DOI:10.22201/fq.18708404e.2018.1.63701

Aprendizaje basado en problemas: ¿En qué tiempo se descompone la leche pasteurizada a temperatura ambiente?

Adolfo Obaya[1], Guadalupe Iveth Vargas-Rodríguez[1], Alvaro Enrique Lima-Vargas[2], Yolanda Marina Vargas-Rodríguez[1*]

Los autores agradecemos el apoyo técnico de Jaime Pérez-Huerta y el apoyo financiero de los proyectos de la DGAPA UNAM: PAPIME PE212118 y PAPIME PE 101212.

Resumen

En los cursos de cinética química de licenciatura, se estudia la rapidez de las reacciones químicas, así como los efectos de temperatura en la rapidez de reacción, a través de ejercicios que utilizan métodos matemáticos como integración de ecuaciones de rapidez y funciones que se ajustan mediante regresión lineal. Con estos ejercicios, los alumnos desarrollan el tratamiento matemático de los datos sin lograr aprendizajes significativos. Es por ello, que surge la necesidad de crear ejercicios como “verdaderos problemas”, que tengan que ver con su vida cotidiana, esto es, aplicar el Aprendizaje Basado en Problemas (ABP). Se presenta el problema ¿Cuánto tiempo (en horas) se conserva la leche pasteurizada a temperatura ambiente?, a estudiantes de Fisicoquímica V (Cinética Química), de la carrera de Química de la FES Cuautitlán UNAM. A partir del cuestionamiento, surgieron una serie de preguntas, respuestas y acciones por parte de los estudiantes y del profesor. Con el modelo de primer orden, la ecuación de Arrhenius y el tratamiento matemático adecuado los estudiantes determinaron el número de horas en que se conserva la leche a temperatura ambiente. Los resultados mostraron que después de aplicar el ABP, los estudiantes comprendieron el efecto de la temperatura en la rapidez de la reacción. Esta estrategia, permitió estudiar el efecto de la temperatura en la rapidez de una reacción de una forma didáctica para lograr aprendizajes significativos, por lo que puede ser utilizado en los cursos de cinética química con el fin de incrementar el rendimiento académico.

Palabras clave:

ABP, leche pasteurizada, fecha de caducidad, rapidez de reacción, temperatura.

Problem-based learning: how long does it take pasteurized milk to decompose at room temperature?

Abstract

The chemical kinetics of Bachelor's degree courses, studies the speed of chemical reactions, as well as the effects of temperature on the speed of reaction, through exercises that use mathematical methods such as integration of speed equations and functions that are adjusted by means of linear regression. With these exercises, students developed the mathematical treatment of the data without achieving meaningful learning. Therefore, that there is a need to create exercises as "real problems", that have to do with their daily lives, that is, applying learning based in problems (PBL). The problem showed is how long (in hours) pasteurized milk be kept at room temperature? students of Physical Chemistry V (Chemical Kinetics), of the career of chemistry of the FES Cuautitlán UNAM. From the questioning, emerged a series of questions, responses, and actions by part of the students and the professor. First-order model, the Arrhenius equation with the appropriate mathematical treatment students determined the number of hours that preserves the milk at room temperature. The results showed that after applying PBL, the students understood the effect of temperature on the speed of the reaction. This strategy, allowed to study the effect of temperature on the speed of a reaction in a didactic way to achieve significant learnings, so it can be used in chemical kinetics courses in order to increase academic achievement.

Keywords:

PBL, pasteurized milk, expiration date, rate of reaction, temperature.




Introducción

En los cursos de cinética química de las licenciaturas de Ciencias Químicas y Biológicas, se estudia la rapidez de las reacciones químicas. La rapidez matemáticamente se define como el cambio de concentración de los reactivos y productos en función del tiempo (Ec. 1). Las unidades de la rapidez son de concentración molar (M) / tiempo (t).

La rapidez de reacción es igual una constante de proporcionalidad por la concentración elevada a una exponente (orden de reacción), por ejemplo, orden uno. Para utilizar esta ecuación se integra entre los límites; concentración inicial (Co) y concentración a tiempo t (Co - x), en donde x es igual a la concentración que ha reaccionado a tiempo t, como se muestra en la

La constante de rapidez se relaciona con la temperatura a través de la ecuación de Arrhenius (Ec. 3), en donde A, es el factor de frecuencia (en las unidades de k), Ea es la energía de activación necesaria para que se lleve a cabo la reacción (cal mol-1), R es la constante universal de los gases (1.9872 cal mol-1K-1) y T, es la temperatura absoluta en grados Kelvin (K).

