DOI:10.22201/fq.18708404e.2018.4.65207
Manuel Guillermo Soler Contreras,[a] Fidel Antonio Cárdenas Salgado[b] y Fuensanta Hernández-Pina[c]
Resumen |
Se reporta la caracterización del enfoque de aprendizaje realizada con el Cuestionario de Enfoques de Aprendizaje (en adelante CEA) que adoptan los estudiantes del grado undécimo en el municipio de Soacha en Colombia en la asignatura química. También se reportan las asociaciones que pueden presentarse entre este enfoque y algunas variables sociodemográficas de interés tales como género, estrato, jornada de estudio y tipo de institución, entre otras. El análisis y la interpretación de los resultados conducen, entre otras, a las siguientes conclusiones: en los estudiantes del grado undécimo del municipio de Soacha predomina un enfoque superficial de aprendizaje en la asignatura química, sin embargo, se presenta una mayor tendencia hacia el enfoque de aprendizaje profundo en las mujeres y al aprendizaje superficial en los hombres; la ausencia de correlaciones significativas entre los enfoques de aprendizaje con el estrato socioeconómico de los estudiantes; la manifestación del enfoque profundo de aprendizaje en las jornadas nocturna y única y superficial en las jornadas de la mañana y la tarde. |
Palabras Clave: |
Cuestionario de enfoques de aprendizaje, enfoque superficial, enfoque profundo, variables sociodemográficas |
Characterization of the learning approach in students who study chemistry in the eleventh grade in the municipality of Soacha, Colombia |
|
Abstract |
The learning approach characterization, that was carried out with the Learning Approach Questionnaire (LAQ) reported in chemistry students from tenth grade at Soacha, Cundinamarca I Colombia. The associations that can be presented between this approach and some social and demographic variables such as gender, stratum, school hours, kind of institution and some others. The conclusions that emerged show that tenth grade students form Soacha have superficial learning approach in chemistry, females have a bigger tendency to the deep leaning approach and superficial is bigger among the male; the lack of meaningful correlations between the learning approaches an the stratum; the appearance of the deep learning approach in the continuous study day and the night studying day and superficial at the morning and afternoon studying day. |
Keywords: |
Learning Approach Questionnaire; deep leaning approach; superficial learning approach; social and demographic variables |
Introducción
Los fundamentos del Alineamiento Constructivo (en adelante AC) y los constructos en él involucrados, son referentes que desde la perspectiva de los autores, se configuran como un interesante campo de estudio para ser explorados en Colombia. Con la intención de dar continuidad en la inmersión en esta línea, se vienen investigando diferentes tópicos relacionados con el AC, los cuales se han socializando en diversos medios de divulgación académica (Soler y Moreno, 2012, Soler, 2013; Soler, 2014; Soler y Romero, 2014; Soler, 2015 y Soler, Cárdenas, Hernández-Pina y Monroy, 2017).
En esta contribución académica, se aborda la forma como se caracterizan los enfoques de aprendizaje de los estudiantes a través de cuestionarios de autoinforme, información que es de gran interés a la hora de programar intervenciones, tendientes a elevar la calidad de los aprendizajes.
Son muchos y variados los instrumentos que se han desarrollado en el mundo (Entwistle, Hanley, y Ratcliffe, 1979; Marton y Säljö, 1976 a y b; Biggs, Kember y Leung, 2001) para identificar el enfoque de aprendizaje, estos se han diseñado de acuerdo a las características del grupo objetivo que se desea intervenir. Dentro del amplio abanico de posibilidades, para esta investigación se ha escogido el instrumento denominado por Kember, Biggs y Lerung (2004) The revised two-factor Study Process Questionnaire (en adelante R-LPQ-2F) pues este fue construido para ser aplicado a estudiantes de bachillerato, que en Colombia corresponde a la educación básica-secundaria y media.
Con los datos recogidos, se busca establecer las posibles relaciones entre estos enfoques de aprendizaje y algunas variables sociodemográficas, relaciones que han de servir de sustrato para una investigación de mayor envergadura.
Por lo anterior, en lo que sigue de este documento, se dilucidan los aspectos teóricos inmersos en estos instrumentos, se describen sus características psicométricas, se reportan los resultados de caracterización del enfoque de aprendizaje de la muestra y su expansión a la población, para finalmente, establecer las posibles relaciones que se presentan con las variables sociodemográficas.
Fundamentos teóricos
Las ideas estructurantes de Biggs (2005) fueron consolidadas en su teoría del AC, teoría que aglutina constructos que han sido desarrollados por los autores ya en otras oportunidades (Soler, 2012; Soler, 2014 y Soler, Cárdenas, Hernández y Monroy, 2017) tales como el modelo 3P, la taxonomía SOLO, y los enfoques de aprendizaje, enfoques estudiados bajo la línea de investigación "Students Approach to Learnning" (en adelante SAL).
