Introducción
La economía de una sociedad constituye la piedra angular de su desarrollo. A partir
de los recursos disponibles en una economía, materias primas, tecnologías, etc., se
generan al interior de esta, productos destinados tanto al consumo como a la exportación,
los cuales satisfacen el consumo interno dentro de la economía en cuestión y permiten,
a través de la exportación, el ingreso de divisas extranjeras, tecnologías, insumos
y materias primas, todo lo cual está orientado básicamente a un crecimiento económico.
Es conocido que el modelo económico seguido históricamente (Ugalde Hernández 2021) está basado en un proceso lineal, en lo adelante lo llamaremos economía lineal (EL).
El término lineal se emplea en el sentido de: extraer, producir, consumir y desechar
(Ugalde Hernández 2021). El modelo de la EL está caracterizado básicamente por un uso indiscriminado de
los recursos naturales, el cual ha conducido a la deforestación, agotamientos de las
fuentes de abasto de agua, por mencionar solo unos pocos ejemplos, los cuales ponen
en riesgo de forma continua su agotamiento. Además, la gran mayoría de las tecnologías
empleadas en la producción generan una gran cantidad de desechos tóxicos, provocando
un gran impacto ambiental, contaminación del medioambiente, del hogar, de la cadena
alimenticia, conduciendo irremediablemente a un cambio climático y al conocido calentamiento
global (López-Mesa 2022).
A pesar de que en los últimos años se han realizado encomiables esfuerzos por diversos
países y organizaciones internacionales (UN climate change 2023) de cara a mitigar estos efectos no deseados, los cuales ponen en riesgo la
vida del planeta, el problema aún sigue sin una solución aparente.
Este modelo económico de la EL ha fomentado, además, el consumo como fin último de
la sociedad, la llamada flecha dorada (Leonard y Conrad 2018). Para potenciarlo, las sociedades establecieron como estrategia la llamada obsolescencia
programada y percibida (Leonard y Conrad 2018), esta última patrocinada y potenciada por las grandes corporaciones a través de
los medios de difusión, las modas, centros comerciales, la Internet de las cosas (Io
T), etc. Lo anterior ha propiciado una serie de consecuencias fundamentales como lo
son, por ejemplo, en lo económico, un uso indiscriminado de los recursos, pues para
satisfacer las demandas se necesitan más recursos; y en lo social, marca el valor
social del individuo, limitándolo básicamente a su poder adquisitivo.
Se calcula que solo un porcentaje muy bajo de lo comprado se utiliza, generando una
gran cantidad de desechos; por caso, el sector de la alimentación representa alrededor
del 30% del consumo total de energía en el mundo y un 22% del total de emisiones de
gases de efecto invernadero, y, cada año, se estima que un tercio de toda la comida
producida (el equivalente a 1,300 millones de toneladas con un valor cercano al billón
de dólares) acaba pudriéndose en los contenedores de basura de los consumidores (UN
sustainable development 2023).
Es por ello que en la última década del siglo XX se propone una transición hacia un
modelo económico de cara a lograr un desarrollo sustentable y amigable con el medio
ambiente de la sociedad, la llamada economía circular (EC) (Ellen McArthur Foundation 2013). La EC es un paradigma cuyo objetivo es generar prosperidad económica, proteger
el medio ambiente y prevenir la contaminación, facilitando así un desarrollo sostenible
(UN desarrollo sostenible 2022).
La propuesta del modelo de EC se basa en un modelo sustentable, caracterizado por
tres ejes fundamentales, representado por las 3R: reducir, rehusar y reciclar (Martínez y Porcelli 2018). Paralelamente a ello, la Industria 4.0 (I4.0), considerada la cuarta Revolución
industrial (Tavera Romero et al. 2021), ha establecido una gran correlación y sinergia con la EC, convirtiéndose así en
un paradigma industrial. Ello permite no solo reducir el impacto ambiental de las
industrias y la disminución de la cantidad de desechos generados, sino a que la producción
de bienes y servicios se realice a través de un manejo sostenible de materiales y
fuentes de energía. En la actualidad, la economía circular se articula en torno a
una filosofía basada en las 7R: rediseñar, reducir, reutilizar, reparar, renovar,
recuperar y reciclar (Xing et al. 2017; Campbell-Johnston et al. 2020).
