DOI:10.22201/fq.18708404e.2019.3.68209

Estudio de la percepción de estudiantes de nivel secundario sobre la química y su implicancia social

Alejandra Graciela Suárez[a*],[b], Néstor Gabriel Calviño[a], Claudia Fátima Drogo[a], Hebe María Bottai[a] y Amelia Rosa Reinoso[a]

Resumen

Las preocupaciones internacionales respecto de la promoción de la vocación científica y el uso responsable del conocimiento científico nos involucra en la búsqueda de nuevas formas de enseñanza de la química que supere la enseñanza meramente propedéutica y se oriente a la formación para un ejercicio responsable de la ciudadanía en lo que respecta a ciencia y tecnología. En el presente trabajo se presentan los resultados de un estudio realizado sobre la percepción que estudiantes de Nivel Secundario tienen sobre la química, sus implicancias e importancia en la vida cotidiana. Para ello se diseñó un cuestionario estructurado en 4 secciones que fue respondido por 795 estudiantes. El análisis de los resultados muestra que los estudiantes asocian la química con expresiones y términos referidos a su dimensión estrictamente disciplinar, reconociendo su impacto en la sociedad como muy positivo. Asimismo, se observó una clara tendencia a vincular la química con algunos elementos del contexto inmediato de los estudiantes lo que posibilitaría la implementación de nuevas metodologías de enseñanza que recupera elementos del contexto para el desarrollo de saberes vinculados con la disciplina desde una perspectiva centrada en la responsabilidad y el desarrollo sostenible.

Palabras clave:

química en contexto, educación, responsabilidad social, alfabetización científica, desarrollo sostenible

Study of the perception of secondary school students on chemistry and its social implication

Abstract

International concerns regarding the promotion of scientific vocation and the responsible use of scientific knowledge involve us in the search for new ways of teaching chemistry that goes beyond the mere propaedeutic education and is oriented towards training for a responsible exercise of citizenship in respect of science and technology. In this research we present the results of a study carried out on the perception that students of Secondary School have about chemistry, its implications and importance in everyday life. For this reason, a structured questionnaire was designed in 4 sections, which was answered by 795 students. The analysis of the results shows that students associate chemistry with expressions and terms referring to its strictly disciplinary dimension, recognizing its impact on society as very positive. Likewise, there was a clear tendency to link chemistry with some elements of the students’ immediate context, which would allow the implementation of new teaching methodologies that retrieves elements of the context for the development of knowledge related to the discipline from a perspective centred on the responsibility and sustainable development.

Keywords:

chemistry in context, education, social responsibility, scientific literacy, sustainable development




Introducción

Las preocupaciones internacionales respecto a la promoción de las vocaciones científicas y el uso responsable del conocimiento y las sustancias químicas, ha puesto en la escena de las investigaciones educativas a la enseñanza de las ciencias en la educación básica obligatoria, constituyéndose en un vasto campo de estudio. Tal es así que en las Metas Educativas 2021 se establece como una de las prioridades en materia de educación la necesidad de promover que una mayor cantidad de jóvenes continúen con una formación científica o tecnológica al finalizar los estudios obligatorios. En la declaración de la XVIII Cumbre Iberoamericana de San Salvador, realizada en octubre de 2008, se establece como una de las prioridades en materia de educación “impulsar programas que promuevan la enseñanza de la ciencia y la tecnología de cara a propiciar el estímulo de vocaciones tempranas de las y los jóvenes hacia la ciencia con miras a garantizar la formación y transición de nuevas generaciones de investigadores, innovadores y científicos en nuestros países iberoamericanos” (Polino, 2011).