De forma sintética, se puede decir que el AC consiste en establecer los resultados que se esperan de cierta empresa de aprendizaje, definir los objetivos mediante los verbos apropiados de acuerdo al nivel de comprensión al que se pretende llegar, para de allí definir las estrategias de aprendizaje que mejor conduzcan a los estudiante a adoptar un enfoque profundo y lograr un aprendizaje de calidad, que se vea reflejado en todo el proceso de evaluación formativa y sumativa (Soler, 2015).
La caracterización del enfoque de aprendizaje de los estudiantes y su relación con el logro académico y otras variables educativas, es una práctica que desde la línea SAL, viene dando significativos frutos en los países de origen entre ellos Australia y Suecia (Biggs, Kember y Leung, 2001, Entwistle, 1987; Marton y Säljö, 1976 a y b y Valle, González, Vieiro, Cuevas, Rodríguez, y Baspino, 1997) y en aquellos que han emulado esta tendencia investigativa.
En Colombia todavía son escasos los trabajos orientados bajo la línea SAL (Carrascal, Alvino y Días, 2009; Carrascal, 2010; Urbina, 2012; Soler, 2012, 2013, 2014, Soler, et al., 2017) que aportan a este campo de investigación.
Sin embargo, el constructo enfoques de aprendizaje ha sido abordado por los autores en diversos documentos y proyectos de investigación (Soler y Moreno, 2012; Soler, 2014; Soler y Romero, 2014; Soler, 2015 y Soler, et al., 2017), en ellos se ha puesto de relieve la importancia que tiene para docentes y estudiantes identificar el enfoque de aprendizaje, para actuar en consecuencia en contextos educativos, en procura de mejorar el logro académico.
El enfoque de aprendizaje hace referencia a la forma que un estudiante apropia para asumir una tarea académica. Dada la naturaleza contextual del enfoque de aprendizaje, al realizar su caracterización es necesario especificar todas las particularidades propias del ambiente donde se gesta el aprendizaje: país, localidad, jornada de estudio, asignatura, clima institucional y de aula, perfil docente, etc., pues ellas influyen de manera decisiva en la adopción de uno u otro enfoque.
No hay que desconocer, sin embargo, que las cualidades individuales del sujeto que aprende, tienen también gran relevancia en la adopción de un enfoque de aprendizaje, así como también la naturaleza de la tarea a realizar.
Son dos las categorías que se pueden caracterizar con el CEA: enfoque profundo y enfoque superficial. Ambos determinados por las variables motivación y estrategia. De este modo, si se trata de una motivación intrínseca, las estrategias serán mediante actividades de alto nivel cognitivo, lo que promueve un enfoque profundo de aprendizaje. Por su parte, si la motivación es extrínseca, las estrategias estarán mediadas por actividades de bajo nivel cognitivo, generando una aproximación al aprendizaje por el enfoque superficial.
En este documento se reportan los hallazgos de la incursión que los investigadores hacen en esta línea, en un contexto específico Colombiano. Se trata pues, de describir la caracterización del enfoque de aprendizaje en la asignatura química con una muestra de estudiantes y sus posibles asociaciones con algunas variables sociodemográficas.
Aspectos metodológicos
El estudio realizado fue de naturaleza descriptiva, de corte cuantitativo y persiguió, por medio de un cuestionario de auto informe en escala Likert, determinar el enfoque de aprendizaje seguido por los estudiantes en la asignatura química.
La población la conforman todos los estudiantes que cursaban el grado undécimo en instituciones oficiales y privadas de la educación formal en el municipio de Soacha (Cundinamarca, Colombia), Este es un municipio situado al sur de Bogotá, se caracteriza por su alta densidad de población, fruto de los procesos de desplazamiento de habitantes de diversas regiones del país, generado por la violencia; esto hace que, de un lado, no se perciba un sentido de pertenencia del grueso de la población por este municipio, y de otro, que se vivan problemas socioeconómicos alarmantes, que además generan situaciones de violencia, maltrato, matoneo, bullyng, entre otras expresiones de poca convivencia.
La muestra se tomó aplicando una técnica probabilística por conglomerados y estratificada[1] (Buendía, Colás y Hernández-Pina, 1998; Pérez, García, Gil y Galán, 2009); las unidades de análisis en esta investigación las conforman los estudiantes de cada uno de los grupos de grados undécimo pertenecientes a las 21 instituciones educativas del sector oficial y los grados undécimo de las instituciones del sector privado del municipio de Soacha en sus diferentes jornadas. Los estratos los conforman las seis comunas o sectores geográficos en que se divide políticamente el municipio (en lo que sigue, a estos estratos se les llamará comunas, para evitar confundirlos con los estratos socioeconómicos que se analizan acá, como variable sociodemográfica).