De esta forma la EC se convierte en un modelo ideal para fomentar un desarrollo sostenible
(UN sustainable development 2023). No obstante, a pesar de las ventajas que ofrece la propuesta de una transición
hacia la EC frente a la EL, aun subyace una serie de barreras interconectadas entre
sí que frenan su implementación, tales como las financieras, estructurales, operacionales,
sociales, entre otras, necesarias a superar, lo cual muestra la complejidad del proceso.
La economía matemática conocida como econometría ha desempeñado un papel crucial en
el terreno de la macroeconomía (Téllez 2011; Castañeda 2014), pues no solo ha permitido el desarrollo de la formulación de teorías económicas
en términos matemáticos, sino, además, la realización de predicciones económicas (forecasting), todo lo cual ha constituido una verdadera e importante revolución metodológica
y epistemológica en las ciencias económicas.
Así, en el campo concerniente a la EL existe una extensa y profusa información sobre
diferentes tipos de modelos matemáticos -los cuales utilizan diversos campos de las
matemáticas, desde el álgebra lineal, la teoría de los conjuntos, la teoría de los
sistemas dinámicos, teoría de juegos, entre otros (Jorgenson 1968; Cooley y Ohanian 1997; Nahorski et al. 2000; Piętak 2014)-, esencialmen te dirigidos a los aspectos macroeconómicos, como la tasa de crecimiento
del trabajo, la productividad del trabajo, la tasa de crecimiento del capital o tasa
de ahorro e inversión, la productividad del capital, por mencionar algunos (Caraballo y Usabiaga 2002; Texocotitla y Álvarez 2015).
Así, en la macroeconomía se pueden destacar cuatro modelos paradigmáticos: a) modelo
de crecimiento de Solow o modelo de Solow-Swan sobre el crecimiento económico (Solow 1956; Swan 1956); b) el modelo de Kaldor relacionado con los procesos cíclicos económicos (Kaldor 1940); c) la llamada teoría general de Keynes, de 1936 (Keynes et al. 1971; Cooley y Ohanian 1997), y, d) el modelo sobre el crecimiento económico de Harrod-Domar (Domar 1952; Van Thanh y Nguyen 2023).
Según nuestro mejor conocimiento, a diferencia de la EL, en la EC existen unos pocos
trabajos en la literatura sobre el desarrollo de modelos matemáticos (McCarthy et al. 2018; García-Barragán et al. 2019; Vimal et al. 2019; Jayakumar et al. 2020; Phanden et al. 2021; Arce y Arena 2022), donde, a diferencia de en la EL, la prioridad se centra en cómo lograr una mayor
eficiencia y racionalidad en el uso de los recursos materiales y la obtención de tasas
más altas de circularidad.
Los numerosos intentos de extender el formalismo termodinámico al ámbito de la EC
han estado dirigidos fundamentalmente hacia aspectos energéticos, financieros, ecológicos,
de salud y medioambientales, entre otros (Rashkovskiy 2021; Georgescu-Roegen 1971).
De este modo, el objetivo de nuestro trabajo es proponer un modelo dinámico heurístico,
el cual permita formalizar a través de mimetizar cualitativamente la estructura lineal
de la EL como de la circularidad en la EC, respectivamente. Adicionalmente, establecer
como conjetura lo siguiente: la EC es una red no lineal de interacciones de diferentes
procesos, la cual, a través de una transición de fase, se autorganiza fuera del equilibrio
termodinámico.
El manuscrito está estructurado como sigue: en la siguiente sección, ofrecemos la
metodología empleada para la propuesta de los modelos heurísticos, para describir
la evolución dinámica tanto de la EL como de la EC, respectivamente; posteriormente,
brindamos una sección dedicada al análisis de la estabilidad y las simulaciones numéricas
de los sistemas de ecuaciones diferenciales ordinarias, derivados del mecanismo propuesto
anteriormente; el desarrollo de un marco formal termodinámico, basado en la entropía
de Shannon, se da a conocer en la penúltima sección; finalmente, se presentan las
conclusiones y algunas observaciones.
Metodología: modelos dinámicos heurísticos de las EL y EC
Tal y como declaramos al inicio, el objetivo general de este trabajo es proponer heurísticamente
un modelo matemático que nos permita establecer una comparación cualitativa entre
las dinámicas de una EL y una EC, respectivamente. Deja mos claro, que no se trata
de ningún tipo de modelo matemático macroeconómico, sino de una manera de dibujar
miméticamente las estructuras generales sobre las cuales se erigen las EL y EC, respectivamente.
