DOI:10.22201/fq.18708404e.2019.1.64777

Introducción a los fenómenos ópticos de nanopartículas metálicas a través simulaciones computacionales en línea

Octavio Garate[a*], Lionel Veiga[a], Paulina Lloret[a] y Gabriel Ybarra[a]

Resumen

Al introducir las propiedades dependientes del tamaño de los nanomateriales, uno de los tópicos más atractivos lo constituyen las propiedades ópticas de las nanopartículas, debido al impacto inmediato que generan sobre el observador. No obstante, por lo general no resulta posible introducir un tratamiento riguroso de los fenómenos de absorción y dispersión de luz, debido al complejo marco teórico asociado a las interacciones entre la radiación electromagnética y las nanopartículas. Utilizando una herramienta de simulación en línea como Nmie-Nanohub, se propone una secuencia pedagógica que permita analizar la dependencia de estos fenómenos ópticos con los parámetros relevantes, tales como la longitud de onda de la radiación incidente, el tamaño y material de las nanopartículas, y el medio en el cual se encuentran suspendidas.

Palabras clave:

Absorción de luz; Dispersión de luz; Copa de Licurgo; Nanotecnología; Simulación por computadora

Introduction to optical phenomena of metallic nanoparticles using online computer simulations

Abstract

When introducing size-dependant properties of nanomaterials, the optical properties of nanoparticles are one of the most attractive topics. However, it is usually not possible to introduce a rigorous treatment of optical phenomena such as light absorption and light scattering, due to the complex theoretical framework associated to the interactions between electromagnetic radiation and nanoparticles. In this article, we propose the use of the online simulation tool Nmie-Nanohub to develop a pedagogical sequence which allows one to analyze the dependence of these optical phenomena with the different relevant parameters, such as the wavelength of the incident radiation, the size and the material of the nanoparticles, and the media in which they are immersed.

Keywords:

Light absorption; Light scattering; Lycurgus Cup; Nanotechnology; Computer simulation




Introduccion

En el ámbito de las ciencias, las simulaciones computaciones se han convertido en herramientas de gran ayuda pedagógica. Esto se debe a su facilidad para cumplir el rol de nexo entre la teoría y la corroboración empírica, construyendo un ámbito intermedio donde es posible interpretar lo observable macroscópicamente mediante la obtención de información desde un enfoque microscópico, por ejemplo, a través de software de modelado [1-9]. Ante la imposibilidad de recurrir a la experimentación directa, por factores de recursos o viabilidad, constituyen la recreación de un micromundo donde es posible emular estos ensayos de forma segura y eficiente, permitiendo incluso la posibilidad de proponer condiciones que experimentalmente podrían resultar difíciles o riesgosas de alcanzar. Ante este panorama, desde el punto de vista educativo el paradigma de la experimentación está siendo enriquecido por el uso de estas herramientas [10-19].

En particular, dentro del ámbito de la nanotecnología, la tradición curricular vigente tiende a abordar la introducción a las nanopartículas y el análisis de sus propiedades a través de prácticas de laboratorio donde se realizan síntesis por medios químicos, por ejemplo, mediante la técnica de Turkevich [20]. La complejidad de este enfoque radica en la dificultad existente a la hora de introducir el tratamiento de las propiedades ópticas de una manera rigurosa que incluya tanto la naturaleza de estos efectos ópticos como su dependencia con variables como la longitud de onda de la luz incidente, el tamaño, el material y el entorno de la nanopartícula, en conjunción con la demanda asociada a desarrollar una práctica de laboratorio.

Desde el punto de vista teórico, los fenómenos de interacción entre luz y nanopartículas son argumentados con base en la resonancia plasmónica superficial localizada, generalmente abordada con la teoría de Mie, que permite obtener las frecuencias e intensidad de resonancia. Si bien esta teoría es demasiado compleja para ser desarrollada de forma rigurosa en los cursos introductorios, actualmente existen herramientas computacionales accesibles en línea que permiten realizar simulaciones de interacciones entre nanopartículas y radiación electromagnética a un nivel comparable al que hace pocos años se publicaba en las principales revistas científicas especializadas.