La base de datos de todos los conglomerados que conforman la población y de la que se ha extraído la muestra se presenta en la Tabla 1.
|
Tamaño población |
Tamaño muestra |
|||
|
Comunas |
Individuos |
Conglomerados |
Individuos |
Conglomerados |
|
1 |
1291 |
30 |
385 |
12 |
|
2 |
1136 |
26 |
224 |
7 |
|
3 |
1116 |
26 |
183 |
5 |
|
4 |
602 |
18 |
137 |
5 |
|
5 |
630 |
15 |
134 |
5 |
|
6 |
903 |
21 |
263 |
8 |
|
Total |
5.678 |
136 |
1.326 |
42 |
Tabla 1. Datos correspondientes al muestreo por conglomerados en tres etapas y estratificado para el estudio
La probabilidad de selección y ponderación de cada uno de las comunas se muestra en la Tabla 2; las ponderaciones allí relacionadas, fueron la base para el proceso de expansión de los resultados de la muestra al total de la población.
|
Comuna |
Probabilidad |
Ponderación |
|
1 |
40 |
2,5 |
|
2 |
26,9231 |
3,7143 |
|
3 |
19,2308 |
5,2 |
|
4 |
27,7778 |
3,6 |
|
5 |
33,3333 |
3 |
|
6 |
38,0952 |
2,625 |
Tabla 2. Probabilidades de selección y ponderaciones para los conglomerados en el proceso de muestreo
Mediante el software utilizado, se seleccionaron conglomerados tanto de instituciones oficiales como privadas en cada uno de las comunas como se muestra en la Tabla 3.
|
Comuna 1 |
Comuna 2 |
Comuna 3 |
Comuna 4 |
Comuna 5 |
Comuna 6 |
||||||
|
Conglomerado |
Tamaño |
Conglomerado |
Tamaño |
Conglomerado |
Tamaño |
Conglomerado |
Tamaño |
Conglomerado |
Tamaño |
Conglomerado |
Tamaño |
|
3 |
32 |
7 |
44 |
4 |
32 |
2 |
31 |
1 |
37 |
6 |
26 |
|
7 |
30 |
8 |
35 |
5 |
27 |
4 |
28 |
3 |
16 |
8 |
43 |
|
8 |
22 |
20 |
15 |
12 |
39 |
9 |
20 |
5 |
29 |
10 |
37 |
|
9 |
44 |
13 |
40 |
16 |
47 |
15 |
28 |
8 |
38 |
11 |
24 |
|
11 |
36 |
15 |
27 |
23 |
38 |
17 |
30 |
10 |
14 |
12 |
33 |
|
12 |
36 |
18 |
33 |
Total |
183 |
Total |
137 |
Total |
134 |
15 |
28 |
|
13 |
34 |
25 |
30 |
16 |
19 |
||||||
|
14 |
37 |
Total |
224 |
20 |
53 |
||||||
|
18 |
30 |
Total |
263 |
||||||||
|
20 |
33 |
||||||||||
|
25 |
8 |
||||||||||
|
30 |
43 |
||||||||||
|
Total |
385 |
||||||||||
Tabla 3. Número de conglomerados seleccionados para el estudio
El proceso de muestreo anterior conduce a que en el estudio se trabajara con 42 conglomerados que incluye un total de 1326 estudiantes de grado undécimo y 42 docentes de química. En la tabla 3 figuran en letra normal los conglomerados correspondientes a instituciones educativas oficiales (en total 30 con 977 estudiantes y 30 docentes) y letra cursiva las instituciones educativas privadas (en total 12 con 349 estudiantes y 12 docentes).
Descripción del instrumento de recolección de información
El CEA, traducido, adaptado y validado del original, el R-LPQ-2F (Kember, Biggs y Leung, 2004), para ser aplicado en el contexto Colombiano (Soler 2013), permite la caracterización del tipo de enfoque de aprendizaje de los estudiantes que conforman la muestra antes descrita.
Estructuralmente el CEA consta de 22 ítems que se puntúan utilizando una escala tipo Likert. Once de estos ítems dan cuenta del enfoque profundo y los otros once de un enfoque superficial; cada una de estas escalas está constituida por dos sub-escalas como se muestra en la Tabla 4.
Para el CEA se han diseñado en el encabezado dos apartados: el primero recoge información relativa a la institución y el segundo, información correspondiente al encuestado.
En la Tabla 4 se detallan las categorías y subcategorías del instrumento y los ítems que puntúan en cada una de ellas, asimismo se muestra el tratamiento que permite la caracterización del Enfoque de Aprendizaje. En la última columna de la derecha se presentan unos baremos establecidos para medir la intensidad del enfoque en débil, moderado o fuerte (Recio y Cabero, 2005), como se representan en la figura 1.