Para ello se parte de la estructura lineal del modelo tradicional de la EL, en el
sentido de: extraer, producir, consumir y desechar. En este entendimiento, para la
fabricación de los productos se extraen las materias primas (recursos), se produce,
se consume y luego se desecha, sin tener en cuenta el impacto ambiental, sus consecuencias
y que los recursos naturales son limitados. Este tipo de estructura económica prioriza
el beneficio económico, obviando la sostenibilidad, pues los productos se fabrican
con la finalidad de ser usados y tirados (Leonard y Conrad 2018); además, como ya se señaló, se genera una gran cantidad de desechos tóxicos, provocando
un gran impacto ambiental.
No es de extrañar entonces que la gran mayoría de los modelos matemáticos macroeconómicos
estén encaminados por una parte, a cómo potenciar el crecimiento económico (Solow 1956; Swan 1956; Domar 1952; Van Thanh y Nguyen 2023) y, por otra, al estudio de los procesos cíclicos de la economía (Kaldor 1940), en donde como es conocido, las crisis económicas desempeñan un papel determinante
sobre la economía mundial.
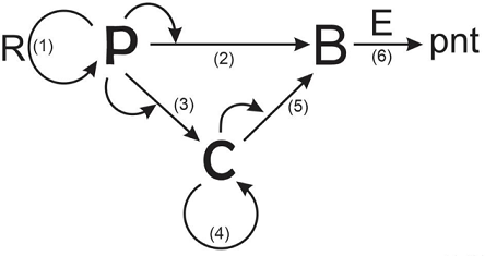
Por lo anteriormente planteado, se propone heurísticamente un modelo simple, EcoLin,
que rescate cualitativamente los elementos fundamentales las interacciones de la dinámica
de la EL: extraer, producir, consumir y desechar, según se muestra en el grafo de
la Figura 1.
Figura 1
Grafo del modelo propuesto para la EL, EcoLin.

Fuente: Elaboración propia.
En el grafo (Figura 1), los símbolos representan las diferentes magnitudes: R los recursos naturales, materias
primas; P, productos; C, el consumo; B, la basura generada (residuos creados en diferentes
escenarios relacionados, por ejemplo, en la producción: desguace de capital y quema
de combustible, así como los de sechos de los hogares, en donde una fracción de todos
estos residuos está formado por los agentes contaminantes) (Sjöström y Östblom 2009), y, E representa las diferentes vías empleadas para la conversión de los desechos
tóxicos a sustancias no tóxicas, pnt.
El paso 1 está relacionado con la producción, el paso 2 con la generación de basura en los procesos productivos, el paso 3 con los procesos de distribución y consumo, el paso 4 muestra la potenciación del consumo, el paso 5 la basura generada en los hogares, y el paso 6 la eliminación de los desechos tóxicos.
Las concentraciones de las magnitudes empleadas y las constantes de cada uno de los
procesos (pasos), del modelo EcoLin (Figura 1) se seleccionan heurísticamente y adimensionales, tratando de logar la mayor generalidad
y simplicidad posible, así, tenemos: k
1 = 2, k
2 = 0.001, k
3 = 0.5, k
4 = 1, k
5 = 0.5, k
6
= 1; [R]
0 = 2, [P]0 = 0.5, [C]0 = 0.1, [B]0 = 0.1, [E]0 = 3, la simbología […]0 se refiere a la concentración inicial empleada. Las magnitudes R y E se consideran
constantes, mientras que los productos (P), el consumo (C), y la generación de basura
(B) se toman como variables y se representan como: p (t ), c (t ) y b (t ), respectivamente.
Tal como planteamos al inicio, la EC se plantea como alternativa a la EL, pues en
sus procesos de diseño, producción y consumo tiene como objetivos la sostenibilidad,
el empleo de nuevas fuentes de recursos y de energía, y ser amigables con el planeta.
Además, busca una mayor eficiencia en todos los procesos de producción y consumo.