Por tal motivo y en el marco de esta publicación, entendemos que la enseñanza de la química debe superar la formación meramente propedéutica y orientarse a la formación de ciudadanos que sean capaces de tomar decisiones responsablemente en cuestiones de ciencia y tecnología en la vida cotidiana (Acevedo Díaz, 2004; Aikenhead, 2003; Meron, Copello y Paredes, 2015). En este sentido, Albert Pilot (2000) en el marco de la discusión sobre qué conocimiento básico en ciencia necesitan los ciudadanos de nuestras sociedades contemporáneas, identifica que uno de los mayores obstáculos para la transformación de la enseñanza de las ciencias en el Nivel Secundario radica en el enfoque propedéutico en la Universidad que exige y supone que la enseñanza anterior al nivel universitario debe destinarse al conjunto de conceptos científicos que son esenciales para acceder y sostener los estudios de Nivel Superior. En este modo de ver y entender la enseñanza de las ciencias en el sistema educativo, no tiene lugar la formación para un ejercicio responsable de la ciudadanía en lo que respecta a ciencia y tecnología.

Perseguir esta finalidad en la enseñanza de química en la educación secundaria obligatoria nos exige promover dinámicas de innovación educativa que puedan transformar la dimensión didáctica del proceso educativo modificando los fines y las características de la enseñanza practicada de manera profunda y duradera (Tejada, 2008, citado en Meron, Copello y Paredes, 2015), superando el “enfoque tradicional” de enseñanza que se orienta a la transmisión oral y la reproducción escrita del conocimiento teórico disciplinar. Se hace necesaria una comprensión de la ciencia como construcción humana y social y su enseñanza en estrecha vinculación con la vida cotidiana de los estudiantes, esto es, contextualizar los contenidos científicos escolares en el ámbito próximo y cotidiano de los estudiantes (Catret, et al, 2013).

En respuesta a esta finalidad de la enseñanza de la química, se ha comenzado a utilizar ampliamente y se ha introducido con énfasis en las reformas curriculares de muchos países (Catret, et al, 2013) un nuevo enfoque de enseñanza que posibilita relacionar la química con la vida real y cotidiana de los estudiantes, así como también dar respuesta a sus necesidades e intereses. Aureli Caamaño (2011) define a esta nueva metodología de enseñanza como química en contexto o contextualizar la química la cual implica tomar el contexto de los estudiantes como punto de partida para introducir y desarrollar los saberes vinculados con la disciplina.

Este nuevo enfoque para la enseñanza de las ciencias, a diferencia de otros como Ciencia, Tecnología y Sociedad, enseñanza basada en problemas, controversias sociocientíficas, “toma en consideración los ámbitos próximos del alumnado, pero no sólo como inicio sino también como conclusión, ya que lo que aprende en el contexto es aplicado en el mismo. En definitiva, este enfoque parte del contexto para introducir y desarrollar conceptos y modelos, y luego el estudiante los aplica y utiliza para interpretar el propio contexto” (Catret, et al, 2013:750)

Entendemos que esta forma de pensar y proponer la enseñanza de las ciencias posibilita una formación de los estudiantes acorde con las exigencias de las sociedades contemporáneas y que permite reconocer la implicancia de la ciencia y la tecnología en el beneficio de la comunidad respecto de la calidad de vida, la salud, la preservación del medio ambiente, los procesos industriales, entre otros. Esta manera de entender la relación entre el beneficio y desarrollo social, el medio ambiente y el desarrollo científico-tecnológico se inscribe en el marco del Nuevo Contrato Social sobre la Ciencia y la Tecnología declarado en la Conferencia Mundial sobre la Ciencia celebrado en 1999 en Budapest, Hungría, donde, entre otras cuestiones, se establece que “las ciencias se han de poner al servicio de una paz y un desarrollo sostenibles en un contexto de responsabilidad y democracia progresiva”, así como también “mejorar, reforzar y diversificar la enseñanza de la ciencia (...) en todos los niveles y para todos los sectores” (UNESCO, 2000:23).

Entendemos, por lo tanto, que la enseñanza de la química debe impulsar dinámicas de innovación orientadas a la formación de ciudadanos críticos y reflexivos en temas relacionados con la ciencia y la tecnología y la promoción de una visión de dicha disciplina alejada de aquella en la que se la responsabiliza de algunos procedimientos en los cuales tradicionalmente se la involucra, como por ejemplo los relacionados con las armas de destrucción masiva, las drogas no legales, la contaminación ambiental, los accidentes con sustancias químicas (Spanevello y Suárez, 2011), consideramos que se deben impulsar dinámicas de innovación educativa orientadas a la formación de ciudadanos que participen crítica y reflexivamente en temas relacionados con la ciencia y la tecnología.