Cabe hacer mención que, la enseñanza y aprendizaje del efecto de la temperatura en la rapidez de reacción, se realiza tradicionalmente a través de “ejercicios” que utilizan métodos matemáticos preestablecidos. Este tipo de “ejercicios” de mecanización rutinarios, cuya solución es única y predeterminada, que se pide a los alumnos resolver en las escuelas con la etiqueta de "problemas”, distan mucho de los verdaderos problemas, con los que se logran aprendizajes significativos (Torp y Sage, 1999).

Para mejorar el proceso de enseñanza y aprendizaje, se han diseñado diversas estrategias didácticas, entre ellas, el aprendizaje basado en problemas (ABP) (Woods, 2014). El ABP es el aprendizaje que resulta del proceso del entendimiento o solución de un problema. El aprendizaje basado en problemas ofrece a los estudiantes una respuesta evidente a las preguntas: ¿por qué tenemos que aprender esta información? y ¿qué relación tiene lo que hago en la escuela con el mundo real? (López, 2008).

El ABP es un método de enseñanza que aumenta de forma sustancial la motivación de los estudiantes, ya que por su dinámica convierte a los estudiantes en sujetos activos del proceso de enseñanza y aprendizaje (García, 2008). El estudiante también es el centro de dicho proceso y para trabajar con este método se requiere el trabajo en equipo de estudiantes y no individual (Williams, 2016).

El ABP consiste en el planteamiento de una situación problema, donde su construcción, análisis y/o solución constituyen el foco central de la experiencia, y donde la enseñanza consiste en promover deliberadamente el desarrollo del proceso de indagación y resolución del problema en cuestión. Las diversas modalidades que adopta hoy en día el aprendizaje basado en problemas son tributarias de las teorías constructivistas del aprendizaje, las cuales destacan la necesidad de que los alumnos indaguen e intervengan en su entorno y construyan por sí mismos aprendizajes significativos (Obaya, Vargas y Delgadillo, 2011).

Uno de los procedimientos del ABP es la generación de preguntas de estudio y análisis del caso, ya que las preguntas de análisis o discusión en torno al caso son fundamentales, pues son las que permiten que el caso se examine de manera inteligente y profunda, al mismo tiempo que propician que salgan a la luz los puntos centrales del mismo. Las preguntas de análisis constituyen el medio fundamental del profesor para mediar el encuentro del estudiante con el material de estudio. Plantea cuatro tipos de preguntas que es importante integrar en al análisis de caso: preguntas de estudio, de discusión, facilitadoras y preguntas sobre el producto o resultado de la discusión del caso (Boehrer, 2002).

Los "buenos problemas", los apropiados para trabajar en el aula mediante ciclos de ABP, son los que definimos como abiertos o no-estructurados, ambiguos, susceptibles de cambiar y de plantear diversas soluciones (Edens, 2000). Entonces, es importante la transformación de los enunciados de los “problemas habituales” que se realizan en el aula, hacia un posible enunciado que favorezca resolver el problema como una investigación (Martínez Torregosa et al., 2005; Irazoque, 2005; Izquierdo, 2005).

El ABP ha sido aplicado en la enseñanza de las ciencias químicas (Bodner y Bhattacharyya, 2005; Hicks y Bevse, 2012; Flynn y Biggs, 2012; Moutinho et al., 2015; Cowden y Santiago, 2016) y en la enseñanza de la fisicoquímica (Gürses, Digar and Geyik, 2007; Ramos-Mejía, A. y Palacios-Alquisira, J. 2007; da Silva, Vieira y Ferreira, 2013; Francisco y Francisco, 2013; Leal et al., 2014; Turcio-Ortega y Palacios-Alquisira, 2015; Fernández y Aguado, 2017).

Por otro parte, los alimentos son sistemas fisicoquímicos y biológicamente activos, por lo tanto, la calidad de los alimentos es un estado dinámico que se mueve continuamente hacia niveles más bajos, hasta que ya no es recomendable consumirlos (Casp Vanaclocha, 2003). Esto implica que un alimento tiene una vida útil, definida como el tiempo durante el cual un alimento es seguro y conserva un nivel de calidad sanitaria aceptable para su consumo, bajo condiciones específicas de procesamiento, envasado y almacenamiento (NOM-109-SSA1-1994).