Por ello, a partir de estas premisas, se modificó el modelo EcoLin (Figura 1), agregando los procesos de reciclaje y de reutilización, respectivamente. En la
Figura 2 se muestra el grafo del modelo heurístico propuesto para describir la dinámica del
proceso de la EC, EcoCir, que incorpora las 3R, como:
Figura 2
Grafo del modelo propuesto para la EC, EcoCir.

Fuente: Elaboración propia.
La simbología empleada en el grafo de la EC, EcoCir (Figura 2), tiene el mismo significado que para el caso del modelo EcoLin (Figura 1), adicionalmente aparece el símbolo H, relacionado con los procesos de reutilización.
En relación con las diferentes etapas de la dinámica de la EC, pasos, del 1-6 tienen el mismo significado del modelo EcoLin (Figura 1), y se le incorporan tres nuevas etapas, relacionadas con los procesos de reutilizar
y reciclar, respectivamente; así, el paso 7 está relacionado con el proceso del reciclaje, mientras los pasos 8 y 9 con el proceso de reutilización, los cuales reflejan el carácter de circularidad
del proceso.
Las concentraciones de las magnitudes empleadas y las constantes de cada uno de los
procesos del modelo EcoCir (Figura 2), al igual que en el caso del modelo EcoLin, se seleccionan heurísticamente y adimensionales,
tratando de lograr la mayor generalidad y simplicidad posible, tenemos entonces: k
1 = 2, k
2 = 0.001, k
3 = 0.5, k
4 = 1, k
5 = 0.5, k
6 = 1, k
7 = 0.1, k
8 = 0.5, k
9 = 1; [R]0 = 1 - 4, [P]0 = 0.5, [C]0 = 0.1, [B]0 = 0.1, [E]0 = 3, [H]0 = 3. Las magnitudes R, E y H se consideran constantes, mientras que, los productos
(P), el consumo (C), y la generación de basura (B), se toman como variables y se representan
como: p (t ), c (t ) y b (t ), respectivamente.
La concentración de los recursos naturales [R], en ambos modelos se elige como el
parámetro de control, PC, [R]
pc
= 1 - 4, de cara a simular el proceso de reducir, es decir, los procesos asociados
con las reducciones en la extracción de recursos naturales y la generación de los
desechos, lo cual redunda en última instancia en el crecimiento económico. Es bueno
aclarar que en la teoría de los sistemas dinámicos el parámetro de control es aquella
magnitud que determina la cualidad de la dinámica del sistema (Nieto-Villar et al. 2013).
Tal y como señalamos, las concentraciones de las magnitudes empleadas y las constantes
de cada uno de los procesos, pasos, se seleccionan heurísticamente y adimensionales, tratando de lograr la mayor generalidad
y simplicidad posible. Aunque los modelos propuestos son heurísticos, evidentemente
los valores elegidos de las concentraciones de las magnitudes empleadas y las constantes
deben guardar cierta lógica en relación con cada uno de los procesos, pasos. Es necesario reiterar que el modelo EcoCir se reduce al modelo EcoLin si se eliminan
los procesos del reciclaje y de reutilización.
En relación con los valores de las constantes, se tiene que: k
1 = 2 está relacionada con los procesos productivos, paso 1, por lo cual, en ambos casos, EL y EC se supone se implementen tecnologías eficientes
que permitan potenciar la productividad y, a su vez, disminuir la cantidad de desechos
generados, paso 2, es por ello por lo cual la constante adopta un valor pequeño, k
2 = 0.001. Las constantes de los pasos 3 y 4, relacionados con los procesos de distribución y consumo, k
3 = 0.5 y k
4 = 1, se eligen proporcionalmente menores en comparación con el proceso de producción,
paso 1. En relación con la basura generada en los hogares, paso 5, se elige un valor mayor, k
5 = 0.5, en comparación con el proceso de generación de desechos en los procesos productivos,
por los argumentos comentados en la introducción (UN 2023). La eliminación de los desechos tóxicos, paso 6, es un proceso prioritario en cualquier modelo económico, es por ello por lo que
se selecciona dicho valor, k
6 = 1. Como comentamos, el modelo EcoCir se elaboró a partir de modificar el modelo
EcoLin, agregando los procesos del reciclaje y de reutilización respectivamente, pasos 7, 8 y 9, en cuyos valores de las constantes se refleja la importancia de los mismos.