Para comprender la situación actual que atraviesa la enseñanza de la química en la educación secundaria, se hace necesario definir indicadores que den cuenta de la percepción construida por los distintos actores del sistema educativo respecto de la química, sus usos y su implicancia e impacto en la vida cotidiana. Investigar sobre percepción permitirá planificar acciones educativas centradas en la contextualización de la química a fin de favorecer una orientación de la enseñanza de la química hacia la alfabetización científica y la formación de ciudadanos que puedan participar activa y responsablemente en la promoción del desarrollo sostenible de las comunidades. Como antecedentes se puede mencionar que a nivel regional se han desarrollado algunas investigaciones tales como la del Observatorio Iberoamericano de Ciencia, Tecnología y Sociedad del Centro de Altos Estudios Universitarios de la OEI (Organización de los Estados Iberoamericanos) orientada a construir la percepción que tienen los estudiantes respecto de las profesiones científicas y tecnológicas y su atractivo como opción laboral; la imagen de la ciencia y los científicos y la valoración que hacen los estudiantes del aporte de las materias científicas para distintos ámbitos de la vida (Polino, 2011). Entre las conclusiones arribadas, destacan que “mientras los jóvenes declaran bajos niveles de interés hacia la ciencia en la escuela, y hacia la selección de carreras científicas como alternativa profesional, declaran una percepción principalmente positiva sobre la ciencia y los beneficios que ésta puede traer a la sociedad” (Polino, 2011:118). Por otro lado, el Observatorio Social de la Universidad Alberto Hurtado de Chile realizó un estudio con el objetivo de caracterizar la percepción y actitud de los estudiantes de enseñanza media de la Región Metropolitana de Chile hacia las ciencias y las profesiones científicas (Leyton, Sanchez y Ugalde, 2010). Entre los principales resultados encontraron que la mayoría de los estudiantes afirman que la ciencia y la tecnología trae muchos o bastantes beneficios para la sociedad, hacen que la vida sea más fácil y cómoda, pero son responsables de la mayor parte de los problemas ambientales de la actualidad. En Argentina se han realizado investigaciones similares, como las de Carle, Bruno y Di Risco (2014) en escuelas de educación media del norte de la Provincia de Buenos Aireas con la intencionalidad de aportar elementos para establecer estrategias en la enseñanza de la química que fomenten el desarrollo de nuevas vocaciones. Entre los resultados destacan que los estudiantes reconocen una relación beneficiosa y positiva de la química con la sociedad y la vida cotidiana, concluyendo que “la visión obtenida de la química desde [la perspectiva social] es la de una ciencia útil que facilita nuestro vivir diario y permite una mejor calidad de vida” (Carle, Bruno, Di Risco, 2010:11).

Con el objeto de aportar elementos que promuevan dinámicas de innovación educativas centradas en la dimensión didáctica-pedagógica y que fomenten una formación crítica y reflexiva sobre la química y el uso responsable de la misma, esta investigación propone recolectar información respecto de la percepción que los estudiantes de escuelas de Nivel Secundario tienen sobre la química, sus implicancias e importancia en la vida cotidiana.

Metodología e instrumento utilizado

Con el propósito de indagar sobre la percepción de la química, se propuso como instrumento para la recolección de los datos la implementación de un cuestionario estructurado, autoadministrado, individual, anónimo y voluntario en adolescentes de escuelas de enseñanza secundaria de la Provincia de Santa Fe. El cuestionario se estructuró en 4 secciones: la primera tuvo como propósito recolectar conceptos, palabras, expresiones que los estudiantes relacionan con la química, en la segunda sección se indagó sobre la vinculación de la química en diferentes actividades y temáticas de fuerte relevancia social, en la tercera sección se relevó acerca del conocimiento que los estudiantes tenían sobre la existencia de iniciativas internacionales vinculadas directa o indirectamente con el uso responsable de la química y del conocimiento científico y en la última sección se indagó la valoración de los estudiantes respecto del impacto positivo o negativo que la química tiene en la sociedad.