Desde el punto de vista fisicoquímico, la leche es una emulsión de lípidos y vitaminas liposolubles, una suspensión de proteínas (caseínas) ligadas a sales minerales, una solución coloidal formada por las proteínas del suero y además una solución verdadera de lactosa, vitaminas hidrosolubles, sales, etcétera. Cabe hacer notar que, en cinética química, la vida útil de los alimentos puede ser microbiológica, química y/o físicoquímica o sensorial. Además, la leche contiene bacterias ácido-lácticas (BAL) que producen ácido láctico como único producto de la fermentación de los carbohidratos de la leche.

La disminución del pH por el incremento de la concentración de ácido láctico provoca la destrucción de las micelas y neutraliza su carga eléctrica, teniendo como consecuencia que las micelas de caseína se aglomeren entre si y precipiten. Asimismo, la disminución del pH genera un cambio de sabor, hasta llegar al valor donde se hace presente el rechazo sensorial (Early, 2000).

Es importante mencionar que, en tecnología farmacéutica, un parámetro de extraordinario valor es el período de validez (fecha de caducidad, vida útil), que se define como el tiempo necesario para que se degrade el 10% del principio activo contenido en una forma de dosificación (Vila Jato,1997; Debesa García et al., 2004).

Con el objetivo de mejorar la enseñanza y aprendizaje del tema de efecto de temperatura en la rapidez de las reacciones químicas, en este trabajo se presenta al ABP como estrategia didáctica a través de la determinación de la vida útil de la leche pasteurizada, utilizando resultados hipotéticos del deterioro de la caseína durante el tiempo de almacenamiento a diferentes temperaturas. Aunque, en los alimentos no hay un límite definido para considerar la vida útil de un alimento, se considera que se degrada el 10% de caseína inicial para definir el tiempo de vida útil, por analogía con la fecha de caducidad de los medicamentos.

Desarrollo

Esta estrategia se aplicó en un grupo de Fisicoquímica V, de la Carrera de Química, de la Facultad de Estudios Superiores Cuautitlán de la Universidad Nacional Autónoma de México, de 45 estudiantes, 61.5 % de género masculino y 39.5 % de género femenino con edad promedio de 20 años. Al grupo se le impartió una clase tradicional del tema de la rapidez de las reacciones químicas, modelos matemáticos al cual se ajustan la rapidez de reacción, así como la ecuación de Arrhenius. Después de la clase, se planteó la pregunta: ¿Cuánto tiempo (en horas) se conserva la leche pasteurizada a temperatura ambiente? A partir del cuestionamiento, surgieron una serie de preguntas, respuestas y acciones por parte de los alumnos. El profesor proporcionó al alumno información sobre el asunto en cuestión, pero de forma escalonada, de manera que los alumnos pudieran filtrarla y pensar por sí mismos qué necesitan revisar, cómo y para qué, de forma paralela los estudiantes determinaron el tiempo de conservación. Adicionalmente, antes y después de iniciar la experiencia en el aula, se aplicó una evaluación. Finalmente, con el fin de conocer la opinión de los estudiantes en relación con la estrategia de ABP aplicada en la resolución del problema, se aplicó un cuestionario con escala de Likert, para determinar el grado de utilidad y su satisfacción con la estrategia didáctica empleada para estudiar la cinética. La escala del instrumento fue de: 1. Muy en desacuerdo, 2. Desacuerdo, 3. Indiferente, 4. Acuerdo y 5. Muy de acuerdo. Los estudiantes lo resolvieron en forma anónima (Tabla 1).