Análisis de la estabilidad y simulaciones numéricas
Un modelo matemático es una abstracción de la realidad. Específicamente, los modelos
matemáticos le sirven a la ciencia para describir la realidad social, natural y el
pensamiento, a través de leyes matemáticas, y se construyen a través de la intuición,
la razón y las pistas otorgadas por la realidad a través de las leyes generales que
lo rigen. Como expresó en su momento Solow:
[…] Toda teoría depende de supuestos que no son del todo ciertos. Eso es lo que lo
convierte en teoría. El arte de teorizar con éxito consiste en hacer las inevitables
suposiciones simplificadoras de tal manera que los resultados finales no son muy sensibles.
Una suposición “crucial” es una de las que dependen sensiblemente las conclusiones,
y es importante que los supuestos cruciales sean razonablemente realistas […] (Solow 1956).
De esta forma, los modelos matemáticos representan una forma adecuada para formalizar
el conocimiento de los sistemas dinámicos; así, la modelación matemática de la dinámica
económica hace posible la descripción de sus regularidades más importantes y es útil
para proporcionar pautas efectivas para el desarrollo de estrategias y la toma de
decisiones (Simon y Blume 1994; Hoffman et al. 2006).
Los modelos heurísticos que proponemos, EcoLin (Figura 1) y EcoCir (Figura 2) son una representación cualitativa de la dinámica de los procesos, que mimetizan
las evidencias anteriormente comentadas. De acuerdo con estos modelos (Figura 1 y Figura 2) se obtiene un sistema de ecuaciones diferenciales ordinarias no lineales, SEDO,
que describen la dinámica de los procesos de la EcoLin, Ec. (3.1) y EcoCir, Ec. (3.2),
respectivamente, como:
La determinación de los puntos fijos (estados estacionarios), el análisis de estabilidad
local y las bifurcaciones se realizaron de acuerdo con la metodología establecida
(Andronov y Chaikin 1949; Kuznetsov 2013). A través del análisis de sensibilidad de ecuaciones diferenciales (Varma et al. 2005) se selecciona cuantitativamente la respuesta de un sistema dinámico ante los cambios
de los parámetros, k
i
, del SEDO, de esta forma es posible determinar las etapas, pasos, fundamentales
del proceso.
Tenemos entonces que, a través del análisis de sensibilidad (Varma et al. 2005), los pasos observados como fundamentales del modelo EcoLin (ver Figura 1) fueron: 1, 3, 6, es decir, producción, distribución y consumo, y la eliminación de los desechos tóxicos;
mientras que en el modelo EcoCir (Figura 2) fueron: 1, 6, 8, 9. Por una parte, se observa que tanto para la EL como para la EC, ambos tienen en
común como procesos fundamentales: la producción, paso 1, y la eliminación de los desechos tóxicos, paso 6; pero, a diferencia de la EL la cual potencia el consumo, paso 3, en la EC este paso no aparece como fundamental. Por otra parte, se aprecia cómo
el modelo de la EC potencia el proceso de rehusar, pasos 8 y 9, lo cual contribuye, a su vez, a disminuir el consumo y el ahorro de materia primas,
y, a su vez, es un indicativo de la circularidad del proceso.
La simulación numérica de los modelos se realizó a través del software COPASI v.4.22.170 (Hoops 2006). El método numérico utilizado fue el LSODA con una tolerancia relativa de 10-6 y una tolerancia absoluta igual a 10-12.
En la Figura 3, las series temporales, se muestran los resultados de la simulación numérica, A, B, C y el atractor, Figura 3D, de los modelos propuestos EcoLin y EcoCir, respectivamente.
Figura 3
Series temporales (A, B, C) y atractor (D) de los modelos propuestos: A.―EcoLin, [R]0 = 2; B. ―EcoCir, [R]
pc
= 2; C. ―EcoCir, [R]
pc
= 4; D. Atractor, ciclo límite, del modelo ―EcoCir, [R]
pc
= 4.

Fuente: Elaboración propia.