|
Enfoque Superficial |
|
Enfoque profundo |
||||
|
Fuerte |
Moderado |
Débil |
Indefinido |
Débil |
Moderado |
Fuerte |
Figura 1. Espectro de intensidades de los enfoques de aprendizaje
Descripción de la muestra de estudiantes participantes
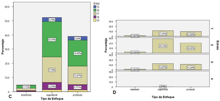
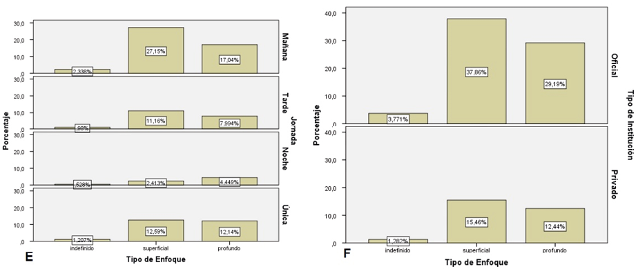
En este apartado se describe la distribución de los estudiantes según las variables sociodemográficas: comuna, institución, jornada, género, estrato y edad. Estos datos fueron recopilados en el encabezado del instrumento CEA, anexo 1, y consolidados como se muestra en el anexo 2.
De conformidad con lo anterior se tiene que, en cuanto al tipo de institución, el 70.8% pertenecen a instituciones del sector oficial y el 29,2% a instituciones del sector privado (anexo 2, figura F).
Según la jornada de estudio, se observa que en la jornada de la mañana se aglutina la mayor parte de la muestra de estudiantes el 47 %; le siguen en su orden la jornada única, la jornada de la tarde y la jornada noche con porcentajes de 26 %, 20 % y 7 %, respectivamente (anexo 2, figura E).
En relación con el género, el 56 % de estudiantes son de género femenino, en tanto que el 44 % son hombres (anexo 2, figura B).
De conformidad con el estrato socioeconómico,[2] se tiene que el estrato 2 es el que agrupa mayor número de estudiantes, 52 %, seguido en su orden descendente el 3 con 26 % y el 1 con 22 %; Es de hacer notar que el estrato 4 se ha omitido dado que sus porcentajes son prácticamente nulos. No se encontraron estudiantes con estratos socioeconómicos superiores al 4 (anexo 2, figura D).
Por último, el promedio de edad es de 15.75 años con una desviación estándar de 6.67 (anexo 2, figura C).
|
Categorías |
Subcategorías |
Sumatoria de los ítems |
Sumatoria de las subcategorías |
Diferencia del puntaje de los enfoques |
Tipo de enfoque |
Intensidad del enfoque |
Descripción |
|
Enfoque profundo (11 ítems) |
Motivo Ítems:1, 5, 9, 13, 17, 19 y 21 |
Puntaje total de esta subcategoría |
Puntaje total para el enfoque profundo |
(Puntaje total del enfoque profundo)-(Puntaje total del enfoque superficial |
Si el total de la diferencia de los enfoques es (+) el enfoque es profundo, si es (-) el enfoque es superficial |
Valores que oscilan entre 0 y ± 14 su intensidad es débil, valores entre ± 15 y ± 30 su intensidad es moderada y valores arriba de ± 31 su intensidad es fuerte |
El CEA corresponde a la versión en español y adaptación para el contexto colombiano. Este instrumento permite caracterizar el enfoque de aprendizaje de estudiantes en alguna asignatura en el nivel de educación secundaria y media. En esta investigación se utilizó para caracterizar el enfoque de aprendizaje en la asignatura química de estudiantes del grado undécimo de la educación media en el municipio de Soacha (Colombia). |
|
Estrategia Ítems: 2, 6, 10 y 14 |
Puntaje total de esta subcategoría |
||||||
|
Enfoque superficial (11 ítems) |
Motivo Ítems: 3, 7, 11 y 15 |
Puntaje total de esta subcategoría |
Puntaje total para el enfoque superficial |
||||
|
Estrategia Ítems:4,8,12,16, 18, 20 y 22 |
Puntaje total de esta subcategoría |
Tabla 4. Estructura del instrumento CEA. (Traducido y adaptado del R-LPQ-2F, Kember, Biggs y Leung, 2004)
Resultados
En este apartado se presenta los hallazgos encontrados luego de aplicar el CEA a la muestra y su expansión a la población, consecuentemente se presentan las relaciones encontradas con las variables sociodemográficas de interés.
Caracterización del enfoque de aprendizaje
Tras la aplicación del CEA a la muestra de participante, la consolidación de una base de datos en hoja de cálculo Excel y su exportación al paquete estadístico SPSS (Martín, Cabero, y De Paz, 2008) se tiene que un 42 % lo hacen por un enfoque profundo con la distribución 38,72 % de intensidad débil y 2,94% de intensidad moderada, y finalmente un 0,5 % presentan un enfoque de intensidad fuerte. De otro lado, un 53 % de los estudiantes orientan su aprendizaje en la asignatura química en el grado undécimo por un enfoque superficial con los siguientes matices: 50,19 % con intensidad débil, 3,09% con intensidad moderada y 0,08% con intensidad fuerte. Finalmente un 4,48% muestra un puntaje de enfoque indefinido.
