2011). Celdas solares de silicio: Fundamento y Tendencia. Caos Conciencia, 5, 32–44.

Nandwani, S. S. (2005). Energia solar- conceptos basicos y su utilizacion. Universidad Nacional, Heredia (Costa Rica).

Naupa, A. (2012). Fabricación y caracterización de celdas solares sensibilizadas a base de dióxido de titanio nanoestructurado. Universidad Nacional de Ingeniería - Perú.

Nowotny, J., Dodson, J., Fiechter, S., Gür, T. M., Kennedy, B., Macyk, W., … Rahman, K. A. (2018). Towards global sustainability: Education on environmentally clean energy technologies. Renewable and Sustainable Energy Reviews, 81, 2541–2551. https://doi.org/10.1016/j.rser.2017.06.060

Ntona, E., Arabatzis, G., & Kyriakopoulos, G. L. (2015). Energy saving: Views and attitudes of students in secondary education. Renewable and Sustainable Energy Reviews, 46, 1–15. https://doi.org/10.1016/j.rser.2015.02.033

Owens, S., & Driffill, L. (2008). How to change attitudes and behaviours in the context of energy. Energy Policy, 36(12), 4412–4418. https://doi.org/10.1016/j.enpol.2008.09.031

Phang, J. C. H., Chan, D. S. H., & Phillips, J. R. (1984). Accurate analytical method for the extraction of solar cell model parameters. Electronics Letters, 20(10), 406. https://doi.org/10.1049/el:19840281

Rosner, D., Cătuneanu, M., Tătăroiu, R., Safta, C., & Bucicoiu, M. (2014). Experiencing renewable energy: Design and implementation of a mobile educational laboratory. UPB Scientific Bulletin, Series C: Electrical Engineering and Computer Science, 76(3).

Ruiz C, L. J., Beristáin J, J. A., Sosa T., I. M., & Hernández, H. (2010). Estudio del Algoritmo de Seguimiento de Punto de Máxima Potencia Perturbar y Observar. Revista De Ingeniería Eléctrica, Electrónica Y Computación, 8(1), 17–23.

Salam, R. A., Munir, M. M., Warsahemas, T., Saputra, C., Latief, H., & Khairurrijal, K. (2019). A simple solar simulator with highly stable controlled irradiance for solar panel characterization. Measurement and Control, 52((3-4)), 159–168. https://doi.org/10.1177/0020294019827327

Salim, M. S., Najim, J. M., & Salih, S. M. (2013). Practical Evaluation of Solar Irradiance Effect on PV Performance. Energy Science and Technology, 6(2), 36–40. https://doi.org/10.3968/j.est.1923847920130602.2671

Sekar, N., & Gehlot, V. Y. (2010). Metal Complex Dyes for Dye-Sensitized Solar Cells: Recent Developments. Resonance, 819–831.

Setyawati, H., Darmokoesoemo, H., Ningtyas, A. T. A., Kadmi, Y., Elmsellem, H., & Kusuma, H. S. (2017). Effect of metal ion Fe(III) on the performance of chlorophyll as photosensitizers on dye sensitized solar cell. Results in Physics, 7, 2907–2918. https://doi.org/10.1016/j.rinp.2017.08.009

Silvestre, S., Castañar, L., & Guasch, D. (2008). Herramientas de Simulación para Sistemas Fotovoltaicos en Ingeniería. Formación Universitaria, 1(1), 13–18. https://doi.org/10.4067/S0718-50062008000100003

Stroth, C., Knecht, R., Günther, A., Behrendt, T., & Golba, M. (2018). From experiential to research-based learning: The Renewable Energy Online (REO) master’s program. Solar Energy, 173(July), 425–428. https://doi.org/10.1016/j.solener.2018.07.067

Thoyre, A., & Harrison, C. (2016). Introduction: teaching energy geographies. Taylor & Francis.

Vera-dávila, A. G., Delgado-ariza, J. C., & Sepúlveda-mora, S. B. (2018). Validación del modelo matemático de un panel solar empleando la herramienta Simulink de Matlab. Rev. Investig. Desarro. Innov, 8(2), 343–356. https://doi.org/10.19053/20278306.v8.n2.2018.7972

Zyadin, A., Puhakka, A., Ahponen, P., & Pelkonen, P. (2014). Secondary school teachers’ knowledge, perceptions, and attitudes toward renewable energy in jordan. Renewable Energy, 62, 341–348. https://doi.org/10.1016/j.renene.2013.07.033.




Recepción: 30/07/2019. Aceptación: 11/02/2020.


[a] Académico de planta del Departamento de Ciencias Sociales de la Universidad de La Serena, co-investigador del Centro de Estudios Avanzados en Zonas Áridas (CEAZA), Director del Programa de Geografía Física Aplicada y miembro del Comité Hazards & Risks de la Unión Geográfica Internacional, Chile.

[b] Departamento de Química, Campus Andrés Bello, Facultad de Ciencias, Universidad de La Serena. Chile. Instituto de Investigación Multidisciplinario en Ciencia y Tecnología. Universidad de La Serena. Chile.

[c] Departamento de Química, Campus Andrés Bello, Facultad de Ciencias, Universidad de La Serena. Chile. Centro de Investigación CENBIOEL. La Serena. Chile.

[d] Departamento de Ingeniería en Obras Civiles de la Universidad de La Serena Chile.