La aproximación pedagógica que proponemos en este trabajo consiste en emplear un enfoque conceptual para describir el fenómeno que da origen a la absorción y dispersión de luz por nanopartículas, combinado con un tratamiento riguroso de casos particulares empleando una herramienta de simulación llamada Nmie-Nanohub [21] para obtener los espectros de absorción, dispersión y extinción de nanopartículas metálicas. Debido a que las simulaciones permiten obtener rápidamente estos espectros, es posible realizar en poco tiempo una caracterización de la influencia sobre los espectros de distintas variables, como el tamaño de la nanopartícula. De esta forma, en cierta manera se replica computacionalmente el enfoque experimental consistente en sintetizar nanopartículas y estudiar sus propiedades ópticas, permitiendo adquirir una mejor comprensión global de los fenómenos de interacción entre la luz y las nanopartículas.

Marco teórico

Desde el punto de vista teórico, los fenómenos de interacción entre luz y nanopartículas son argumentados mediante la resonancia plasmónica superficial localizada (LSPR). En pocas palabras, la resonancia plasmónica superficial localizada es un movimiento colectivo de los electrones de las nanopartículas metálicas inmersas en un medio dieléctrico a una cierta frecuencia de resonancia, debido a la interacción de los electrones con el campo eléctrico oscilatorio de la radiación electromagnética (figura 1 [22]). La LSPR genera a su vez dos efectos. Por un lado, parte de la energía del movimiento de los electrones se pierde como calor debido a interacciones con la red metálica, dando origen de la absorción de luz. Por otro lado, el desplazamiento de los livianos electrones (carga negativa) respecto de los pesados núcleos (carga positiva), genera un dipolo oscilante que emite radiación electromagnética a la misma frecuencia de oscilación, siendo éste el origen de los fenómenos de dispersión de luz de nanopartículas metálicas.

Figura 1. Interacción dadas entre campo eléctrico oscilatorio de la radiación electromagnética con los electrones de las partículas metálicas.

La probabilidad de que un fotón incidente sea absorbido o dispersado puede expresarse en forma cuantitativa a través de los valores de la sección eficaz de absorción (σabs) y de dispersión (σsca). Al aumentar la sección eficaz de absorción o de dispersión, aumenta la probabilidad de que sucedan estos fenómenos (figura 2 [22]). La suma de los efectos de absorción y dispersión se denomina extinción (σext = σabs + σsca). También suele emplearse el concepto de eficiencia (de absorción o de dispersión) como el cociente entre la sección eficaz y la sección geométrica (πR2), donde R es el radio de la partícula.

Figura 2. Representación gráfica del concepto de sección eficaz y sección geométrica.

La LSPR es generalmente abordada con la teoría de Mie, cuyo objetivo principal es el cálculo de los valores de sección eficaz para los fenómenos ópticos de absorción, dispersión y extinción. Su tratamiento supone que las partículas metálicas esféricas forman una suspensión diluida en un medio homogéneo de forma tal que la dispersión de luz se dé por interacción con una sola partícula. Para el límite de partículas pequeñas es posible establecer una dependencia entre la sección eficaz de estos fenómenos ópticos y el radio R:

(1)

(2)

donde εP es la constante dieléctrica de la partícula, εm la constante dieléctrica del medio y λ la longitud de onda. La deducción matemática de estas expresiones se encuentra de forma detallada en el trabajo de Bohren y Huffman [23]. Las ecuaciones 1 y 2 representan aproximaciones válidas para partículas cuyo radio es menor que la longitud de onda a la que son excitados (régimen de Rayleigh) y bajo la consideración que el campo aplicado se comporta como una onda plana, lo cual permite establecer una proporcionalidad entre el campo y la polarizabilidad expresada en función del radio. Para partículas pequeñas la dispersión es despreciable en comparación con la absorción, por lo tanto la sección eficaz de extinción es aproximadamente equivalente a la sección eficaz de absorción propuesta en la ecuación (1).

Abordaje con el simulador

La puesta en marcha de una actividad haciendo uso de una herramienta de simulación presenta diversas etapas de aprendizaje, siendo la familiarización con la interfaz e identificación de variables de entrada y salida la primera barrera, mientras que el posterior análisis de resultados producto de su uso constituye la segunda. Con esto en consideración se propone una secuencia en dos etapas.

