DOI:10.22201/fq.18708404e.2020.1.69709

Estrés oxidativo ¿un asesino silencioso?

Jorge Manuel Ortiz Escarza[1] y Manuel Eusebio Medina López[2]

Resumen

En este trabajo se plantea como el estrés oxidativo podría estar involucrado como agente etiológico en un gran número de enfermedades. Se considera que la producción de especies reactivas de oxígeno (ERO) en bajas concentraciones son importantes y necesarias para el buen funcionamiento celular; para mantener el estado de equilibrio el organismo cuenta con mecanismos antioxidantes endógenos, además existen moléculas antioxidantes exógenas que ayudan a mantener una baja concentración de las ERO. Una producción excesiva o la inhibición de las rutas antioxidantes endógenas inducen al organismo a un estado de estrés oxidativo, que pone en riesgo la homeostasis celular y como consecuencia, el riesgo de contraer enfermedades que disminuyen la calidad de vida y que, en algunas circunstancias podrían poner en riesgo la vida.

Palabras clave:

ERO, antioxidante, estrés oxidativo, radicales libres.

Oxidative stress: a silent killer?

Abstract

This work shows how oxidative stress could be involved as an etiological agent in a large number of diseases. It is considered that in low concentration the reactive oxygen species (ROS) are important and necessary for a good cellular function and to maintain this state of equilibrium, the organism owns the endogenous antioxidants mechanisms, along with exogenous antioxidants molecules that contribute to maintain a low concentration of ROS. Excessive production of ROS or inhibition of the endogenous antioxidant routes lead the organism to the condition of oxidative stress, which put in risk cellular homeostasis and therefore, reduce the quality of life due to the risk of contracting a disease and which, in some circumstances, it could put life at risk.

Keywords:

ROS, antioxidants, oxidative stress, free radicals.




Introducción

La molécula de oxígeno que encontramos como segundo componente más importante en el aire de la atmósfera terrestre, es necesario en procesos vitales como la respiración celular. Se encuentra en un estado conocido como triplete (3O2), esto significa que si consideramos a un radical libre como una molécula con un electrón desapareado (contenido relacionado con el tema de radicales libres del curso de química orgánica), la molécula de oxígeno se comportaría como un doble radical libre (diradical) y a partir de esta característica se puede entender su gran reactividad tanto en medios biológicos como fuera del organismo (Vera, 2005).

A pesar de esto, el oxígeno presenta una naturaleza dual con potenciales efectos tóxicos y benéficos inherentes a su estructura y a la capacidad de presentar reacciones químicas (Corrales y Ariza, 2012). Estos efectos aparecen cuando el oxígeno sufre cambios en su estructura debido a reducciones parciales o transferencias de energías de excitación, dando origen a las especies reactivas de oxígeno (ERO) (Corrales y Ariza, 2012; Manzano-León y Mas-Oliva, 2006). Las ERO más importantes son el anión radical superóxido (O2•-), el radical hidroxilo (OH), el peróxido de hidrógeno (H2O2) y el oxígeno singlete (1O2), siendo este último un derivado excitado del oxígeno molecular en estado fundamental (3O2) al que nos referimos como oxígeno triplete (Toyokuni, 1999).

Las ERO se forman dentro y fuera de las células, con funciones específicas dentro del metabolismo celular tales como la interpretación de señales celulares, expresión de genes, protección inmunológica, respiración celular, entre muchas otras funciones vitales (Manzano-León y Mas-Oliva, 2006). Esta característica coloca a los ERO como moléculas fundamentales en el desarrollo normal de las células.

Sin embargo, el incremento descontrolado en la concentración de las ERO nos lleva al estado de estrés oxidativo. El incremento en la concentración de los ERO se puede originar por una sobreactivación de las rutas de generación de ERO o por la inhibición de las rutas responsables de su consumo.

Debido a lo anterior, se propone en este trabajo exponer las características, importancia y consecuencias del estrés oxidativo sobre los sistemas biológicos y mostrar su relación con algunas enfermedades ampliamente distribuidas.