En la Gráfica 1 Se aprecian estos datos expandidos a la población, se reitera la prevalencia del enfoque superficial sobre el profundo, ambos con una intensidad de enfoque débil.
Gráfica 1. Tipo de enfoque de aprendizaje e intensidad del mismo, para la población de estudiantes de la asignatura química en el grado undécimo en el municipio de Soacha.
Se observa que en el amplio espectro de enfoques de aprendizaje mostrado en la figura 1, una mayor proporción de estudiantes se ubican en el lado correspondiente al enfoque superficial de intensidad débil. Sin embargo, también hay una notable cantidad de estudiantes que se ubican en el lado correspondiente al enfoque profundo de intensidad débil.
Como se observa de los resultados y de la figura 1, la mayoría de la población se ubica en la parte central, por lo que un reto de los profesores de química es motivar un desplazamiento en el enfoque de aprendizaje de la química hacia la derecha de la figura 1, en toda la población; esto es proponer y llevar a cabo actividades didácticas en el aula de tal manera que los estudiantes orienten su aprendizaje con el enfoque profundo con intensidades moderadas o fuertes preferiblemente.
Datos relativos a las relaciones entre el enfoque de aprendizaje y las variables sociodemográficas de estudiantes expandidos a toda la población
Para cada una de las variables sociodemográficas se ha comprobado en primera instancia si se cumple el supuesto de normalidad en los datos; hecho esto se procedió al diseño de una tabla de contingencia y a la prueba de independencia para comprobar que existe algún tipo de relación entre el enfoque de aprendizaje y la variable en cuestión, para luego analizar esta relación o en dado caso explicitar su ausencia.
|
Ho: No hay relación |
H1: Sí hay relación |
P-Valor comparado con 0.050 (5%) |
|
|
Género |
● |
0.038 |
|
|
Edad |
● |
0.075 |
|
|
Estrato |
● |
0.153 |
|
|
Jornada |
● |
0.000 |
|
|
Tipo de institución |
● |
0.069 |
|
|
Comuna |
● |
0.479 |
Tabla 5. Consolidado de resultados de la influencia de las variables sociodemográficas en los enfoques de aprendizaje adoptados por estudiantes
Así, se ha llegado al consolidado que se muestra en la tabla 5, allí se presentan los enfoques de aprendizaje las variables sociodemográficas y los p-valor para la correspondiente prueba de hipótesis; a partir de los datos anteriores surgen las siguientes inferencias:
Lo anterior indica que los estratos 1 y 3 tienden a un enfoque más profundo e indefinido, mientras que los estudiantes del estrato 2 tienden a un enfoque más superficial, sin embargo esto no se ratifica mediante el contraste de hipótesis.
Por tanto, el enfoque profundo se manifiesta más en la jornada de la noche y en la jornada única, mientras que el enfoque superficial se manifiesta más en la jornada de la mañana. En la jornada de la tarde no se observa claramente una relación en el tipo de enfoque que mejor define a los estudiantes.
Se observa así, que el enfoque profundo es el más adoptado en las instituciones privadas, mientras que en las instituciones ofíciales los enfoques más utilizados son el superficial y el indefinido. Esto puede estar en correlación directa con la mayor permanencia de tiempo en la jornada única característica de las instituciones privadas.
Lo anterior, permite ver que en las comunas 5 y 6 se orienta el aprendizaje de la química en el grado undécimo mediante un enfoque profundo, mientras que en la comuna 1 se observa un orientación hacia el enfoque superficial.
En el municipio de Soacha, según los datos expandidos a la población ya reportados, se tiene que el porcentaje de estudiantes del grado undécimo que orientan sus procesos de estudio mediante un enfoques superficial de aprendizaje supera por seis puntos porcentuales el porcentaje de estudiantes que lo hacen a través de un enfoque profundo. Similares resultados se observan si se analiza por comuna, por tipo de institución, oficial y privada y por conglomerado. En todos los casos ha predominado una intensidad débil del enfoque correspondiente.
Los resultados para la caracterización de los enfoques de aprendizaje de los estudiantes que conforman la población guardan coherencia con los encontrados en otras investigaciones, según las cuales en poblaciones donde la edad de sus integrantes es baja, como en este caso que la mayoría es adolescente, y para grados de formación de primero o segundo nivel, suele predominar el enfoque superficial. Por su parte, en poblaciones de adultos y en niveles de formación terciaria suele predominar el enfoque profundo de aprendizaje (Monroy, 2013; Soler y Romero, 2014).
De los resultados correspondientes al consolidado obtenido a partir de las pruebas de hipótesis presentadas en la tabla 5, se generan las siguientes deducciones:
Conclusiones
Del consolidado mostrado en la tabla 5, la presencia o ausencia de relación entre las variables sociodemográficas y los enfoques de aprendizaje de los estudiantes en la asignatura química, configura un interesante nicho de posibilidades para la gestación de futuras investigaciones, en procura de una parte de confirmar o controvertir los resultados anteriores y de otra de caracterizar y fortalecer las relaciones deseables entre los enfoques de aprendizaje y las variables sociodemográficas de los estudiantes en pro de favorecer el seguimiento del enfoque profundo de aprendizaje. Se favorecería así la calidad de la enseñanza y del aprendizaje de las ciencias en general y de la química en particular en esta entidad territorial.