Tabla 1. Evaluación del grado de utilidad y satisfacción

Señala lo que mejor corresponda a tu opinión sobre la estrategia didáctica para estudiar la cinética de la reacción problema

  1. La estrategia te parece que motiva a la resolución del problema.

1. Muy en desacuerdo   2 Desacuerdo  3 Indiferente  4 Acuerdo  5 Muy de acuerdo

  1. La estrategia facilita la comprensión del concepto de rapidez de una reacción.

1. Muy en desacuerdo  2 Desacuerdo  3 Indiferente  4 Acuerdo  5 Muy de acuerdo

  1. Consideras útil la estrategia empleada para la obtención de resultados

1. Muy en desacuerdo  2 Desacuerdo  3 Indiferente  4 Acuerdo  5 Muy de acuerdo

  1. Consideras que facilita el trabajo en equipo

1. Muy en desacuerdo  2 Desacuerdo  3 Indiferente  4 Acuerdo  5 Muy de acuerdo

  1. Te consideras satisfecho con la estrategia didáctica empleada en la determinación del tiempo de la reacción problema

1. Muy en desacuerdo  2 Desacuerdo  3 Indiferente  4 Acuerdo  5 Muy de acuerdo

Resultados y Discusión

ABP y el efecto de temperatura en la rapidez de reacción

Durante la aplicación de la estrategia didáctica, los estudiantes presentaron diferentes cuestionamientos para la determinación de la fecha de caducidad de la leche a temperatura ambiente. En la tabla 2, se presentan algunas de las más recurrentes. La mayor parte de las preguntas forman parte de un curso clásico de cinética, pero cinco de ellas fueron clave para resolver el problema: ¿Cuál es la temperatura ambiente?, ¿Porqué se descompone la leche?, ¿Qué parámetro se mide para seguir la cinética de descomposición?,¿Qué modelo matemático sigue la cinética de descomposición? y ¿Qué porcentaje debe descomponer para considerar que la leche ya no está en condiciones de beberse?

Tabla 2. Tipo de preguntas durante la resolución del cuestionamiento

Preguntas y acciones del alumno

Información proporcionada por el profesor o tomada de la bibliografía

¿Cuál es la temperatura ambiente a la cual determinar el tiempo de conservación de la leche?

Después de una discusión, se sugiere a los estudiantes definir la temperatura ambiente.

¿Por qué se descompone la leche pasteurizada?

Los bacterias ácido-lácticas generan ácido láctico, este disminuye el pH, que desestabiliza a las micelas de caseína, precipitándola.

¿Qué modelo matemático presenta la descomposición de la leche? (¿primer orden?, ¿segundo orden?, etcétera)

Modelo cinético de primer orden (Ec. 2).

¿Cuáles son los valores de constantes de rapidez de primer orden de descomposición de la leche? (disminución de caseína).

Temperatura (°C)       k (h-1)
7                    0.000411
15                    0.000781
20                    0.001695
28                    0.004903
40                    0.013570

¿Qué relación existe entre las constantes de descomposición de la leche y la temperatura?

A mayor temperatura mayor rapidez de descomposición.

¿Cómo se justifica el incremento de la rapidez con la temperatura?

Con la teoría de colisiones

¿Cuál es el modelo matemático que relaciona las constantes de rapidez con la temperatura

Ecuación de Arrhenius (Ec 3).

¿Cómo se obtiene el valor de la constante de rapidez a 25°C?

Por interpolación de la ecuación de Arrhenius a la temperatura de 25°C

¿Qué porcentaje debe descomponerse para considerar que la leche ya no está en condiciones de beberse?

Haciendo una analogía con la fecha de caducidad de los fármacos, se considera un 10% de degradación de la caseína (tiempo un décimo (t10)).

Determinación de constante de rapidez a 25°C

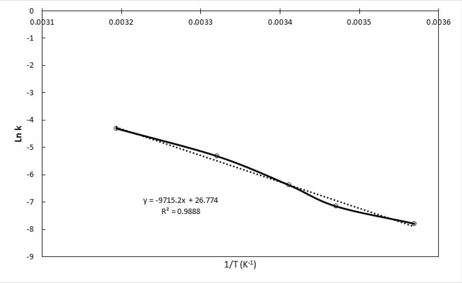
Con el análisis anterior, los estudiantes determinaron la constante de rapidez a 25 °C (k25°C) utilizando la ecuación de Arrhenius en su forma lineal (Ec. 4) (Vargas-Rodríguez, Obaya, 2005). Trazaron el gráfico de ln k vs 1/T (Fig. 1). Obtuvieron una línea recta con ordenada al origen igual al ln A y una pendiente igual a Ea/R, con un coeficiente de correlación lineal r2=0.9888. Sustituyeron la pendiente, la ordenada al origen y la temperatura absoluta (25°C + 273.15) (Ec. 5). El resultado obtenido fue k25°C = 0.00299 h-1(Ec. 6).