En primer lugar, se observa cómo la dinámica tanto de la EL, EcoLin, como la de la
EC, EcoCir, exhiben un estado estacionario estable (Figura 3A, B, [R]
pc
= 2), algo señalado ya desde la época de Adam Smith, 1776, y David Ricardo, 1817,
como un acontecimiento inevitable (Ugalde Hernández 2021). En segundo lugar, se observa cómo, a diferencia de la EL, la EC, para cantidades
iguales de recursos disponibles (Figura 3A, B, [R]
pc
= 2), la producción [P], el consumo [C], y la generación de basura [B] son prácticamente
la mitad, lo cual pondera a favor de la propuesta de un modelo de EC, constituyendo
este una forma racional de economizar los recursos naturales y de disminuir los desechos
tóxicos, haciéndola amigable con el medio ambiente.
Como se señaló en el segundo apartado, en el caso la dinámica de la EcoCir, se selecciona
la concentración de los recursos naturales, [R]
pc
, como parámetro de control, de cara a simular el proceso de reducir (procesos asociados
con las reducciones en la extracción de recursos y la generación de desechos). Es
bueno acotar, en el caso de un sistema SEDO no lineal y con lazos de retroalimentación
(feedback) (Nieto-Villar 2013), como en el caso del modelo EcoCir (Figura 2, Ec. (3.2)): el sistema dinámico puede exhibir oscilaciones temporales periódicas,
ciclo límite, conduciendo a la autorganización fuera del equilibrio termodinámico.
Así, tenemos que para un valor crítico del parámetro de control, [R]
crit
∽ 1.1, ocurre una transición de fase, es decir, una bifurcación supercrítica de Andronov-Hopf
(Kuznetsov 2013) y aparecen oscilaciones temporales (Figura 3C, D, [R]0 = 4), es decir, el sistema se autorganiza fuera del equilibrio termodinámico.
Este comportamiento muestra la certeza de la conjetura propuesta: la EC es una red
no lineal de interacciones de diferentes procesos, que a través de una “transición
de fase” se autorganiza fuera del equilibrio termodinámico. La autorganización fuera
del equilibrio termodinámico le confiere al modelo EC una alta complejidad, robustez
y adaptabilidad, cualidades estas que le garantiza, como sistema dinámico, poder realizar
diferentes funciones, incluyendo los procesos de control y regulación.
Marco termodinámico
En las últimas décadas ha adquirido un rol preponderante, dentro de las ciencias económicas,
la llamada econofísica (Mansilla 2003; Acatitla et al. 2017; Smolyak y Havlin 2022), la cual exhibe un carácter interdisciplinar, e integra diferentes disciplinas tales
como la termodinámica, las ciencias de la complejidad, la física estadística, entre
otras.
En particular, la termodinámica tiene como objetivos fundamentales desarrollar un
formalismo que permita establecer un balance energético, y, a su vez, un criterio
evolutivo o direccional a escala macroscópica para los sistemas naturales, aspectos
estos que descansan en sus dos principios fundamentales, primero y segundo, respectivamente
(Mansilla y Nieto-Villar 2017).
Tal y como comentamos en la introducción, se han desarrollado una serie de trabajos
de cara a extender el formalismo termodinámico al ámbito económico (De Hemptinne et al. 2022; Norouzi, 2022), de hecho, algunos han establecido un paralelismo entre las variables usualmente
empleadas en la termodinámica con las magnitudes económicas (Rashkovskiy 2021).
Una de las magnitudes paradigmáticas, y a su vez intrigante dentro de la termodinámica
es la entropía (Jaynes 1991; Mansilla y Nieto-Villar 2017). De hecho, esta ha sido ampliamente empleada en las ciencias económicas (Téllez 2011; Jakimowicz 2020; Phanden et al. 2021; Sharma et al. 2021; Michel-Mata et al. 2022). La llamada entropía de Shannon (1948) ha sido empleada como un indicador de la complejidad en la economía y su relación
con factores dinámicos (Faber 1987; Busu 2018).
Con el objetivo de comparar el grado de complejidad entre los modelos EcoLin y la
EcoCir, evaluamos la entropía de Shannon, S; así, de acuerdo con Shannon, formalmente se define la entropía para un proceso de
Markov discreto (Figuras 1 y 2), por ejemplo, una secuencia discreta de etapas, descrito a través de las probabilidades
p
1, p
2, …, p
n
, como
donde k es una constante que determina las unidades de la entropía, k = 1 ln 2, entonces las unidades son el bit (binary digit), en el caso que nos ocupa, p
n
es la probabilidad asociada con el flujo f
n
en la etapa enésima del proceso (Figuras 1 y 2), los cuales se evalúan a través de la simulación numérica; así, tenemos:
Como resultado se obtiene que: S
Ecolin
= 2.15bits y S
EcoCir
= 2.53bits ([R]0 = 2) y S
Ecolin
= 1.99bits y S
EcoCir
= 2.23bits ([R]0 = 4), según se observa la EC exhibe una mayor complejidad en comparación con la EL
para un valor dado de [R]0, lo cual se traduce en una mayor robustez de la EC en comparación con la EL, apoyando
la conjetura propuesta.