Para validar el cuestionario se realizó una prueba piloto, aplicada a 24 estudiantes y se gestionó la evaluación del mismo por parte del Comité de Bioética de la Facultad de Ciencias Bioquímicas y Farmacéuticas (UNR).

En este estudio participaron 795 estudiantes de 7 escuelas públicas de enseñanza secundaria de gestión estatal del sur de la Provincia de Santa Fe. Al momento de la implementación del cuestionario, los estudiantes se encontraban cursando 3ºaño (38%), 4º (31%) y 5º (31%), y la edad promedio fue de 16,6 años con una desviación estándar de 1,06 años. La encuesta se implementó en escuelas localizadas en las ciudades de Carcarañá, Empalme Villa Constitución, Fray Luis Beltrán, Pérez, Rosario y Villa Constitución y fueron seleccionadas aleatoriamente y al azar atendiendo a ciertos requerimientos de acceso y disponibilidad que fueron facilitados por el Ministerio de Educación de la Provincia de Santa Fe, Argentina. La implementación se realizó durante el horario de clases de los estudiantes, acompañado por los docentes y supervisado por los directivos de cada establecimiento educativo.

Los datos se procesaron mediante el paquete estadístico SPSS 19.0 para Windows, trabajando con un nivel de confianza del 95%. Para determinar si el instrumento era confiable se realizó el análisis de Fiabilidad con el Coeficiente Alfa de Cronbach[1], obteniendo un valor de 0.837.

Para profundizar el significado de los resultados obtenidos se complementó la investigación con la realización de entrevistas a algunos de los estudiantes encuestados, posterior a la implementación del cuestionario. Se realizaron 6 entrevistas a estudiantes de 3°, 4° y 5° año y de ambos géneros, de manera proporcional.

Resultados

Teniendo en cuenta los objetivos formulados para la investigación realizada, el análisis de los resultados obtenidos de los cuestionarios implementados se realizará teniendo en cuenta las secciones a partir de las cuales se estructuró el instrumento de recolección de datos.

En la primera sección del cuestionario se propuso recolectar conceptos, expresiones, palabras que los estudiantes asocian con la química. Dado que los estudiantes debían indicar al menos 3 (tres) palabras, los resultados se procesaron por total de respuestas y del análisis realizado sobre los mismos, se observa una clara tendencia hacia expresiones asociadas con una dimensión disciplinar de la química, al encontrar con mayor frecuencia términos como experimentos, átomo, ciencia, laboratorio, protones, electrones, neutrones tal como se indica en el Tabla 1. Para realizar este análisis primero se trabajó en un análisis categorial donde se definieron 4 dimensiones (disciplinar, interdisciplinar, social y valorativa) a partir de las cuales se agruparon las expresiones de los estudiantes. Asimismo, las expresiones se agruparon atendiendo a un criterio de similitud, por ejemplo, las expresiones “elementos”, “elementos de la tabla periódica”, “elementos químicos” se reunieron en la expresión “elemento químico”.

Tabla 1. Expresiones más frecuentes que los estudiantes relacionaron con la química agrupadas por dimensiones.

Dimensión

Expresiones más frecuentes

Porcentaje

Dimensión Disciplinar

Experimentos, átomos, ciencia, laboratorio, protones, electrones, neutrones, partículas

76,2%

Dimensión Interdisciplinar

Biología, células, medicina, salud, tecnología, medicamentos

14,0%

Dimensión Social

Vida, enfermedad, naturaleza, alimentos, productos químicos

6,0%

Dimensión Valorativa

Difícil, peligro

2,2%

Además del análisis cuantitativo de las expresiones utilizadas por los estudiantes, se recurrió a un análisis gráfico (Depaolo, Wilkinson, 2014; McNaught, Lam, 2010) utilizando el recurso online Wordclouds.com[2] que permite generar nubes de palabras a partir de una lista de expresiones con su frecuencia. Para ello se construyó una tabla de frecuencias de las palabras y se visualizó en una nube de palabras la cual se indica en la Figura 1. En este tipo de representaciones, el tamaño de la palabra indica una mayor frecuencia de la misma.