Los hallazgos de esta investigación, cumplen la meta planteada de suministrar valiosa información (para el momento en que la misma se realiza) que ha de cruzarse y correlacionarse con los datos de investigaciones paralelas que los autores vienen adelantando, relativas a la caracterización del enfoque de enseñanza de los docentes en cada uno de los conglomerados, a los sistemas de evaluación utilizados y a los resultados obtenidos por los estudiantes que conforman estos conglomerados, en pruebas estandarizadas realizadas a nivel nacional en Colombia (pruebas SABER 11).
Para finalizar, este estudio puede brindar orientaciones a las autoridades educativas municipales de Soacha tendientes a que, de un lado, adelanten procesos de formación continua a profesores de química para que apropien e implementes los principios del AC en procura de fomentar un enfoque profundo en el aprendizaje de esta asignatura por parte de sus estudiantes; de otro lado, dar a conocer a los estudiantes los hallazgos encontrados en este estudio sobre sus enfoques de aprendizaje, para generar conciencia de la necesidad de promover estrategias de estudio y motivaciones intrínsecas, que propicien la adopción de un enfoque de aprendizaje profundo en el aprendizaje de la química.
Anexo 1. Cuestionario enfoques de aprendizaje
Apreciados estudiantes, en el marco de la investigación que se viene adelantando en el municipio de Soacha, sobre los enfoques de aprendizaje de los estudiantes en la asignatura química, y los enfoques de enseñanza de sus docentes, uno de los propósitos fundamentales es realizar una caracterización que permita luego buscar relaciones entre algunas variables de interés. Por este motivo, les solicitamos el favor de contestar este cuestionario de manera sincera con la seguridad que se tendrá total confidencialidad en el manejo de esta información, la cual será usada solamente para los propósitos de este estudio y no tendrá ninguna repercusión en los aspectos académicos de la asignatura química que está cursando.
Muchas gracias por su amable y comprometida colaboración
DATOS DE LA INSTITUCIÓN
Comuna No. _______ Tipo de institución: Oficial ___ Privada ___
Nombre de la institución _____________________________________________
Sede ____________________ Jornada _______________ Grado _____________
DATOS DEL ESTUDIANTE
Género: Masculino ___ Femenino ___ Edad (años cumplidos) ____
Estrato _______________________________________________________________
Instrucciones para llenar el Cuestionario de Enfoques de Aprendizaje (CEA)
|
CUESTIONARIO DE PROCESOS DE APRENDIZAJE Este cuestionario tiene un número de preguntas sobre tus actitudes hacia tu estudio y tu manera cotidiana de aprender. No existe una manera correcta de estudiar. Depende de qué se adapta a tu propio estilo y al tema que estás aprendiendo. Por lo tanto, es muy importante que seas tan sincero(a) como puedas. No te preocupes de dar una buena o mala imagen, tus respuestas son confidenciales por lo que no las sabrá nadie. Por favor, para cada ítem haz un círculo en uno de los números (1-5). Elige sólo una respuesta para cada pregunta, la que creas más apropiada en tu caso. No pierdas demasiado tiempo en cada ítem, tu primera reacción es probablemente la mejor. Los números representan las siguientes respuestas: 1 - Este ítem fue solo raramente o nunca cierto para mí en esta asignatura. 2 - Este ítem fue algunas veces cierto para mí en esta asignatura. 3- Este ítem fue cierto para mí la mitad de las veces en esta asignatura. 4 - Este ítem fue frecuentemente cierto para mí en esta asignatura. 5 - Este ítem fue casi siempre cierto para mí en esta asignatura. |
||||||
|
ÍTEM |
ENUNCIADO |
OPCIONES |
||||
|
1 |
Encuentro que, en ocasiones, estudiar me hace sentir realmente feliz y satisfecho. |
1 |
2 |
3 |
4 |
5 |
|
2 |
Intento relacionar lo que he aprendido en esta asignatura con lo que he aprendido en otras. |
1 |
2 |
3 |
4 |
5 |
|
3 |
Me siento demasiado con una baja nota en un examen y preocupado sobre cómo voy a hacer en el siguiente examen. |
1 |
2 |
3 |
4 |
5 |
|
4 |
No veo sentido en aprender aquello que sé que no me va a salir en los exámenes. |
1 |
2 |
3 |
4 |
5 |
|
5 |