Familiarización

Nmie-Nanohub es una herramienta de simulación acotada del tipo navegador web cuya interfaz puede dividirse en tres secciones ilustradas en la figura 3. La primera pestaña (figura 3A, “Modelo y parámteros”) dispone solo de variables de entrada. Algunas de ellas, como la resolución y el valor inicial y el final de longitud de onda, están dadas por defecto para brindar un espectro definido y completo, por lo que podría no ser necesario modificarlas. Por otro lado, hay variables que deben ser cuidadosamente especificadas acorde al objetivo del trabajo, entre las cuales se encuentran:

La segunda pestaña (figura 3B, “Materiales y relaciones de radios”) incluye como variables de entrada la composición de la partícula y los índices de refracción de los materiales que la componen, pudiendo elegir entre oro, plata, cobre, aluminio y material dieléctrico. Para una partícula de único material, el valor de ingreso R1/R debe ser 1. Los índices de refracción son asignados automáticamente para el oro, la plata, el cobre y el aluminio haciendo uso de los datos proveídos por Johnson y Christy [24]. En caso de seleccionar un material dieléctrico, como podría ser un óxido, el usuario debe hacer la búsqueda respectiva.

La tercera pestaña (figura 3C, “Simulación”) presenta todas las variables de salida al usuario, donde podrá observar los diagramas de eficacia para cada fenómeno óptico (absorción, dispersión, extinción) en función de la longitud de onda. Finalmente, es posible, mediante el icono ubicado a la derecha de la selección del espectro, guardar los diagramas y sus valores numéricos como un archivo de extensión .txt, fácilmente exportable a una plantilla de cálculo para realizar un análisis más exhaustivo.

Figura 3. Secuencia general de uso del simulador Nmie-Nanohub, separando la interfaz en 3 secciones (A, B y C) e identificando las variables de entrada y salida relevantes. Los resultados pueden exportarse para ser procesados como planillas de cálculo.

Propiedades ópticas: análisis e interpretación de simulaciones

Encuadrado en el contexto de introducir los fenómenos ópticos relacionados a la respuesta óptica de nanopartículas metálicas, se realizaron las simulaciones de los espectros de absorción, dispersión y extinción tomando como modelo nanopartículas de oro con radio variable entre 1 y 50 nm, convirtiendo finalmente los valores obtenidos de eficiencia en sección eficaz. Tal como indica la figura 4, tomando como referencia nanopartículas de oro de 30 nm de radio, se puede corroborar la relación de los tres fenómenos ópticos expuesta en el marco teórico, donde la extinción es equivalente a la suma de la absorción y la dispersión.

Figura 4. Espectros de absorción, dispersión y extinción obtenidos por simulación para una nanopartícula de oro de 30 nm de radio.

Por otro lado, el análisis de la dependencia de los fenómenos de dispersión y absorción con el tamaño de las nanopartículas puede ser llevado de forma gradual, comenzando con una aproximación cualitativa para finalizar con el análisis cuantitativo. Inicialmente, tal como indica la figura 5, es evidente que hay un aumento de intensidad en ambos espectros en consonancia con el radio de la nanopartículas, lo que permite erradicar una preconcepción usual de los alumnos que consideran el aumento de un fenómeno óptico en detrimento del otro. Además, en relación con el tamaño, para partículas pequeñas la dispersión resulta despreciable frente a la absorción mientras que al aumentar el tamaño la dispersión toma más preponderancia.

Figura 5. Simulación comparativa de los espectros de absorción (a) y dispersión (b) para nanopartículas de oro con diámetro variable entre 1 y 50 nm.

La preponderancia de un fenómeno óptico por sobre otro también puede ser argumentado de forma cuantitativa como se observa en la figura 6, ajustando los valores de eficiencia proveídos por el simulador según el área de la nanopartícula y graficando log σabs y log σsca vs. log R para una determinada longitud de onda, en este caso donde se encuentre el máximo asociado a la LSPR. Los resultados de la regresión lineal permiten corroborar las relaciones entre la sección eficaz y el radio expuestas en el marco teórico (R3 para absorción y R6 para dispersión).

Figura 6. Relación logarítmica entre el máximo de intensidad asociado a la LSRP de la sección eficaz de absorción y dispersión con el radio.