Figura 1. Nubes de palabras que representan las respuestas de los estudiantes sobre términos que relacionan con la química.

Respecto de la vinculación de la química en diferentes temáticas y actividades de fuerte relevancia social, se diseñaron dos preguntas que debían responderse usando una escala valorativa a 4 puntos: no involucrada, poco involucrada, medianamente involucrada y muy involucrada. En la primera pregunta se indagaba sobre el nivel de involucramiento de la química en los medicamentos, productos de limpieza, drogas ilegales, alimentos, indumentaria, dispositivos y aparatos tecnológicos, el transporte público, las telecomunicaciones y los muebles. Del análisis de los resultados se puede observar que hay una clara tendencia a considerar a la química muy involucrada en temas con los cuales se la relaciona socialmente, como son los medicamentos, los productos de limpieza y las drogas ilegales, donde más del 90% de los estudiantes consideraron que la Química está muy involucrada o medianamente involucrada con cada uno de ellos (ver Figura 2). Respecto de la indumentaria, el transporte público, las telecomunicaciones y los muebles, más del 70% de los estudiantes consideraron que la Química está poco involucrada o no involucrada con ellos, aunque reconocen en el marco de las entrevistas que están formados por materiales que lo vinculan directamente con la química pero no visualizan la química en su funcionamiento ni en su ensamblaje. Por último, en relación a los alimentos y los dispositivos/aparatos tecnológicos, la valoración de los estudiantes se muestra en una implicancia intermedia.

Figura 2. Distribución de las respuestas grado en que la química está involucrada con temas y actividades de relevancia social.

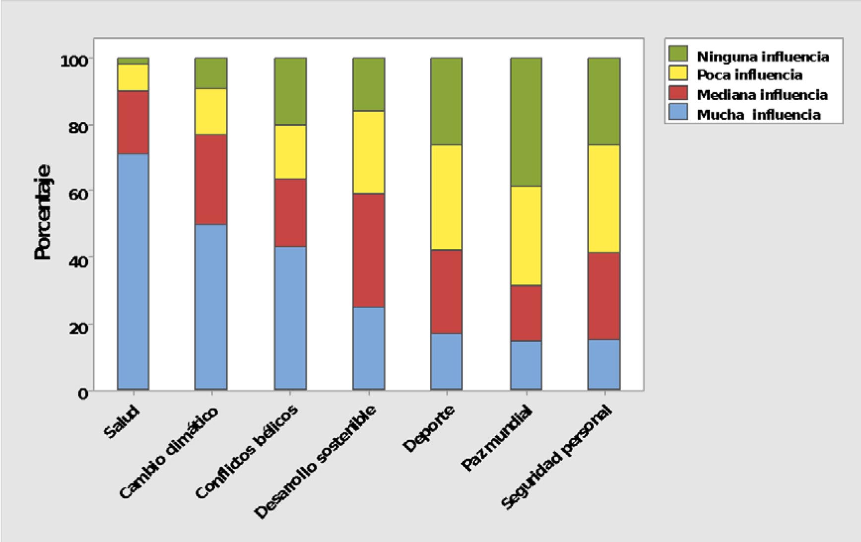
Figura 3. Distribución de las respuestas sobre el nivel de influencia de la química en temas de interés social.