Radicales libres y Especies Reactivas de Oxígeno (ERO)

Desde el punto de vista químico los radicales libres son todas aquellas especies químicas, cargadas o no, que en su estructura atómica presentan un electrón desapareado en su último orbital (contenido relacionado con el tema radicales libres del curso de química orgánica), dándole una configuración espacial muy inestable, situación que los hace altamente reactivos, tienen una vida media corta, por lo que actúan rápidamente en el sitio en que se forman (Basaga, 1989; Cheeseman y Slater, 1993; Cheeseman y Slater, 1998), debido a esto, la mayoría de los radicales se encuentran a concentraciones bajas (de 10-4 a 10-9 M) y no viajan lejos de su lugar de formación, en el radical hidroxilo por ejemplo, su radio medio de acción celular es de aproximadamente 30 Å y una vida media de unos pocos nanosegundos (Hutchinson, 1957).

Las ERO comprenden tanto radicales libres como moléculas neutras (Genova et al. 2001) y su generación en el organismo inicia con la reducción parcial del oxígeno molecular a través de la transferencia de un electrón durante la ruta de la fosforilación oxidativa, generando el anión radical superóxido (O2•-), que en un ambiente biológico, es transformado enzimáticamente a peróxido de hidrógeno, a partir de la enzima superóxido dismutasa (contenido relacionado con el tema biomoléculas del curso de química orgánica y con el curso de bioquímica); posteriormente, considerando la presencia de metales en el organismo como el Fe2+ y Cu+ a través de la reacción de Fenton (Fenton 1894) con la participación del peróxido de hidrógeno se podría formar el radical hidroxilo (OH) (Dreher y Junod, 1996).

Mecanismos endógenos y exógenos de generación de ERO

En el cuerpo humano existen diversas rutas naturales capaces de producir ERO, dentro de estas encontramos a la ruta de la fosforilación oxidativa que se lleva a cabo en la mitocondria y que constituye la ruta de generación de ERO más importante en el organismo, ya que a través de esta se lleva a cabo la respiración celular y la generación de ATP; en esta ruta la mayor parte del oxígeno se reduce a moléculas de agua por la acción de una enzima denominada citocromo c oxidasa, sin embargo, una pequeña proporción de las moléculas de oxígeno (1-2%) se convierten en anión radical superóxido (Oxilia, 2014).

Tabla 1. ERO más importantes, símbolo químico, vida media, el lugar que les da origen y su reactividad (Mustafa, 2015).

Especie reactiva

Símbolo

Vida media (s)

Origen y reactividad

Superóxido

O2•-

10-4

Producto metabólico de la fosforilzación oxidativa generado en la mitocondria, sistema vascular, entre otros.

Radical hidroxilo

OH

10-9

Altamente reactivo, generado durante la sobrecarga de hierro y diversas reacciones en el organismo.

Peróxido de hidrógeno

H2O2

Estable

Generado en el organismo como producto de la reacción O2•- catalizada por superóxido dismutasa y a través de un gran número de reacciones.

Radical peroxilo

OOR

Rango de los segundos

Formado como producto del daño oxidativo a lípidos, ADN y carbohidratos.

Hidroperóxido orgánico

ROOH

Estable

Producto del daño oxidativo a lípidos, ADN y carbohidratos; puede reaccionar con metales de transición y formar nuevos radicales.

Oxígeno singlete

1O2

10-6

Altamente reactivo, formado durante la fotosensibilización y reacciones químicas.

Ozono

O3

Rango de los segundos

Presente en la atmósfera, puede reaccionar con diversas moléculas.

Además de la respiración celular, existen otras fuentes celulares capaces de generar ERO, como lo son algunas células pertenecientes al sistema inmune llamados neutrófilos y macrófagos que al ser activados por diversas proteínas señalizadoras u otras células, producen ERO y los emplean con la finalidad de combatir organismos invasores como bacterias (Mustafa et. al 2015). Otras células como fibroblastos, endoteliales, musculares lisas vasculares, monocitos cardíacos y algunas del tejido tiroideo también son capaces de producir ERO y regular cascadas intracelulares de señalización (Giese et al, 2001; Zhao et al, 2007).