Figura 1. Ecuación lineal de Arrhenius

Determinación del tiempo de descomposición de leche a 25°C

Adicionalmente, determinaron el tiempo de descomposición de un décimo (t1/10 ), con la ecuación integrada de primer orden (Ec.2). Los estudiantes sustituyeron Co como 100% y la concentración que ha reaccionado (x) igual a 10% (Ec. 7). El resultado de t1/10 fue de 35.23 h (Ec. 8), Esto significa que 35.23 h, es el tiempo de vida útil de la leche pasteurizada, que se encuentra en contacto con el ambiente a 25°C.

Evaluaciones

Los resultados del pretest y del postest, se presentan en la Fig. 2. Las preguntas estuvieron divididas en secciones: 1. Definición y unidades de rapidez, 2. Incremento en la rapidez, 3. Disminución de la rapidez, 4. Cinética química en la vida cotidiana, 5. Modelos matemáticos y efecto de la temperatura en la rapidez de la reacción, 6. Teoría de colisiones y 7. Resultados (Tabla 3).

Comparando los resultados del pretest y el postest, se observa que en la sección de definiciones y unidades de rapidez se presenta un ligero incremento en el % de respuestas correctas después de aplicar el ABP. Un resultado interesante es que los estudiantes previamente conocen los factores que afectan la rapidez de una reacción química (pregunta 3) y que un porcentaje alto de ellos comprenden el incremento en la rapidez de reacción, pero no la reducción de la misma. En el postest se observa un incremento en la comprensión de la reducción de la rapidez de reacción.

En cuanto a la cinética química en la vida cotidiana, los estudiantes tienen un conocimiento general de la misma en la vida cotidiana, el cual mejora después de resolver el problema, al tener una justificación científica.

Es importante notar, que la mayoría de los estudiantes desconocían la utilidad de los modelos matemáticos para determinar fechas de caducidad o vida útil y la importancia de estudiar los efectos de la temperatura en la rapidez de la reacción. Pero, después de participar en la ABP, el 80% de los estudiantes obtuvieron la fecha de caducidad (vida útil de la leche).

Adicionalmente, se mejoró la comprensión de la teoría de colisiones para acelerar o reducir la rapidez de reacción (pregunta 15).

Tabla 3. Evaluación

Reactivos

Sección

  1. ¿Cómo se define la rapidez de una reacción química?
  2. ¿En qué unidades se mide la rapidez de reacción?

Definición y unidades de rapidez

  1. ¿Qué factores afectan la rapidez de una reacción química?
  2. ¿Cómo se puede acelerar una reacción química?
  3. ¿Por qué es importante acelerar una reacción química?, de un ejemplo

Incremento de la rapidez

  1. ¿Cómo se puede retardar una reacción química?
  2. ¿Por qué es importante retardar una reacción química?, de un ejemplo

Reducción de la rapidez

  1. ¿Por qué creen que los alimentos o fármacos indican una fecha de fecha de caducidad? [a]
  2. ¿Qué pasaría si lo medicamentos que consumimos no los resguardamos en las condiciones que marca la etiqueta? Entre algunas de esas condiciones tenemos: temperatura, humedad, luz, etc. [a]
  3. ¿Qué pasaría si después de la fecha de caducidad, consumimos esos medicamentos o alimentos? [a]
  4. ¿Qué pasa cuando la leche tiene determinada fecha de caducidad, pero no la guardamos en el refrigerador? [a]

Cinética química en la vida cotidiana

  1. ¿Para qué sirve conocer el modelo matemático al cual se ajusta la rapidez de una reacción química?
  2. ¿Qué unidades tiene la constante de rapidez de primer orden?
  3. ¿Qué tipo de estudios se deben realizar para determinar una fecha de caducidad?

Modelos matemáticos y efecto de temperatura en la rapidez de la reacción

  1. Desde el punto de vista nanoscópico, ¿Qué es necesario para que ocurra una reacción química?

Teoría de colisiones

  1. ¿En qué tiempo se descompone la leche pasteurizada a temperatura ambiente?