Siento que casi cualquier tema puede ser muy interesante una vez que profundizo en él. |
1 |
2 |
3 |
4 |
5 |
|
6 |
Me gusta construir teorías para encajar distintos conceptos. |
1 |
2 |
3 |
4 |
5 |
|
7 |
Incluso cuando he estudiado duro para un examen, estoy preocupado de que puede que no sea capaz de hacerlo bien. |
1 |
2 |
3 |
4 |
5 |
|
8 |
Siempre que sienta que hago lo suficiente para aprobar, dedico el mínimo tiempo posible que puedo a estudiar. Hay muchas más cosas interesantes que hacer. |
1 |
2 |
3 |
4 |
5 |
|
9 |
Trabajo duro en mis estudios porque encuentro las asignaturas interesantes. |
1 |
2 |
3 |
4 |
5 |
|
10 |
Intento relacionar un nuevo material, mientras lo leo, con lo que ya conozco sobre un tema. |
1 |
2 |
3 |
4 |
5 |
|
11 |
Me guste o no me guste, puedo ver que estudiando en la institución es una buena manera para obtener un trabajo bien pagado. |
1 |
2 |
3 |
4 |
5 |
|
12 |
Normalmente reduzco mi esfuerzo a lo que específicamente me señalan en clase. Pues creo que es innecesario hacer algo extra. |
1 |
2 |
3 |
4 |
5 |
|
13 |
Empleo bastante de mi tiempo libre profundizando en temas que considero interesantes y que han sido tratados en diferentes clases. |
1 |
2 |
3 |
4 |
5 |
|
14 |
Cuando leo un libro de texto, intento entender lo que el autor quiere decir. |
1 |
2 |
3 |
4 |
5 |
|
15 |
Tengo intención de terminar el grado undécimo porque siento que entonces seré capaz de conseguir un trabajo mejor. |
1 |
2 |
3 |
4 |
5 |
|
16 |
Encuentro que estudiar los temas en profundidad no ayuda. Realmente no necesitamos saber tanto para aprobar esta asignatura. |
1 |
2 |
3 |
4 |
5 |
|
17 |
Acudo a la mayoría de las clases con preguntas que me han surgido y que quiero que me respondan. |
1 |
2 |
3 |
4 |
5 |
|
18 |
Aprendo algunas cosas mecánicamente hasta que me las sé de memoria incluso si no las entiendo. |
1 |
2 |
3 |
4 |
5 |
|
19 |
Encuentro que estoy continuamente recordando temas estudiados, cuando estoy en el autobús, andando, acostado en la cama, etc. |
1 |
2 |
3 |
4 |
5 |
|
20 |
Encuentro que la mejor manera de aprobar los exámenes es intentar recordar respuestas para las preguntas que más posibilidades tienen de salir. |
1 |
2 |
3 |
4 |
5 |
|
21 |
Me gusta trabajar suficiente en un tema para poder formarme mi propia conclusión y así quedar satisfecho. |
1 |
2 |
3 |
4 |
5 |
|
22 |
Encuentro que puedo aprobar la mayoría de los exámenes memorizando partes esenciales en vez de intentar comprenderlas. |
1 |
2 |
3 |
4 |
5 |
Anexo 2. Resultados de la relación encontrada entre los enfoques de aprendizaje y las variables sociodemográficas (A: tipo de enfoque; B: género; C: edad; D: estrato socioeconómico; E: jornada de estudio; F: tipo de institución; G: comuna).
Referencias
Biggs, J.B. (2005). Calidad del aprendizaje universitario. Trad. Pablo Manzano. Madrid: Narcea.
Biggs, J.B., Kember, D. y Leung, D. (2001). The revised two factor study processquestionnaire: R-SPQ-2F. British Journal of Educational Psyhology, 71, 133-149.
Buendía, E.L.; Colás, B.P., y Hernández-Pina, F. (1998). Métodos de investigación en Psicopedagogía: Madrid: McGraw-Hill.
Carrascal, S. (2010). Integración de tareas "SOLO" para el desarrollo de competencias básicas en primer semestre de educación superior. Tesis doctoral inédita. Granada: Universidad de Granada.
Carrascal, S.; Alvarino, B.G. y Díaz, B.E. (2009). Estrategias mediadas por TIC para el desarrollo de enfoque de aprendizaje profundo en estudiantes universitarios. Folios, 29, 3-18.
Entwistle, N. (1987). La comprensión del aprendizaje en el aula. Madrid: Paidós.
Entwistle, N.J.; Hanley, M. y Ratcliffe, G. (1979). Approaches to learning and levels of understanding. British Educational Research Journal, 5, 99-114.
Kember, D.; Biggs, J. y Leung, D. (2004). Examining the muntidimensionality or approaches to learnisn though the development of a revised version of the Learning Process Questionnaire. British Journal of educational Psychology, 74, 261-280.
Martín, Q.; Cabero, M.T. y De Paz, Y. (2008). Tratamiento estadístico de datos con SPSS. Salamanca: Thomson.
Marton, F. y Säljö, R. (1976a). On qualitative differences in learning: 1. Outcome and process. British Journal of Educational Psychology, 46, 4-11.