Las ERO también se pueden generar por fuentes exógenas, en este caso como productos secundarios en la degradación o metabolismo de compuestos exógenos despues de ser absorbidos por el organismo; la producción de ERO debido a fuentes exógenas también puede ocurrir como resultado de la exposición a la contaminación ambiental, metales pesados (Hg, Cd, As, Fe, y Pb), ciertas drogas (acetaminofén, ciprofloxacina), disolventes químicos, cocina (carne quemada, aceite usado y grasas), humo, alcohol y radiación.

Estrés oxidativo y antioxidantes

Si bien las ERO son importantes en procesos celulares para el adecuado desarrollo del organismo vivo, es necesario mantenerlas en concentraciones normales. El cuerpo humano posee mecanismos naturales o endógenos para mantener concentraciones normales de ERO, algunos de ellos son: las enzimas antioxidantes como la superóxido dismutasa, catalasa, y glutatión peroxidasa, además de atrapadores de radicales libres como el glutatión reducido, el β-caroteno y la vitamina C (Martinez-Lazcano et al., 2010).

Sin embargo puede presentarse un desequilibro entre las rutas de generación y consumo de ERO, en estas se considera la participación de las rutas celulares o el efecto de los antioxidantes endógenos del organismo. Cuando se genera un incremento en la concentración de las especies reactivas de oxígeno debido a un incremento exagerado en la producción de ERO o debido a la disminución o inhibición de los mecanismos antioxidantes endógenos, decimos que el cuerpo entra en el estado de estrés oxidativo (Zhao, 2007).

Los derivados fenólicos antioxidantes (contenido relacionado con el tema aromaticidad del curso de química orgánica), son capaces de generar radicales estables como producto de su reacción con los radicales libres, ya que presentan diversas características fundamentales: a) presencia de sustituyentes voluminosos vecinos al grupo radical, disminuyendo la reactividad por efecto estérico; b) deslocalización del radical libre a través de resonancia o aromaticidad; c) distribución de la inestabilidad del radical entre varios átomos vecinos (García, 2014).

Figura 1. a) Formación reductora de radical superóxido. b) Formación oxidativa de un intermedio radical.

Un compuesto puede convertirse en un radical libre al ganar un electrón como en la Figura 1a, donde se muestra la reducción del oxígeno molecular al anión radical superóxido, o por la pérdida de un electrón como en la Figura 1b, donde se muestra la oxidación del ácido ascórbico (contenido relacionado con los temas radicales libres y acido-base del curso de química orgánica), a través de la formación de un intermediario radical por la pérdida de un electrón y la siguiente pérdida de un protón para estabilizarce (Southorn y Powis 1988).

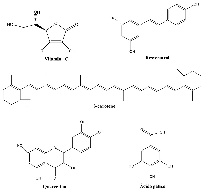
Figura 2. Ejemplos de antioxidantes exógenos presentes en los alimentos.

Además de las rutas antioxidantes endógenas, también debemos considerar a los antioxidantes exógenos, que son moléculas naturales o sinteticas presentes en los alimentos en concentraciones variables, por ejemplo: vitamina C, resveratrol, β-caroteno, quercetina y ácido gálico (Figura 2). Los antioxidantes exógenos desempeñan un papel fundamental en el mantenimiento normal de la concentración de ERO (Bazinet, 2017) y actúan principalmente de tres formas: prevención de la iniciación, el bloqueo de la propagación de reacciones por ERO y reparación de las modificaciones (daños) ocasionadas por las ERO en el organismo (Toyokuni, 2016).

Recordemos que el cuerpo humano es un sistema complejo que requiere el mantenimiento integral de todos sus componentes, así como de las concentraciones moleculares de un número extraordinario de compuestos orgánicos e inorgánicos. Este estado de equilibrio y estabilidad en el cual un organismo funciona adecuadamente se conoce como homeostasis (Morris y Maisto, 2005).

Las ERO debido a su elevada reactividad y prácticamente nula selectividad son capaces de comprometer la homeostasis celular, dañando biomoléculas de gran importancia en el organismo como ADN, proteínas, carbohidratos, y lípidos; lo que conduce a daños celulares, ocasionando una cascada de alteraciones que desembocan en enfermedades (Young y Woodside, 2001).