En la segunda pregunta formulada para esta sección se indagó sobre el nivel de influencia de la química en temas como la salud, el cambio climático, los conflictos bélicos, el desarrollo sostenible, el deporte, la paz mundial y la seguridad personal. A través de una escala valorativa a 4 puntos que van de ninguna influencia a mucha influencia, los estudiantes reconocieron una gran influencia de la química en la salud, el cambio climático y los conflictos bélicos (ver Figura 3), temas que socialmente son reconocidos por la sociedad en estrecha relación con las ciencias experimentales como la química. Por otro lado, los estudiantes consideraron que la química tiene poca o nula influencia en temas como el deporte, la paz mundial y la seguridad personal. A simple vista se puede observar una imagen negativa de la química al considerarla muy involucrada en los conflictos bélicos (con el diseño de armas), sin embargo consideraron poca o nula influencia en la paz mundial, lo cual se pone en evidencia en las entrevistas al relacionar la química con las bombas. Por otro lado, el desarrollo sostenible presentó porcentajes intermedios entre los grupos antes mencionados, aspecto que se explica en las entrevistas por no tener en claro el significado de desarrollo sostenible. En una tercera sección se buscó recolectar información acerca del conocimiento de los estudiantes sobre algunas iniciativas internacionales vinculadas directa o indirectamente con el uso responsable del conocimiento científico y de la química en particular, como ser la Organización para la Prohibición de las Armas Químicas (OPAQ), la Cumbre sobre el Cambio Climático y los Objetivos de Desarrollo Sostenible (ONU 2015-2030). Para ello se preguntó a los estudiantes si habían o no escuchado sobre dichas iniciativas y en caso de haber respondido afirmativamente que indicarán el medio a partir del cual recibieron información, enunciando los medios masivos de comunicación (TV/Radio y diarios impresos), internet y la escuela. Tal como se puede observar en el Tabla 2, aproximadamente el 70% de los estudiantes indicaron haber escuchado sobre la Organización para la Prohibición de las Armas Químicas, mientras que entre el 52 y 59%, respectivamente, indicaron no haber escuchado sobre las otras dos temáticas enunciadas.

Tabla 2. Distribución de las respuestas respecto de las iniciativas internacionales vinculadas con el uso responsable del conocimiento científico.

No

Organización para la Prohibición de las Armas Químicas

260 (34,3%)

499 (65,7%)

Cumbre sobre cambio climático

391 (51,7%)

366 (48,3%)

Los objetivos de desarrollo sostenible (ONU 2015-2030)

441(58,8%)

309 (41,2%)

De los estudiantes que respondieron afirmativamente, se les solicitó indicar el medio a partir del cual se informaron respecto de las iniciativas internacionales antes mencionadas. Dado que los estudiantes podían responder a más de una opción, se procedió a procesar el total de respuestas y los resultados se presentan en la Tabla 3. La distribución de las respuestas muestra que los medios masivos de comunicación como la radio y televisión, así como internet representan las principales fuentes a partir de las cuales los estudiantes reconocieron haberse informado respecto de las iniciativas internacionales enunciadas, mientras que la escuela junto con los diarios impresos representan el 30% de las respuestas recolectadas. Se interpreta que el mayor conocimiento de la OPAQ se debe a que esta organización obtuvo el Premio Novel de la Paz (2013) lo cual fue difundido por todos los medios masivos de comunicación y en las entrevistas realizadas los estudiantes ponen de manifiesto que ciertos docentes han hecho mención al respecto durante las clases. Por otra parte, el menor conocimiento acerca de la Cumbre sobre el cambio climático y los Objetivos de Desarrollo Sostenible se relaciona con la poca información que circula sobre estas temáticas, en consonancia con lo observado para la influencia de la química en el desarrollo sostenible (Figura 3).

Tabla 3. Distribución del total de respuestas afirmativas por medio de información.

Escuela

Internet

Diarios impresos

TV/Radio

Organización para la Prohibición de las Armas Químicas

67

10.3%

266

41.0%

47

7.3%

268

41.4%

Cumbre sobre cambio climático

48

10.1%

155

32.6%

49

10.3%

224

47.1%

Los objetivos de desarrollo sostenible (ONU 2015-2030)

78

21.2%

143

38.9%

22

6.0%

125

34.0%

TOTAL

193

12.9%

564

37.8%

118

7.9%

617

41.4%

Por último, se indagó sobre la valoración de los estudiantes respecto del impacto que tiene la química en la sociedad. Para ello se construyó una escala valorativa a 5 puntos que va desde muy positivo a muy negativo. Los resultados muestran claramente que los estudiantes consideraron positivo y medianamente positivo el impacto de la química en la sociedad mientras que sólo un 4% consideró una implicancia muy negativa (ver Figura 5).

Figura 5. Distribución de las respuestas respecto del impacto de la química en la sociedad.