Resultado

[a] (Zendejas, 2017)

Figura 2. Resultados del pretest y postest

Opinión de los estudiantes

Después de aplicar la encuesta, para determinar el grado de utilidad y su satisfacción con la estrategia didáctica aplicada, los resultados se presentan en un gráfico de barras (Fig. 3). Se observa que cuando se cuestiona si la estrategia les parece que motiva a la resolución del problema, el 92.9% está de acuerdo o muy de acuerdo. Resultados similares se presentan al cuestionar si la estrategia facilita la comprensión del concepto de rapidez de una reacción y si consideran útil la estrategia empleada para la obtención de resultados. Sin embargo, al preguntar si consideran que la estrategia facilita el trabajo en equipo, un 37.5% consideró que le era indiferente, se atribuye este resultado a que los estudiantes no están acostumbrados a trabajar en equipo en las sesiones teóricas y por lo tanto no le dan importancia. Finalmente, el 71.4% se mostró muy satisfecho con la estrategia.

Figura 3. Resultados de satisfacción y utilidad

Conclusiones

El aprendizaje basado en problemas utiliza problemas del mundo real como un contexto importante, para que los estudiantes piensen críticamente, así como para lograr habilidades para resolver el problema propuesto. Después de aplicar el ABP en el curso de Fisicoquímica V, a partir del problema de la determinación de la vida útil de la leche pasteurizada, se concluye que la estrategia favoreció el aprendizaje significativo para comprensión de como acelerar y retardar una reacción química, en el análisis de la importancia de retardar una reacción química. Así como en integración y aplicación de los modelos matemáticos cinéticos de primer orden y Ecuación de Arrhenius como parte de los estudios que deben realizarse para determinar una fecha de caducidad o vida útil.

Se logró que los aprendizajes de los temas de cinética revisados los puedan extrapolar a la industria química, farmacéutica, farmoquímica e inclusive a la vida cotidiana.

Durante la aplicación de la estrategia didáctica, los estudiantes opinaron que el ABP los motivó a la resolución del problema y a la comprensión de los temas de cinética vertidos.

Este problema, puede aplicarse para la enseñanza y aprendizaje del tema de rapidez de reacción en cursos de cinética química a nivel licenciatura.

Bibliografía

Bodner, G. M. y Bhattacharyya, G. (2005). A cultural approach to problem solving. Educación Química, 16 (2) 222-229.

Boehrer, J. (2002). On Teaching a Case. Kennedy School of Government, Harvard University, 1-8.

Casp Vanaclocha. A. (2003). Procesos de conservación de alimentos. Mundi-Prensa: México.

Cowden, C. D., and Santiago, F. (2016). Interdisciplinary Explorations: Promoting Critical Thinking via Problem-Based Learning in an Advanced Biochemistry Class. J. Chem. Educ., 93 (3) 464–469.

da Silva, A.; Vieira, E. y Ferreira, W. (2013). Percepção de alunos do ensino médio sobre a temática conservação dos alimentos no processo de ensino-aprendizagem do conteúdo cinética química. Educación Química, 24(1), 44-48.

Debesa García, F., Fernández Argüelles, R., y Pérez Peña, J. (2004). La caducidad de los medicamentos: justificación de una duda. Revista Cubana de Farmacia, 38(3), 1. Recuperado en 24 de julio de 2017, de http://scielo.sld.cu/scielo.php?script=sci_arttext&pid=S0034-75152004000300010&lng=es&tlng=es.

Dubok, C. y Mollet B. (2001). Applications of exopolysaccharides in the dairy industry. International Dairy Journal, 11, 36-51.

Early, R. 2000. Tecnología de los productos lácteos. Editorial Acribia S.A. Zaragoza (España).

Edens, K. (2000). Preparing problem solvers for the 21 st century through problem based learning. College Teaching, 48 (2) 55-61.

Fernández, C. L. y Aguado, M. I. (2017). Aprendizaje basado en problemas como complemento la enseñanza tradicional en Fisicoquímica. Educación Química, 28(3) 154-162

Flynn, A. B. y Biggs, R. (2012). The Development and Implementation of a Problem-Based Learning Format in a Fourth-Year Undergraduate Synthetic Organic and Medicinal Chemistry Laboratory Course. J. Chem. Educ., 89 (1) 52–57.

Francisco, W. y Francisco, W. E. (2013). Ensino de métodos anticorrosivos Experimentação com uso de problemas abertos. Educación Química, 24(NE. 2) 480-484.

García, J. (2008). La metodología del Aprendizaje Basado en Problemas. España: Universidad de Murcia.