Las ERO atacan preferentemente moléculas que contienen dentro de su estructura, hidroxilos fenólicos, dobles enlaces carbono-carbono o anillos aromáticos (contenido relacionado con el tema resonancia y aromaticidad del curso de química orgánica), por lo que las bases nitrogenadas que constituyen las cadenas de ADN, los aminoácidos que forman parte de las proteínas y los ácidos grasos que forman parte de las membranas celulares biológicas, son un blanco fácil para éstas ERO, ya que cumplen con las condiciones anteriormente mencionadas (Salinas, 2006).

Los daños fisiológicos y procesos fisiopatológicos ocasionados por las ERO son en un sentido práctico incontables; sin embargo, nos enfocaremos en tres que consideramos importantes por su distribución (Mustafa et al., 2015).

Peroxidación lipídica y su relación con el Alzheimer

Figura 3. Representación gráfica del mecanismo por el cual un ácido graso reacciona con un radical hidroxilo ocasionando la peroxidación lipídica.

Se trata de la destrucción oxidativa de los ácidos grasos que presentan dobles enlaces carbono-carbono, en donde las posiciones alílicas son las más reactivas de este tipo de moléculas, las posiciones alilicas son aquellos átomos de carbono con hibridación sp3 que se encuentran unidos a átomos de carbono con hibridación sp2 que forman parte de un doble enlace (contenido relacionado con el tema resonancia y aromaticidad del curso de química orgánica). La peroxidación lipídica es un proceso que consiste en varios pasos: 1).- Comienza con la transferencia de un átomo de hidrógeno del ácido graso al radical, produciendo un radical en la molécula lipídica, en la posición donde se encontraba el hidrógeno. 2).- Después el oxígeno que se encuentra en los alrededores se une al sitio donde actualmente se encuentra el radical, formando un aducto radical ahora en el oxígeno. 3).- Este nuevo radical que ahora está en el oxígeno reaccionará con otro ácido graso neutralizándose a través de la transferencia de un átomo de hidrógeno y generando un nuevo radical lipídico que reaccionará con otra molécula de ácido graso, creando así una reacción en cadena de radicales, que es la forma característica en la que reaccionan los radicales libres (contenido relacionado con el tema radicales libres del curso de química orgánica); tal como se muestra en la Figura 3 (Mustafa et al., 2015; Cheeseman, 1993).

En la Figura 4 se observa como la peroxidación lipídica inicia con el acercamiento de los radicales libres a la membrana celular, posteriormente reaccionan con los ácidos grasos que forman parte de la bicapa lipídica, para finalmente destruir la integridad de la membrana celular y de esta forma afectar su permeabilidad y conduciendo de esta forma a daños celulares graves o incluso la muerte celular.

Figura 4. Representación de la destrucción oxidativa de la membrana celular debido al ataque de radicales hidroxilo.

La peroxidación lipídica afecta gravemente a órganos vitales como el cerebro, ya que este es un entramado rico en ácidos grasos poliinsaturados, que son fundamentales en el proceso de neurotransmisión y la base de la interacción neuronal. Cuando estos ácidos grasos son oxidados se producen lípidos hidroperóxidos que al degradarse generan productos tóxicos que han sido encontrados en grandes cantidades en pacientes con Alzheimer (Chen y Zhong, 2014).