Consideraciones finales

De acuerdo a los resultados obtenidos podemos considerar que el instrumento diseñado e implementado para la obtención de información ha sido adecuado y ha permitido avanzar en la comprensión de la percepción que los estudiantes de las escuelas secundarias tienen respecto de la química y su implicancia e importancia en la vida cotidiana. En relación a la percepción sobre la química, podemos inferir que las expresiones asociadas con mayor frecuencia corresponden a la dimensión disciplinar evidenciando que la enseñanza de la química se orienta a la formación propedéutica que, tal como postula Albert Pilot (2000), se corresponde con el enfoque exigido en la Universidad centrado en la enseñanza de los conceptos científicos esenciales para acceder y sostener los estudios de Nivel Superior.

Sin embargo, se observó una clara tendencia a vincular la química con algunos elementos del contexto inmediato de los estudiantes al reconocer su relación con los medicamentos, los productos de limpieza, las drogas ilegales como así también su influencia en los conflictos bélicos, el cambio climático y el desarrollo sostenible. Podemos destacar, además, que los estudiantes consideran que el impacto de la química en la sociedad es de muy positivo a medianamente positivo, por lo que estos resultados podrían posibilitar un campo fértil para la implementación de la química en contexto (Caamaño, 2011) como metodología de enseñanza que recupera el contexto inmediato de los estudiantes para el desarrollo de saberes vinculados con la disciplina.

Con respecto al conocimiento que tienen los estudiantes sobre iniciativas internacionales vinculadas directa o indirectamente con el uso responsable del conocimiento científico y de la química en particular, es notorio la diferencia que tienen sobre la “Organización para la Prohibición de las Armas Químicas”, asumimos su visibilidad a la masiva difusión que ha recibido por haber sido reconocida con el Premio Nobel de la Paz en el año 2013. Asimismo, la Escuela no fue considerada como uno de los medios de información principales para el conocimiento de dichas iniciativas ya que Internet y los medios masivos de comunicación fueron seleccionados con mayor frecuencia como fuente de información sobre estas iniciativas. Esto puede ser considerado como un estímulo para desarrollar estrategias educativas que favorezcan la relación de los estudiantes con estas iniciativas como otras que promueven el uso responsable del conocimiento científico.

A modo de valoración general, consideramos que realizar estudios sobre la percepción social con instrumentos cuantitativos de recolección de información, como los que se presentan en esta investigación, permite recabar un gran volumen de información en muestras poblacionales amplias y diversas, que complementan la información brindada en investigaciones previas.

En conclusión podemos considerar que los resultados obtenidos en esta investigación contribuyen a la discusión establecida a nivel internacional respecto de la enseñanza de la química y la promoción de dinámicas de innovación educativa orientadas a impulsar un aumento en las vocaciones científicas y fundamentalmente a la formación de ciudadanos que, como sostiene Acevedo Díaz (2004), participen de manera crítica y responsablemente en cuestiones vinculadas con la ciencia y la tecnología. El proyecto se continuará con la generación de acciones que potencien la formación de ciudadanos con responsabilidad social, se incorporarán instrumentos de recolección de datos para evaluar el impacto de estas acciones y se realizarán análisis de otros elementos del proceso educativo como ser la dimensión curricular, institucional, organizacional, entre otras, a fin de construir el escenario educativo en el cual se impulsarán las dinámicas de innovación educativas.

Conflictos de interés

Los autores declaran no tener ningún conflicto de intereses.

Agradecimientos

Se agradece el apoyo financiero de la Secretaría de Estado de Ciencia, Tecnología e Innovación de la Prov. de Santa Fe (Proyecto 2010-148-14) y de la Universidad Nacional de Rosario (Proyecto 1BIO505), de Argentina. Se agradece la colaboración del personal directivo y docente de las escuelas que participaron en el cuestionario.

Referencias

Acevedo Díaz, (2004). Reflexiones sobre las finalidades de la enseñanza de las ciencias: educación científica para la ciudadanía. Revista Eureka sobre Enseñanza y Divulgación de las Ciencias, 1 (1), 3-16.

Aikenhead, G. S. (2003). STS Education: A Rose by Any Other Name. En: Cross R. (Ed.), A Vision for Science Education: Responding to the work of Peter J. Fensham, (pp. 59-75). New York: Routledge Falmer.