Finalmente, mediante la simulación de una nanopartícula de 10 nm de radio, cuya dispersión es despreciable frente a la absorción, se puede analizar la correlación entre la sección eficaz de absorción y las constantes dieléctricas tanto del medio como del material. Como indica la figura 7A, en el caso de una partícula de oro es posible observar que al incrementar el índice de refracción del medio hay un aumento en la sección eficaz y un corrimiento leve de la banda plasmónica a menores energías. Por otro lado, acorde a la figura 7B, la simulación de distintos metales demustra la fuerte dependencia de la frecuencia de resonancia plasmónica con el material de la partícula. Además de la banda plasmónica, se observa que el oro y el cobre presentan absorción a longitudes de onda menores a 600 nm aprox., lo cual se debe a las transiciones entre bandas que presentan estos metales y son las responsables de la coloraciones habituales de estos metales (dorado y rojizo).

Figura 7. Simulaciones correspondientes a: (A) Espectros de absorción de una nanopartícula de oro 10 nm de radio en medios con distintos índices de refracción. (B)Espectros de absorción de nanopartículas de Au, Cu y Ag de 10 nm de radio en el vacío.

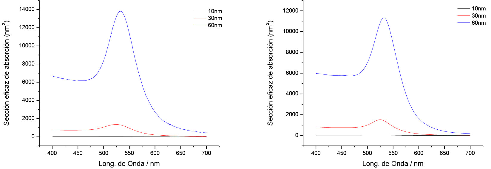
Vale la pena mencionar que este análisis e interpretación de espectros realizado sobre nanopartículas de oro no solo se ajusta a la teoría Mie, sino que también es consistente con resultados experimentales. En la tabla 1 se comparan los resultados de sección eficaz de absorción en el máximo de longitud de onda (λmax) de los espectros obtenidos por simulación con los obtenidos experimentalmente para nanopartículas de oro de referencia del Instituto Nacional de Estándares y Tecnología (NIST) [25]. La sección eficaz de absorción de los espectros experimentales, informados como absorbancia por el NIST, fue calculada empelando la ecuación de Beer:

(3)

donde N es el número de nanopartículas por volumen y L es el camino óptico. Como puede observarse en la tabla 1, se encuentra un grado de acuerdo aceptable entre los resultados experimentales y los obtenidos mediante simulación. Las discrepancias encontradas pueden deberse no solo a la naturaleza de una simulación sino a tambien a factores experimentales, tales como la imposibilidad de obtener una dispersión de nanopartículas absolutamente idénticas y de un tamaño definido con total exactitud y precisión. Independientemente del enfoque técnico del trabajo, esto permite además hacer un análisis conceptual y de reflexión sobre el carácter de un simulador. Si bien puede esperarse que estas herramientas puedan presentar desviaciones frente a aquella realidad que pretenden emular, en el marco de este trabajo encontramos un acuerdo entre teoría y experimentación dentro de los límites de aplicación del modelo utilizado.

Tabla 1. Comparación entre los máximos de sección eficaz de absorción simulados mediante Nmie - Nanohub y los obtenidos experimentalmente [25] para nanopartículas de oro de 5, 15 y 30 nm de radio.

Radio (nm)

Nmie - Nanohub

Experimental (Ref. 25)

λmax (nm)

σabs (nm2)

λmax (nm)

σabs (nm2)

5

519

51

517

38

15

523

1520

524

1250

30

533

11300

532

13800

Figura 1. Espectros de sección eficaz de absorción obtenidos experimentalmente por NIST (izq.) y simulados mediante Nmie - Nanohub (der.) para nanopartículas de oro de 10, 30 y 60 nm de diámetro.

Transposición a un ejemplo contextualizado

Los efectos ópticos de absorción y dispersión de luz que presentan las dispersiones de nanopartículas metálicas suelen ser ilustrados empleando como ejemplo el caso de la copa de Licurgo. Esta copa, fabricada en el Imperio Romano en el siglo IV y actualmente en exhibición en el Museo Británico, presenta un llamativo cambio de color según desde dónde se la ilumine. Estos efectos ópticos son atribuidos a la presencia de una dispersión de nanopartículas de oro y plata en el vidrio de la copa que provocan efectos de absorción y dispersión de luz, fenómenos que dependen de la disposición geométrica entre la fuente, la copa y el observador.

Figura 8. Esquema ilustrativo de los fenómenos ópticos presentados por la copa de Licurgo. Viéndose roja (1) en una configuración lineal la fuente, la copa y el observador, o verde (2) en caso de que el observador se encuentre del lado de la fuente.