Destrucción oxidativa de las proteínas y su relación con la aterosclerosis

Las proteínas son compuestos orgánicos que se encuentras constituidas por unidades de aminoácidos unidos entre sí a través de una clase especial de enlace denominado enlace peptídico, que es un enlace amida que se origina por la reacción entre un ácido carboxílico y una amina primaria (contenido relacionado con el tema biomoléculas del curso de química orgánica). Una de sus más importantes características es la capacidad que tienen para plegarse y adquirir conformaciones tridimensionales muy complejas que les proporcionan funciones específicas dependientes de su estructura (Melo et al., 2007). Las ERO atacan a las proteínas de formas muy diversas, las más comunes son la fragmentación de la proteína, la ruptura de los enlaces peptídicos, así como modificaciones aminoacídicas mediadas por radicales libres (Martínez-Cayuela, 1998). El radical hidroxilo es muy reactivo con las proteínas y puede causar modificaciones en casi todos los residuos de aminoácidos, pero en particular los residuos de aminoácidos más susceptibles son tirosina, fenilalanina, triptofano, histidina, metionina y cisteína, generando radicales en los aminoácidos (Figura 5) que pueden iniciar una reacción en cadena o formar entrecruzamientos que terminarán induciendo la ruptura de la cadena, lo que se traduce en una pérdida de la función de la proteína, o en una mayor susceptibilidad a ser degradadas y eliminadas por la célula (Khurana et al., 2013).

Figure 5. Representación de la destrucción oxidativa de una proteína globular a través de la generación de radicales en los aminoácidos a través del mecanismo de transferencia de un átomo de hidrógeno del triptófano al radical hidroxilo.

Diversas enfermedades han sido relacionadas con la destrucción oxidativa de las proteínas. Tal es el caso de la arteroesclerosis donde la oxidación de lipoproteínas contribuye a la progresión de la enfermedad y se ha demostrado que estas proteínas oxidadas prevalecen en las lesiones ateroscleróticas (Gosmanova y Le 2011). Estas moléculas inducen la adhesión de células inmunológicas con células vasculares creando un caos en el tránsito arterial, además de alterar la actividad plaquetaria y la función del sistema endotelial en su totalidad (Maldonado et al., 2010).

Mutaciones en el ADN y su relación con el cáncer

La molécula de ADN es uno de los blancos principales del ataque por ERO en la célula, ya que los bloques o unidades que lo constituyen denominadas bases nitrogenadas contienen en su estructura dobles enlaces C-C (contenido relacionado con el tema resonancia y aromaticidad del curso de química orgánica) que como ya hemos mencionado son sitios susceptibles a ser dañados por estas ERO (Zorrilla et al., 2004). El ADN es un reservorio de información escrita en código, y cada una de estas unidades (bases nitrogenadas) son parte de una clave que se traducirá en una proteína que desempeñará una función determinada, pero cuando la clave ha sido modificada a causa de las ERO se generan mutaciones, que se traducen en proteínas mutantes que llevarán a cabo una función deficiente o peor aún ¡no desempeñarán función alguna! (Voet y Voet, 2006). El ciclo celular por ejemplo tiene puntos de control críticos que le indican en que momentos debe iniciar o detener su división, estos puntos son regulados por una proteína llamada proteincinasa, cuya estructura está codificada en el ADN y si esta ha sido alterado por ERO, el resultado será una proteincinasa alterada que no se desempeñará adecuadamente; por lo tanto, las células no detendrán su división y se crearán cúmulos de estas células dañadas denominados tumores (Alberts y Bray, 2006; Dröge, W. 2002).

Lo anterior comprende la primera etapa en la aparición del cáncer (carcinogénesis), lo que requiere una permanente modificación del ADN. El daño en el ADN a partir de las ERO se revierte mediante diversos mecanismos de reparación, pero, una parte muy pequeña de las lesiones oxidativas se escapan a la reparación y representa un daño potencial que se acumula con la edad (Dreher y Junod, 1996). Una forma común en que se observa este daño es la formación de bases nitrogenadas hidroxiladas de ADN (Figura 6), que son consideradas un evento importante en carcinogénesis (Toyokuni 2016; Zorrilla et al., 2004).

Figure 6. Representación de las mutaciones que sufre el ADN a causa de las ERO.

El daño oxidativo al ADN es el más grave de todos, ya que daña la fuente primordial de información que da origen a las demás biomoléculas, de tal manera que, si el ADN se ve alterado, el resto también se alterará automáticamente. Esto demuestra la importancia de una alimentación sana rica en antioxidantes naturales que en conjunto con los antioxidantes propios del organismo mantendrán los niveles de ERO bajo concentraciones normales, evitando el caos que el estado de estrés oxidativo trae consigo.