Caamaño, A. (2011). Enseñar química mediante la contextualización, la indagación y la modelización. Alambique. Didáctica de las Ciencias Experimentales, 69, 21-34.

Carle, G.; Bruno, J. y Di Risco, C. (2014). ¿Qué piensan nuestros alumnos de la química? Una experiencia de indagación a estudiantes de la escuela media en la provincia de Buenos Aires (Argentina) para el diseño de estrategias didácticas. En: Congreso Iberoamericano de Ciencia, Tecnología, Innovación y Educación, Buenos Aires, consultada en mayo 27, 2019, en la URL https://www.oei.es/historico/congreso2014/memoriactei/524.pdf

Catret, M., Gomis, J. Ivorra, E. y Martínez, J. (2013). El uso del entorno local en la formación científica de los futuros docentes, IX Congreso Internacional sobre investigación en Didáctica de las Ciencias, 749-753.

Depaolo, C. A.; Wilkinson, K. (2014). Get Your Head into the Clouds: Using Word Clouds for Analyzing Qualitative Assessment Data, TechTrends, 58 (3), 38−45.

Leyton, D.; Sanchez, C. y Ugalde, P. (2010). Estudio Percepción de los Jóvenes sobre la Ciencia y Profesiones científicas. Informe final. Chile: Observatorio Social, Universidad Alberto Hurtado, consultada en mayo 27, 2019, en la URL http://repositorio.conicyt.cl/bitstream/handle/10533/207065/ESTUDIO_PERCEPCION_DE_LOS_JOVENES_SOBRE_LA_CIENCIA_Y_PROFESIONES_CIENTIFICAS.pdf?sequence=1&isAllowed=y

Lucero, I. y Meza, S. (2006). Validación de Instrumentos para medir conocimientos. Corriente: Facultad de Ciencias Exactas y Naturales y Agrimensura, UNNE.

McNaught, C.; Lam, P. (2010). Using Wordle as a Supplementary Research Tool, Qualitative Report, 15 (3), 630−643

Meroni, G. Copello, M. I. y Paredes, J. (2015). Enseñar química en contexto. Una dimensión de la innovación didáctica en educación secundaria. Educación Química, 26, 275-280.

Pilot, A. (2000). The concept of “basic scientific knowledge” through some of the reforms recently undertaken in science and technology teaching in European States. En: M. Poisson (Ed.). Science education for contemporary society: problems, issues and dilemmas, (pp. 104-110). Beijing: UNESCO

Polino, C. (comp.) (2011). Los estudiantes y la ciencia: encuesta a jóvenes iberoamericanos. Buenos Aires: Organización de los Estados Iberoamericanos para la Educación, la Ciencia y la Cultura, consultada en mayo 27, 2019, en la URL http://www.oei.es/salactsi/libro-estudiantes.pdf

Spanevello, R. y Suárez, A. (2011). Los pecados de la química. En: Galagovsky, L. (Dir.), Química y civilización, (pp. 303-310). Buenos Aires: Asociación Química Argentina.

UNESCO (2000). La ciencia para el Siglo XXI. Un nuevo compromiso. Conferencia Mundial sobre la Ciencia, Budapest.

Recepcion: 13 de enero de 2019 Aprobacion: 12 de junio de 2019


[a] Facultad de Ciencias Bioquímicas y Farmacéuticas. Universidad Nacional de Rosario. Suipacha 531, S2002LRK Rosario, Argentina

[b] Instituto de Química Rosario - CONICET- UNR, Suipacha 531, S2002LRK Rosario, Argentina. *Autor de correspondencia:asuarez@fbioyf.unr.edu.ar

[1] Una de las técnicas para calcular la confiabilidad: Coeficiente Alfa de Cronbach: Fue creado por J.L.Cronbach y consiste en determinar mediante procedimientos matemáticos, los coeficientes que varían de 0= nula confiabilidad 1= confiabilidad total. Un instrumento es confiable cuando su coeficiente es mayor a 0.790.

[2] https://www.nubedepalabras.es/