Como se muestra en la figura 8, en la primera configuración (1), la fuente, la copa y el observador están alineados y por lo tanto lo que le llega al observador es la luz transmitida (roja), es decir, la luz que no fue absorbida ni dispersada. En la segunda configuración (2), con el observador mismo lado que la fuente, el color de la copa se debe al fenómeno de dispersión (verde).

Mediante análisis químicos y microscopía electrónica de transmisión [26], se logró determinar la presencia de nanopartículas de una aleación de oro y plata con diámetro entre 50 y 100 nm. Es interesante remarcar que resulta posible dar una explicación a los fenómenos ópticos que presenta la copa de Licurgo a partir de las simulaciones realizadas con Nmie-Nanohub. En la figura 9 se muestran los espectros simulados para una nanopartícula de oro de 100 nm de diámetro. Como puede observarse, el espectro de absorción es prácticamente transparente en la región de longitudes de onda que corresponde al rojo, en tanto que el espectro de dispersión presenta un máximo a 530 nm, lo cual corresponde a la región del verde. Si bien hay otros componentes en la copa de Licurgo y no se consideró las contribuciones de la plata a la hora de simular y analizar resultados, es interesante remarcar que con una primera aproximación sencilla fue posible argumentar los fenómenos ópticos que presenta.

Figura 9. Espectros de absorción (izq.) y dispersión (der.) simulados para una nanopartícula de oro de 100 nm de diámetro, donde se indica mediante una franja cual sería el color de la copa según el fenómeno óptico.

Conclusiones

El uso de Nmie-Nanohub constituye una buena propuesta para introducir fenómenos ópticos en cursos introductorios de nivel universitario, ya que le permite al usuario realizar simulaciones de forma sencilla e interpretar de forma clara la naturaleza de los fenómenos de dispersión y absorción, así su dependencia con los cuatro parámetros presentes en la ecuación de Mie (la longitud de onda incidente, las constantes dieléctricas de los metales y del medio, el tamaño de la partícula). Adicionalmente, la potencia y claridad de esta herramienta puede ser aprovechada para explicar fenómenos ópticos más complejos, como los de la copa de Licurgo, que demandan una integración de todos los conceptos empleados durante la secuencia propuesta.

Referencias

Prashantk Jain, Xiaohua Huang, Ivan H. El-Sayed, Mostafa A. El-Sayed. Noble Metals on the Nanoscale: Optical and Photothermal Properties and Some Applications in Imaging, Sensing, Biology, and Medicine. Account of chemical research 1578-1586 December 2008 Vol. 41, No. 12

Kyeong-Seok Lee, Mostafa A. El-Sayed. Gold and Silver Nanoparticles in Sensing and Imaging: Sensitivity of Plasmon Response to Size, Shape, and Metal Composition. J. Phys. Chem. B 2006, 110, 19220-19225

Prashant K. Jain, Kyeong Seok Lee, Ivan H. El-Saye, Mostafa A. El-Sayed. Calculated Absorption and Scattering Properties of Gold Nanoparticles of Different Size, Shape, and Composition: Applications in Biological Imaging and Biomedicine. J. Phys. Chem. B 2006, 110, 7238-7248

Susie Eustis, Mostafa A. El-Sayed. Why gold nanoparticles are more precious than pretty gold: Noble metal surface plasmon resonance and its enhancement of the radiative and nonradiative properties of nanocrystals of different shapes. Chem. Soc. Rev., 2006, 35, 209–217 | 209

Clemens Burda, Xiaobo Chen, Radha Narayanan, Mostafa A. El-Sayed. Chemistry and Properties of Nanocrystals of Different Shapes. Chem. Rev. 2005, 105, 1025-1102

Neus Bastus, Jordi Piella, Victor Puntes, (2015), “Quantifying The Sensitivity Of Multipolar \Dipolar, Quadrupolar And Octapolar) Surface Plasmon Resonances In Silver Nanoparticles: The Effect Of Size, Composition, and Surface Coating”, Langmuir, : pg: 1-24, (DOI: 10.1021/acs.langmuir.5b03859 )

Stephan Link, Mostafa A. El-Sayed. Shape and size dependence of radiative, non-radiative and photothermal properties of gold Nanocrystals. Int. Reviews in Physical Chemistry, 2000, Vo l . 19, No. 3, 409 ± 453