La condición de estrés oxidativo se encuentra implicado en un gran número de enfermedades, en este caso se muestran tres ejemplos, la relación del estado de estrés oxidativo con el Alzheimer, la atherosclerosis y el cáncer. De acuerdo con esto, gran parte de las enfermedades con las que se ha relacionado el estado de estrés oxidativo pueden ser mortales. Sin embargo, el estrés oxidativo se puede combatir consumiendo alimentos ricos en antioxidantes y de esta forma evitar las consecuencias presentadas anteriormente, provocadas por el estado de estrés oxidativo en el organismo.

Conclusiones

En este trabajo se muestra como el estrés oxidativo podría estar involucrado como factor común en un gran número de enfermedades, como son el cancer, la aterosclerosis y el Alzheimer. Se considera que las ERO en bajas concentraciones son importantes y necesarias para el buen funcionamiento celular, ya que participan en mecanismos de proliferación y defensa celular, entre otros. El organismo cuenta con mecanismos antioxidantes endógenos y además existen moléculas antioxidantes exógenas que ayudan a mantener una baja concentración de las ERO. Una producción excesiva o la inhibición de las rutas antioxidantes endógenas produce un incremento en la concentración de las especies reactivas de oxígeno, rompiendo de esta forma el equillibrio entre la producción y consumo de estas espcies, lo que pone en riesgo la homeostasis celular y da origen al estado de estrés oxidativo. De acuerdo con lo anterior, el consumo de alimentos ricos en antioxidantes, evitará la manifestación del estrés oxidativo y por lo tanto, nos brindará una buena calidad de vida. Finalmente, se abordó el tema del estrés oxidativo y la capacidad antioxidante sobre el organismo, relacionandolo con temas incluidos en materías consideradas en la educación de la química.

Bibliografía

Alberts, B., & Bray, D. (2006). Introducción a la biología celular. Buenos aires, Argentina: Médica Panamericana. 616.

Bazinet, L., & Doyen, A. (2017). Antioxidants, mechanisms, and recovery by membrane processes. Critical reviews in food science and nutrition57(4), 677-700.

Basaga HS. (1989) Biomedical aspects of free radicals. Biochemistry and Cell Biology, 68(1). 989.

Cheeseman, K. (1993). Mechanisms and effects of lipid peroxidation. Molecular Aspects of Medicine, 14(3), 191-197.

Cheesman KH, Slater TF. (1993) An introduction to free radical biochemistry. British Medical Bulletin; 49, 481.

Cheesman KH, Slater TF. (1998) Free Radicals in Medicine. British Medical Bulletin; 49, 118.

Chen, Z., & Zhong, C. (2014). Oxidative stress in Alzheimer’s disease. Neuroscience bulletin30(2), 271-281.

Corrales, L. C., & Ariza, M. M. M. (2012). Estrés oxidativo: origen, evolución y consecuencias de la toxicidad del oxígeno. Nova10(18), 213-225.

Dröge, W. (2002). Free Radicals in the Physiological Control of Cell Function. Physiological Reviews, 82(1), 47-95.

Genova, M., Ventura, B., Giuliano, G., Bovina, C., Formiggini, G., Parenti Castelli, G. y Lenaz, G. (2001). The site of production of superoxide radical in mitochondrial Complex I is not a bound ubisemiquinone but presumably iron-sulfur cluster N2. FEBS Letters, 505(3), 364.

Dreher, D. y Junod, A. (1996). Role of oxygen free radicals in cancer development. European Journal of Cancer, 32(1), 30.

Fenton, H. J. H. (1894). LXXIII.—Oxidation of tartaric acid in presence of iron. Journal of the Chemical Society, Transactions65, 899-910.

García J. C. (2014) Neuroprotección en enfermedades neuro y heredo degenerativas. Omniascience Monographs. 167.

Giese, B., Amaudrut, J., Kohler, A. K., Spormann, M.and Wessely, S. (2001) Direct observation of hole transfer through DNA by hopping between adenine bases and by tunnelling. Nature, 412(6844), 318-320.