Marton, F. y Säljö, R. (1976b). On quialitative differences in learning: 2. Outcome as a function of the leamer's conception of the task. British Journal of
Monroy, F. (2013). Enfoques de enseñanza y de aprendizaje de los estudiantes del máster universitario en formación del profesorado de educación secundaria. Tesis doctoral. Murcia: Universidad de Murcia. Recuperado de: http://www.tdx.cat/bitstream/handle/10803/117259/TFMH.pdf?sequence=1
Pérez, J.R.; García, J.; Gil, J. y Galán, A. (2009). Estadística aplicada a la educación. Madrid: Pearson.
Recio, M.A. y Cabero, J. (2005). Enfoques de aprendizaje, rendimiento académico y satisfacción de los alumnos en formación en entornos virtuales. Pixel-Bit Revista de Medios y Educación, 25, 93-115.
Soler, M.G., y Moreno, G. (2012). Experiencia de aula basada en los enfoques de aprendizaje "estudiantes del grado décimo fomentan el desarrollo del espíritu científico en estudiantes de preescolar. Revista Científica, 16, 118-129.
Soler, M.G. (2013). Validación de los instrumentos "Cuestionario de Enfoques de Aprendizaje y Cuestionario de Enfoques de Enseñanza" traducidos y adaptados para caracterizar los enfoques en estudiantes y profesores de Ciencias en el contexto colombiano. En: Enseñanza de las ciencias, Memorias del IX congreso internacional sobre Diactica de las Ciencias. Girona.
Soler, M.G. (2014). El constructo enfoques de aprendizaje: un análisis bibliométrico de las publicaciones en español en los últimos 20 años. Revista Colombiana de Educación. 66, 127-148.
Soler, M.G. y Romero, L.A. (2014). Análisis de los enfoques de aprendizaje en estudiantes de jornada nocturna en relación con actividades lúdicas y recreativas basadas en el juego. Lúdica Pedagógica 19(1), 101-109.
Soler, M. (2015). Enfoques de enseñanza y enfoques de aprendizaje: posibles relaciones entre sí y con el logro académico de los estudiantes en evaluaciones externas. Tesis doctoral inédita. Bogotá: Universidad Pedagógica Nacional.
Soler Contreras, M.G., Cárdenas Salgado, F. A., Hernández-Pina, F. y Monroy Hernández, F. (2017). Enfoques de aprendizaje y enfoques de enseñanza: origen y evolución. Educ. Educ., 20(1), 65-88. DOI: 10.5294/edu.2017.20.1.4.
Valle, A.A.; González, C.R.; Vieiro I.P.; Cuevas G.L.; Rodríguez, M.S. y Baspino F.M. (1997). Características diferenciales de los enfoques de aprendizaje en estudiantes universitario. Revista de Psicodidáctica, 4, 41-58.
Recepción: 13 de junio de 2018. Aprobación: 28 de septiembre de 2018
[a] Doctor en educación. Magíster en Didáctica de las Ciencias. Profesor Universidad Pedagógica Nacional, Bogotá-Colombia. Profesor Departamento de Química, Universidad Pedagógica Nacional y Secretaría de Educación de Soacha. Correo electrónico: mgsolerc@pedagogica.edu.co
[b] Doctor en Química. Profesor Doctorado Interinstitucional en Educación del Departamento de Química Universidad Pedagógica Nacional, Bogotá-Colombia. Correo electrónico: cardenas@pedagogica.edu.co
[c] Doctora en Psicología.Profesora catedrática Facultad de Educación, Departamento MIDE Universidad de Murcia, Murcia-España. Correo electrónico: fhpina@um.es
[1] El muestreo por conglomerados es recomendable cuando los individuos de la población conforman un grupo natural, en consecuencia el individuo deja de ser la unidad de estudio para cederle esta función al grupo o conglomerado. Esta técnica de muestreo aplica muy bien para la investigación macro que se realiza y en la que está inmerso este estudio, para establecer las correlaciones con los enfoques de enseñanza de los profesores de cada conglomerado o con los resultados en pruebas estandarizadas; sin embargo, se aclara que acá se realiza la caracterización del enfoque de aprendizaje, no por conglomerado sino por individuo (estudiante).
[2] En Colombia los estratos socioeconómicos en los que se pueden clasificar las viviendas y/o los predios son 6, denominados así:
1. Bajo-bajo, 2. Bajo, 3. Medio-bajo, 4. Medio, 5. Medio-alto y 6. Alto
Los estratos 1, 2 y 3 son los estratos inferiores que albergan a los usuarios con menores recursos, éstos son beneficiarios con subsidios en los servicios públicos domiciliarios; los estratos 5 y 6 son estratos superiores que albergan a los usuarios con mayores recursos económicos, éstos deben pagar una contribución sobre el valor de los servicios públicos domiciliarios. El estrato 4 paga exactamente el valor definido por la empresa prestadora del servicio.