Stephan Link, Mostafa A. El-Sayed. Size and Temperature Dependence of the Plasmon Absorption of Colloidal Gold Nanoparticles. J. Phys. Chem. B 1999, 103, 4212-4217

Stephan Link, Mostafa A. El-Sayed. Spectral Properties and Relaxation Dynamics of Surface Plasmon Electronic Oscillations in Gold and Silver Nanodots and Nanorods. J. Phys. Chem. B 1999, 103, 8410-8426

Lara G.Kothari, Khushali Shah, PaulBarach. Simulation based medical education in graduate medical education training and assessment programs. Progress in Pediatric Cardiology. Volume 44, March 2017, Pages 33-42

Makransky G, Thisgaard MW, Gadegaard H (2016).Virtual Simulations as Preparation for LabExercises: Assessing Learning of Key Laboratory Skills in Microbiology and Improvement of EssentialNon-Cognitive Skills. PLoS ONE 11(6): e0155895.doi:10.1371/journal.pone.0155895

Robert Zaleśny, N. Arul Murugan, Faris Gel’mukhanov, Zilvinas Rinkevicius, Borys Ośmiałowski, Wojciech Bartkowiak, and Hans Ågren. Toward Fully Nonempirical Simulations of Optical Band Shapes of Molecules in Solution: A Case Study of Heterocyclic Ketoimine Difluoroborates. J. Phys. Chem. A. (2015) , 119 (21), pp: 5145–5152 .

Julia M. Chamberlain, Kelly Lancaster, Robert Parson, Katherine K. Perkins. How guidance affects student engagement with an interactive simulation. Chemistry Education Research and Practice, 2014,15 ,628-638

Su Cai, Xu Wang, Feng-Kuang Chiang. A case study of Augmented Reality simulation system application in a chemistry course. Comput. Hum. Behav. 37 (2014), pp 31–40

Umoke JC, Nwafor CC. Effects of Instructional Simulation on Secondary School Students’ Achievement in Biology. Journal of Education and Practice (2014), 19 (5), pp: 101-110.

Jan L. Plass, Catherine Milne, Bruce D. Homer, Ruth N. Schwartz, Elizabeth O. Hayward, Trace Jordan, Jay Verkuilen, Florrie Ng, Yan Wang. Investigating the Effectiveness of Computer Simulations for Chemistry Learning. Journal of research in teaching, 49 (2012), pp 394-419

Katerina Glezou, Maria Grigoriadou. Engaging Students of Senior High School in Simulation Development. Informatics in Education, 2010, Vol. 9, No. 1, 37–62

Gibbons NJ, Evans C, Payne A,Shah K, Griffin DK. Computer Simulations Improve University Instructional Laboratories. Cell Biology Education (2004), 3, pp: 263–269.

Dewhurst DG, Hardcastle J, Hardcaste PT, Stuart E. Comparison of a computer simulation program and a traditional laboratory practical class for teaching the principles of intestinal absorption. Am J Physiol. (1994), 267(6), pp: 95-104.

J. Kimling, M. Maier, B. Okenve, V. Kotaidis, H. Ballot, and A. Plech. Turkevich Method for Gold Nanoparticle Synthesis Revisited J. Phys. Chem. B, 2006, 110 (32), pp 15700–15707 doi:10.4231/D3TH8BP1C

Alfredo D. Sánchez, Preparación y propiedades ópticas de nanobarras de oro recubiertas con sílice y fluoróforos orgánicos, Tesis, Universidad de Buenos Aires, 2015.doi:10.1002/9783527618156

Johnson PB, Christy RW (1972) Phys Rev B 6,4370 https://www-s.nist.gov/srmors/certificates/8011pdf - https://www-s.nist.gov/srmors/certificates/8012pdf - https://www-s.nist.gov/srmors/certificates/8013pdf. Accedido el 10/08/2018.

Freestone I., Meeks N., Sax M., Higgitt C. The Lycurgus Cup – A Roman Nanotechnology. Gold Bulletin 2007, 40(4), pp 270-277.

Recepción: 10 de mayo de 2018. Aprobación: 23 de julio de 2018


[a] UT anomateriales, INTI-Procesos Superficiales, Instituto Nacional de Tecnología Industrial, San Martín, Argentina. *Autor para correspondencia: ogarate@inti.gob.ar