Gosmanova, E. O., & Le, N. A. (2011). Cardiovascular complications in CKD patients: role of oxidative stress. Cardiology research and practice, 2011, 1-8.

Hutchinson, F. (1957). The Distance That a Radical Formed by Ionizing Radiation Can Diffuse in a Yeast Cell. Radiation Research, 7(5), 473.

Khurana, S., Piche, M., Hollingsworth, A., Venkataraman, K., & Tai, T. C. (2013). Oxidative stress and cardiovascular health: therapeutic potential of polyphenols. Canadian journal of physiology and pharmacology91(3), 198-212.

Maldonado O., Vázquez, E. N. J., Vargas, M. R. B. G., Reyes, G. M. C., y Bolaina, E. M. (2010). Radicales libres y su papel en las enfermedades crónico-degenerativas. Rev. Médica Univ. Veracruzana10(2), 32-39.

Manzano-León, N., & Mas-Oliva, J. (2006). Estrés oxidativo, péptido β-amiloide y enfermedad de Alzheimer. Gaceta médica de México142(3), 229-238.

Martínez-Cayuela, M. (1998). Toxicidad de xenobióticos mediada por radicales libres de oxígeno. Ars Pharmaceutica39(1), 5-18.

Martínez-Lazcano, J. C., Boll-Woehrlen, M. C., Hernández-Melesio, M. A., Rubio-Osornio, M., Sánchez-Mendoza, M. A., & Ríos, C. (2010). Radicales libres y estrés oxidativo en las enfermedades neurodegenerativas. Mensaje Bioquim34, 43-59.

Melo, V., Ruiz, V. M., & Cuamatzi, O. (2007). Bioquímica de los procesos metabólicos. Ciudad de México, México: Reverte. 78-96.

Morris, C. G., & Maisto, A. A. (2005). Introducción a la Psicología. Estado de México, México: Pearson Educación. 290.

Mustafa MT, Sura MK, Abdulkadir MN, Sarah IA (2015). Free radicals and human heatlh. international Journal of Innovation Sciences and Research. 4(6), 218-223.

Oxilia, R. M. (2014). Estrés oxidativo y sistema de defensa antioxidante. Revista Del Instituto de Medicina Tropical5(2), 23-27.

Salinas, J. G. (2006). ¿Qué sabe usted acerca de... radicales libres?. Revista Mexicana de Ciencias Farmacéuticas37(4), 69-73.

Southorn, P. A., y Powis, G. (1988, April). Free radicals in medicine. I. Chemical nature and biologic reactions. In Mayo Clinic Proceedings 63(4), 381.

Toyokuni, S. (1999). Reactive oxygen species-induced molecular damage and its application in pathology. Pathology international49(2), 91-102.

Toyokuni, S. (2016). The origin and future of oxidative stress pathology: From the recognition of carcinogenesis as an iron addiction with ferroptosis-resistance to non-thermal plasma therapy. Pathology international. 112, 1-15.

Vera A. (2005). Production of reactive oxygen species in brain mitochondria: contribution by electron transport chain and non-electron transport chain sources. Antioxidants & redox signaling7(9-10), 1140-1149.

Voet, D., & Voet, J. G. (2006). Bioquímica. Buenos aires, Argentina: Médica Panamericana. 100, 101.

Young, I. S., y Woodside, J. V. (2001). Antioxidants in health and disease. Journal of clinical pathology54(3), 176-186.

Zhao, W., Diz, D. I., & Robbins, M. E. (2007). Oxidative damage pathways in relation to normal tissue injury. The British journal of radiology80(1), 23-31.

Zorrilla García, A. E., Eirez Izquierdo, M., & Izquierdo Expósito, M. (2004). Papel de los radicales libres sobre el ADN: carcinogénesis y terapia antioxidante. Revista Cubana de Investigaciones Biomédicas23(1), 51-57.




Recepción: 16 de diciembre de 2019 Aprobación: 14 de enero de 2020


[a] Doctorado en Ciencias Biomédicas, Centro de Investigaciones Biomédicas. Universidad Veracruzana, México.

[b] Centro de Investigación en Micología Aplicada. Universidad Veracruzana, México.