El postulado fundamental de la Segunda Ley de la termodinámica establece la irreversibilidad
de los procesos naturales a escala macroscópica, imponiendo una restricción fundamental
a los procesos económicos, en relación con el empleo de los recursos naturales y,
por tanto, demanda una mayor eficiencia en sus procesos productivos. Es bien conocido
en la termodinámica que la eficiencia, , resulta ser una magnitud útil para caracterizar
los procesos cíclicos (Kondepudi y Prigogine 1998), la misma representa, en términos energéticos, la razón entre el trabajo realizado
sobre la energía suministrada. En el caso que nos ocupa, establecimos por medio de
un ansatz, para evaluar la eficiencia de los modelos propuestos, calcularla a través
de los flujos de producción fP y los relacionados con la generación de basura fB,
a través de la relación:
De este modo, tenemos que la eficiencia promedio para cada uno de los modelos es igual
a: ƞ
EL
= 0.67 y ƞ
EC
= 0.91. De esta forma, el modelo EcoCir refleja una mayor eficiencia en comparación
con el modelo EcoLin, en relación con los procesos productivos, pues es capaz de proveer
más bienes y servicios con una generación menor de desechos.
Resulta interesante destacar cómo la construcción de métricas de los flujos de materiales
que midan la actividad lineal y de reciclaje representan un factor importante de cara
a establecer definiciones inequívocas de economía lineal, economía circular, y el
crecimiento económico circular (García-Barragán 2019). Por lo cual, las fórmulas anteriormente establecidas, Ecs. (4.2) y (4.3) pueden,
en principio, servir de métricas para tales propósitos.
Conclusiones
Los modelos heurísticos propuestos tanto para la EL como para la EC, Ecolin y EcoCir,
ofrecen una visión holística de ambos procesos y mimetizan cualitativamente las características
esenciales de la dinámica de los mismos. A través de la modelación matemática se evidenció
que la propuesta de la EC, como modelo económico, representa una vía necesaria para
lograr un desarrollo sustentable y amigable con el medio ambiente de la sociedad,
lo cual se corresponde con los objetivos planteados por Naciones Unidas de cara a
lograr un desarrollo sostenible (UN desarrollo sostenible 2022).
En resumen, en este trabajo se encontró:
-
El modelo propuesto para la EC, el cual incorpora las 3R, por una parte, sustenta
la conjetura propuesta: la EC es una red no lineal, que a través de una transición
de fase, bifurcación, se autorganiza fuera del equilibrio termodinámico. Por otra
parte, evidencia cómo la dinámica de la EC, exhibe una alta complejidad, robustez
y adaptabilidad, lo cual le garantiza como sistema dinámico resiliente, poder realizar
diferentes funciones, incluyendo los procesos de control y regulación.
-
Se mostró cómo, la fuente de los recursos naturales constituye un factor clave en
la dinámica económica, lo cual se evidenció a través de su empleo como parámetro de
control, el cual, para un valor crítico de este, la dinámica de la EC se autorganiza
fuera del equilibrio termodinámico, sustentando la conjetura propuesta.
-
A través del formalismo termodinámico se mostró, por una parte, cómo, la EC es más
robusta y eficiente en comparación con el modelo tradicional de la EL. Por otra, las
relaciones establecidas, Ecs. (4.2) y (4.3) pueden servir, en principio, como métricas
potenciales para medir la eficiencia y la circularidad de un proceso económico.
Esperamos que el marco teórico presentado sirva como punto de partida cualitativo
para establecer conceptualmente una guía metodológica para proponer diseños de modelos
experimentales macroeconómicos de la EC, establecer métodos cuantitativos para evaluar
su eficiencia y circularidad, así como para el establecimiento de pautas regulatorias,
económicas y medioambientales.