Gurses, A.; Digar, C. y Geyik, E. (2015). Teaching of the Concept of Enthalpy Using Problem Based Learning Approach. Procedia - Social and Behavioral Sciences, 197 (25) 2390-2394.

Gürses, A.; Metin, A.; Doğar, Ç. y Sözbilir, M. (2007). An investigation into the effectiveness of problem-based learning in a physical chemistry laboratory course. Research in Science & Technological Education. 25 (1) 99-113.

Hicks, R. W. and Bevsek, H (2012). Utilizing Problem-Based Learning in Qualitative Analysis Lab Experiments. J. Chem. Educ., 89 (2) 254–257.

Irazoque, G. (2005) Más problemas ¿Para qué? Educación Química, 16 (2) 279-283.

Izquierdo, M. (2005). ¿Para qué se inventaron los problemas de química? Educación Química,16 (2) 246-259.

López, M (2008). El aprendizaje basado en problemas. Una propuesta en el contexto de la Educación Superior en México. Revista: Tiempo de Educar, 9(18) 199-232.

Martínez-Torregrosa, J.; Gil Pérez, D.; Becerra-Labra, C. y Guisasola, J. ¿Podemos mejorar la enseñanza de la resolución de problemas de "lápiz y papel" en las aulas de Física y Química?, Educación Química, 16 (2) 230-245.

Moutinho, S.; Torres, J.; Fernandes, I. y Vasconcelos, C. (2015). Problem-Based Learning and Nature of Science: A Study with science teachers. Procedia - Social and Behavioral Sciences, 191, 1871 – 1875.

NOM-109-SSA1-1994. Recuperado el 17 de julio de 2017. http://www.dof.gob.mx/nota_detalle.php?codigo=4758571&fecha=04/11/1994

Obaya, A.; Vargas, Y. M. y Delgadillo, G. (2011) Aspectos relevantes de la educación basada en competencias para la formación profesional. Educación Química, 22 (1), 63-68.

Ramos-Mejía, A. y Palacios-Alquisira, J. (2007). Elementos del aprendizaje experimental basado en un problema para la enseñanza superior en Fisicoquímica. Educación Química, 18 (3) 214-221.

Leal, R. C., de Sousa Monteiro, E. A., de Araujo Barbosa Nascimento, T. L. Moita Neto, J.M. (2014). Explorando a cinética química através da queima de uma vela. Educación Química, 25(2), 93-96.

Torp, L. y Sage, S. (1999) Aprendizaje Basado en Problemas: desde el jardín de infantes hasta el final de la escuela secundaria. Buenos Aires: Amorrortu

Turcio-Ortega, D. & Palacios-Alquisira, J. (2015) Experiencias en la enseñanza experimental basada en competencias. Educación Química, 26(1), 38-42.

Vargas-Rodríguez, Y. M. y Obaya, A. (2005). Cálculo de parámetros de rapidez en cinética química y cinética enzimática. México: FES Cuautitlán UNAM.

Vila Jato, J. L. (1997). Tecnología farmacéutica: Aspectos fundamentales de los sistemas farmacéuticos y operaciones básicas. Síntesis Editorial. Madrid.

Williams, D. (2016). Creating an assessment and feedback strategy for problem based learning chemistry. Student Engagement in Higher Education Journal,1 (1) 1-13.

Woods, D.R. (2014) Problem-Oriented Learning, Problem-Based Learning, Problem-Based Synthesis, Process Oriented Guided Inquiry Learning, Peer-Led Team Learning, Model-Eliciting Activities, and Project-Based Learning: What Is Best for You? Industrial & Engineering Chemistry Research, 53 (13) 5337–5354.

Zendejas, S. (2017). Propuesta didáctica para el proceso de la enseñanza y aprendizaje del tema rapidez de reacción. Tesis de maestría, UNAM, México.

Recepción: 02 de marzo de 2018. Aprobación: 28 de marzo de 2018


[*] Autor para correspondencia Y. M. Vargas-Rodríguez, correos electrónicos: ymvargas@unam.mx; ym_vargas@yahoo.com.mx

[1] Departamento de Ciencias Químicas, Facultad de Estudios Superiores Cuautitlán, Universidad Nacional Autónoma de México.

[2] Departamento de Ciencias Administrativas, Facultad de Estudios Superiores Cuautitlán, Universidad Nacional Autónoma de México.